Effects of Motor Task Difficulty on Postural Control Complexity during Dual Tasks in Young Adults: A Nonlinear Approach
Abstract
1. Introduction
Study Purpose
2. Materials and Methods
2.1. Task Protocol
2.2. Postural Single Task (ST)
2.3. Dual-Task Conditions
2.4. Standing Postural Sway Dynamics Analysis
2.5. Statistical Analysis
3. Results
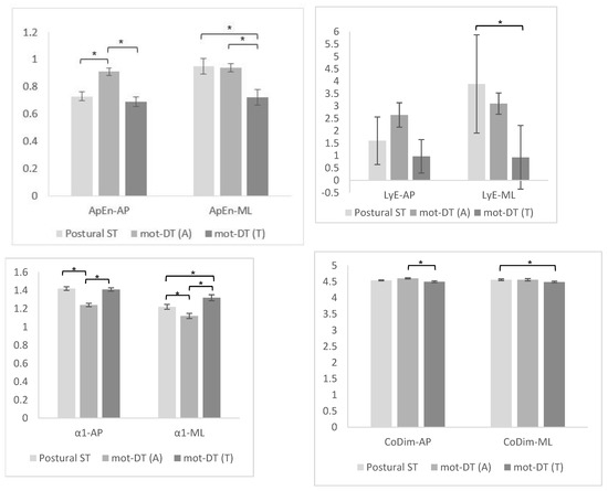
3.1. Approximate Entropy
3.2. Lyapunov Exponent
3.3. Detrending Fluctuation Analysis (Short-Term: α1)
3.4. Correlation Dimension
4. Discussion
5. Conclusions
Author Contributions
Funding
Institutional Review Board Statement
Informed Consent Statement
Data Availability Statement
Acknowledgments
Conflicts of Interest
References
- Cavalheiro, G.L.; Almeida, M.F.S.; Pereira, A.A.; Andrade, A.O. Study of age-related changes in postural control during quiet standing through Linear Discriminant Analysis. Biomed. Eng. Online 2009, 8, 35. [Google Scholar] [CrossRef] [PubMed]
- Petrigna, L.; Gentile, A.; Mani, D.; Pajaujiene, S.; Zanotto, T.; Thomas, E.; Paoli, A.; Palma, A.; Bianco, A. Dual-task conditions on static postural control in older adults: A systematic review and meta-analysis. J. Aging Phys. Act. 2021, 29, 162–177. [Google Scholar] [CrossRef] [PubMed]
- Quijoux, F.; Vienne-Jumeau, A.; Bertin-Hugault, F.; Zawieja, P.; Lefèvre, M.; Vidal, P.P.; Ricard, D. Center of pressure displacement characteristics differentiate fall risk in older people: A systematic review with meta-analysis. Ageing Res. Rev. 2020, 62, 101117. [Google Scholar] [CrossRef] [PubMed]
- Bekkers, E.M.J.; Dockx, K.; Devan, S.; Van Rossom, S.; Verschueren, S.M.