Backward Acoustic Waves in Piezoelectric Plates: Possible Application as Base for Liquid Sensors
Abstract
1. Introduction
2. Materials and Methods
2.1. Theoretical Boundary Transfer Matrix Method
2.2. Experimental Study
3. Results and Discussion
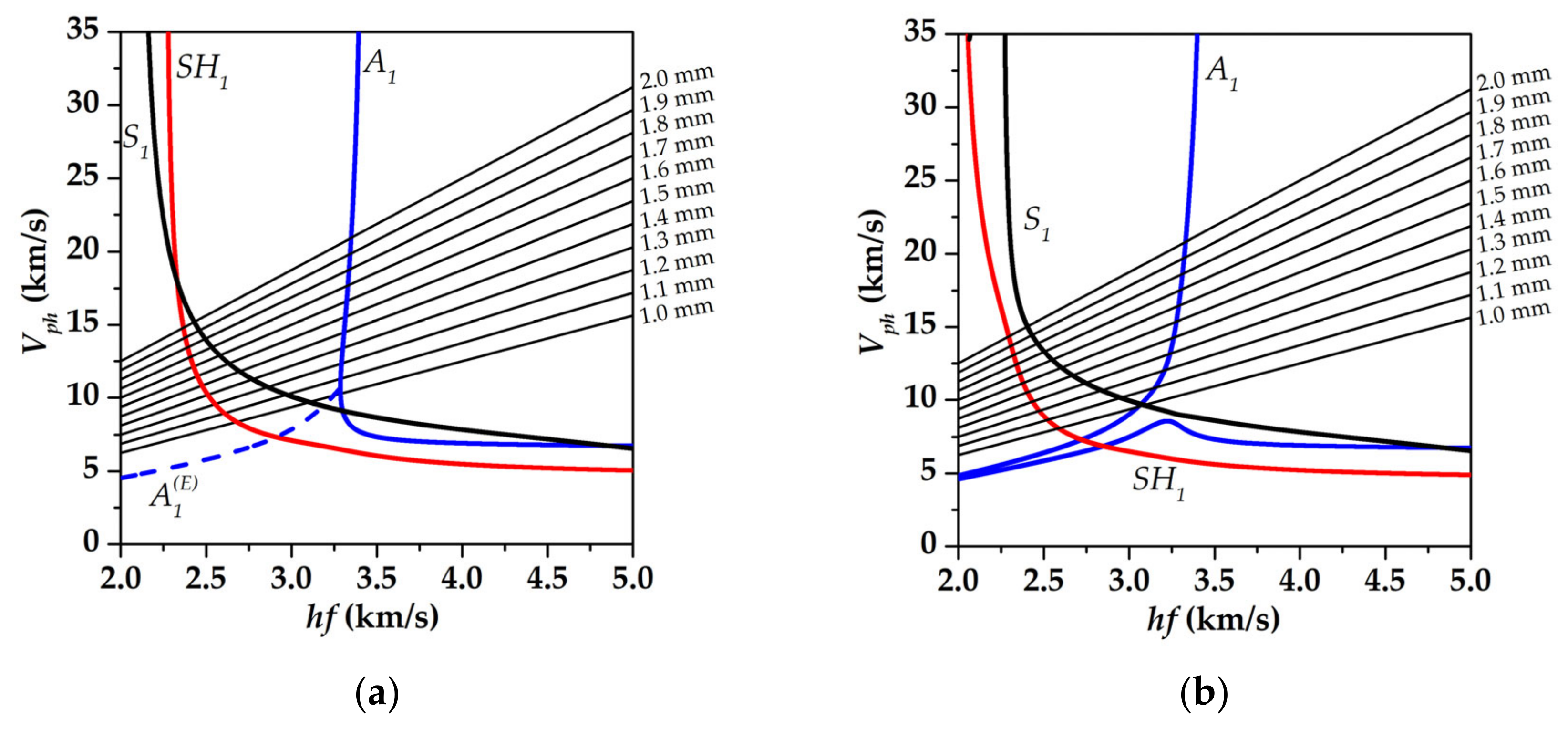
3.1. Theoretical Results
3.2. Experimental Results
4. Conclusions
Author Contributions
Funding
Institutional Review Board Statement
Informed Consent Statement
Data Availability Statement
Conflicts of Interest
References
- Maznev, A.A.; Every, A.G. Surface acoustic waves with negative group velocity in a thin film structure on silicon. Appl. Phys. Lett. 2009, 95, 011903. [Google Scholar] [CrossRef]
- Prada, C.; Clorennec, D.; Murray, T.W.; Royer, D. Influence of the anisotropy on zero-group velocity Lamb modes. J. Acoust. Soc. Am. 2009, 126, 620–625. [Google Scholar] [CrossRef] [PubMed]
- Yantchev, V.; Arapan, L.; Katardjiev, I.; Plessky, V. Thin-film zero-group-velocity Lamb wave resonator. Appl. Phys. Lett. 2011, 99, 033505. [Google Scholar] [CrossRef]
- Germano, M.; Alippi, A.; Bettucci, A.; Mancuso, G. Anomalous and negative reflection of Lamb waves in mode conversion. Phys. Rev. B 2012, 85, 012102. [Google Scholar] [CrossRef]
- Philippe, F.D.; Murray, T.W.; Prada, C. Focusing on plates: Controlling guided waves using negative refraction. Sci. Rep. 2015, 5, 11112. [Google Scholar] [CrossRef]
- Kuznetsova, I.E.; Mozhaev, V.G.; Nedospasov, I.A. Pure shear backward waves in the X-cut and Y-cut piezoelectric plates of potassium niobate. J. Commun. Technol. Electron. 2016, 61, 1305–1313. [Google Scholar] [CrossRef]
- Caliendo, C.; Hamidullah, M. Zero-group-velocity acoustic waveguides for high-frequency resonators. J. Phys. D Appl. Phys. 2017, 50, 474002. [Google Scholar] [CrossRef]
- Tolstoy, I.; Usdin, E. Wave propagation in elastic plates: Low and high mode dispersion. J. Acoust. Soc. Am. 1957, 29, 37–42. [Google Scholar] [CrossRef]
- Viktorov, I.A. Rayleigh and Lamb Waves; Plenum Press: New York, NY, USA, 1967. [Google Scholar]
- Liu, T.; Karunasena, W.; Kitipornchai, S.; Veidt, M. The influence of backward wave transmission on quantitative ultrasonic evaluation using Lamb wave propagation. J. Acoust. Soc. Am. 2000, 107, 306–314. [Google Scholar] [CrossRef]
- Nishimiya, K.; Mizutani, K.; Wakatsuki, N.; Yamamoto, K. Relationships between existence of negative group velocity and physical parameters of materials for Lamb-type waves in solid/liquid/solid structure. Jpn. J. Appl. Phys. 2008, 47 Pt 1, 3855–3856. [Google Scholar] [CrossRef]
- Lu, M.H.; Zhang, C.; Feng, L.; Zhao, J.; Chen, Y.F.; Mao, Y.W.; Zi, J.; Zhu, Y.-Y.; Zhu, S.-N.; Ming, N.B. Negative birefraction of acoustic waves in a sonic crystal. Nat. Mater. 2007, 6, 744–748. [Google Scholar] [CrossRef]
- Guenneau, S.; Movchan, A.; Pétursson, G.; Ramakrishna, S.A. Acoustic metamaterials for sound focusing and confinement. New J. Phys. 2007, 9, 399. [Google Scholar] [CrossRef]
- Gazis, D.C. Three-dimensional investigation of the propagation of waves in hollow circular cylinders. II. Numerical results. J. Acoust. Soc. Am. 1959, 31, 573–578. [Google Scholar] [CrossRef]
- Meitzler, A.H. Backward-wave transmission of stress pulses in elastic cylinders and plates. J. Acoust. Soc. Am. 1965, 38, 835–842. [Google Scholar] [CrossRef]
- Marston, P.L. Negative group velocity Lamb waves on plates and applications to the scattering of sound by shells. J. Acoust. Soc. Am. 2003, 113, 2659–2662. [Google Scholar] [CrossRef]
- Cès, M.; Royer, D.; Prada, C. Characterization of mechanical properties of a hollow cylinder with zero group velocity Lamb modes. J. Acoust. Soc. Am. 2012, 132, 180–185. [Google Scholar] [CrossRef]
- Philippe, F.D.; Clorennec, D.; Ces, M.; Anankine, R.; Prada, C. Analysis of backward waves and quasi-resonance of shells with the invariants of the time reversal operator. POMA 2013, 19, 055022. [Google Scholar] [CrossRef]
- Cui, H.; Lin, W.; Zhang, H.; Wang, X.; Trevelyan, J. Characteristics of group velocities of backward waves in a hollow cylinder. J. Acoust. Soc. Am. 2014, 135, 3398–3408. [Google Scholar] [CrossRef]
- Lauren, J.; Royer, D.; Prada, C. In-plane backward and zero group velocity guided modes in rigid and soft strips. J. Acoust. Soc. Am. 2020, 147, 1302–1310. [Google Scholar] [CrossRef]
- Othmani, C.; Khelfa, T. Effect of graded pre-stress on the propagation of guided waves in functionally graded piezoelectric–piezomagnetic materials. Mech. Res. Commun. 2023, 127, 104037. [Google Scholar] [CrossRef]
- Burlii, P.V.; Ilyin, P.P.; Kucherov, I.Y. Backward transfer acoustic waves in cubic crystal plates. Acoust. Phys. 1997, 43, 266–269. [Google Scholar]
- Kucherov, I.Y.; Malyarenko, E.V. Energy flows of direct and inverse normal transverse acoustic waves in piezoelectric plates. Acoust. Phys. 1998, 44, 420–425. [Google Scholar]
- Zaitsev, B.D.; Kuznetsova, I.E.; Borodina, I.A.; Teplykh, A.A. The peculiarities of propagation of the backward acoustic waves in piezoelectric plates. IEEE Trans. Ultrason. Ferroelectr. Freq. Control 2008, 55, 1660–1664. [Google Scholar] [CrossRef]
- Negishi, K. Existence of negative group velocities in Lamb waves. Jpn. J. Appl. Phys. 1987, 26 Pt 1, 171–173. [Google Scholar] [CrossRef]
- Shuvalov, A.L.; Poncelet, O. On the backward Lamb waves near thickness resonances in anisotropic plates. Int. J. Solids Struct. 2008, 45, 3430–3448. [Google Scholar] [CrossRef][Green Version]
- Kuznetsov, S.V. Appearing ZGV point in the first flexural branch of Lamb waves in multilayered plates. Compos. Struct. 2022, 290, 115532. [Google Scholar] [CrossRef]
- Nedospasov, I.A.; Pupyrev, P.D.; Bechler, N.; Tham, J.; Kuznetsova, I.E.; Mayer, A.P. Guided acoustic waves at periodically structured edges: Linear modes and nonlinear generation of Lamb and surface waves. J. Sound Vib. 2022, 527, 116854. [Google Scholar] [CrossRef]
- Zaitsev, B.D.; Kuznetsova, I.E.; Nedospasov, I.A.; Smirnov, A.V.; Semyonov, A.P. New approach to detection of guided waves with negative group velocity: Modeling and experiment. J. Sound Vib. 2019, 442, 155–166. [Google Scholar] [CrossRef]
- Kuznetsova, I.; Nedospasov, I.; Smirnov, A.; Qian, Z.; Wang, B.; Dai, X.-Y. Excitation and detection of evanescent acoustic waves in piezoelectric plates: Theoretical and 2D FEM modeling. Ultrasonics 2019, 99, 105961. [Google Scholar] [CrossRef]
- Legrand, F.; Gerardin, B.; Bruno, F.; Laurent, J.; Lemoult, F.; Pdada, C.; Aurby, A. Cloaking, trapping and superlensing of Lamb waves with negative refraction. Sci. Rep. 2021, 11, 23901. [Google Scholar] [CrossRef]
- Kuznetsova, I.E.; Nedospasov, I.A.; Kolesov, V.V.; Qian, Z.; Wang, B.; Zhu, F. Influence of electrical boundary conditions on profiles of acoustic field and electric potential of shear-horizontal acoustic waves in potassium niobate plates. Ultrasonics 2018, 86, 6–13. [Google Scholar] [CrossRef]
- Smirnov, A.; Zaitsev, B.; Teplykh, A.; Nedospasov, I.; Golovanov, E.; Qian, Z.; Wang, B.; Kuznetsova, I. The experimental registration of the evanescent acoustic wave in YX LiNbO3 plate. Sensors 2021, 21, 2238. [Google Scholar] [CrossRef] [PubMed]
- Kubrusly, A.C.; Kang, L.; Dixon, S. Selective simultaneous generation of distinct unidirectional wave modes in different directions using dual-array transducer. Mech. Syst. Signal Process. 2023, 187, 109942. [Google Scholar] [CrossRef]
- Akram, M.T.; Jang, J.-Y.; Song, K. Forward and backward multibeam scanning controlled by a holographic acoustic metasurface. Phys. Rev. Appl. 2022, 18, 024008. [Google Scholar] [CrossRef]
- Rokhlin, S.I.; Chimenti, D.E.; Nayfeh, A.H. On the topology of the complex wave spectrum in a fluid-coupled elastic layer. J. Acoust. Soc. Am. 1989, 85, 1074–1080. [Google Scholar] [CrossRef]
- Shuvalov, A.L.; Poncelet, O.; Deschamps, M. Analysis of the dispersion spectrum of fluid-loaded anisotropic plates: Leaky-wave branches. J. Sound Vib. 2006, 296, 494–517. [Google Scholar] [CrossRef]
- Aanes, M.; Lohne, K.D.; Lunde, P.; Vestrheim, M. Ultrasonic beam transmission through a water-immersed plate at oblique incidence using a piezoelectric source transducer. Finite element-angular spectrum modeling and measurements. In Proceedings of the 2012 IEEE International Ultrasonics Symposium, Dresden, Germany, 7–10 October 2012; pp. 1972–1977. [Google Scholar] [CrossRef]
- Nedospasov, I.A.; Mozhaev, V.G.; Kuznetsova, I.E. Unusual energy properties of leaky backward Lamb waves in a submerged plate. Ultrasonics 2017, 77, 95–99. [Google Scholar] [CrossRef]
- Glushkov, E.V.; Glushkova, N.V.; Miakisheva, O.A. Backward waves and energy fluxes excited in acoustic medium with an immersed plate. Ultrasonics 2019, 94, 158–168. [Google Scholar] [CrossRef]
- Aanes, M.; Lohne, K.D.; Lunde, P.; Vestrheim, M. Beam diffraction effects in the backward wave regions of viscoelastic leaky Lamb modes for plate transmission at normal incidence. IEEE Trans. Ultrason. Ferroelectr. Freq. Control 2017, 64, 1558–1572. [Google Scholar] [CrossRef]
- Bernard, A.; Lowe, M.J.S.; Deschamps, M. Guided waves energy velocity in absorbing and non-absorbing plates. J. Acoust. Soc. Am. 2001, 110, 186–196. [Google Scholar] [CrossRef]
- Lenoir, O.; Duclos, J.; Conoir, J.M.; Izbicki, J.L. Study of Lamb waves based upon the frequency and angular derivatives of the phase of the reflection coefficient. J. Acoust. Soc. Am. 1993, 94, 330–343. [Google Scholar] [CrossRef]
- Auld, B.A. Acoustic Fields and Waves in Solids; John Wiley: New York, NY, USA, 1973. [Google Scholar]
- Kuznetsova, I.; Zaitsev, B.; Joshi, S.; Teplykh, A. Effect of a liquid on the characteristics of antisymmetric Lamb waves in thin piezoelectric plates. Acoust. Phys. 2007, 53, 557–563. [Google Scholar] [CrossRef]
- Available online: https://www.bostonpiezooptics.com/lithium-niobate (accessed on 25 November 2022).
- Kuznetsova, I.E.; Zaitsev, B.D.; Borodina, I.A.; Teplykh, A.A.; Shurygin, V.V.; Joshi, S.G. Investigation of acoustic waves of higher order propagating in plates of lithium niobate. Ultrasonics 2004, 42, 373–376. [Google Scholar] [CrossRef] [PubMed]
- Nedospasov, I.A.; Mozhaev, V.G.; Kuznetsova, I.E. Leaky backward Lamb waves in various isotropic and anisotropic plate/liquid systems. In Proceedings of the 2016 IEEE International Ultrasonics Symposium (IUS), Tours, France, 18–21 September 2016; p. 7728566. [Google Scholar] [CrossRef]
- Kuznetsova, I.E.; Zaitsev, B.D.; Nedospasov, I.A.; Kuznetsova, A.S. Influence of liquid on properties of backward acoustic waves in piezoelectric plates. In Proceedings of the 2015 IEEE International Ultrasonics Symposium (IUS), Taipei, China, 21–24 October 2015; p. 0351. [Google Scholar] [CrossRef]








| Elastic Modulii, CEij (1010 N/m2) | ||||||
|---|---|---|---|---|---|---|
| CE11 | CE12 | CE13 | CE14 | CE33 | CE44 | CE66 |
| 20.3 | 5.73 | 7.52 | 0.85 | 24.24 | 5.95 | 7.28 |
| Piezoconstants, eij (C/m2) | Dielectric permittivity, εSij/ε0 | Density, kg/m3 | ||||
| e15 | e22 | e31 | e33 | εS11 | εS33 | ρ |
| 3.83 | 2.37 | 0.23 | 1.3 | 44.3 | 27.9 | 4650 |
Disclaimer/Publisher’s Note: The statements, opinions and data contained in all publications are solely those of the individual author(s) and contributor(s) and not of MDPI and/or the editor(s). MDPI and/or the editor(s) disclaim responsibility for any injury to people or property resulting from any ideas, methods, instructions or products referred to in the content. |
© 2023 by the authors. Licensee MDPI, Basel, Switzerland. This article is an open access article distributed under the terms and conditions of the Creative Commons Attribution (CC BY) license (https://creativecommons.org/licenses/by/4.0/).
Share and Cite
Smirnov, A.; Zaitsev, B.; Nedospasov, I.; Nazarov, G.; Kuznetsova, I. Backward Acoustic Waves in Piezoelectric Plates: Possible Application as Base for Liquid Sensors. Sensors 2023, 23, 648. https://doi.org/10.3390/s23020648
Smirnov A, Zaitsev B, Nedospasov I, Nazarov G, Kuznetsova I. Backward Acoustic Waves in Piezoelectric Plates: Possible Application as Base for Liquid Sensors. Sensors. 2023; 23(2):648. https://doi.org/10.3390/s23020648
Chicago/Turabian StyleSmirnov, Andrey, Boris Zaitsev, Ilya Nedospasov, Gleb Nazarov, and Iren Kuznetsova. 2023. "Backward Acoustic Waves in Piezoelectric Plates: Possible Application as Base for Liquid Sensors" Sensors 23, no. 2: 648. https://doi.org/10.3390/s23020648
APA StyleSmirnov, A., Zaitsev, B., Nedospasov, I., Nazarov, G., & Kuznetsova, I. (2023). Backward Acoustic Waves in Piezoelectric Plates: Possible Application as Base for Liquid Sensors. Sensors, 23(2), 648. https://doi.org/10.3390/s23020648

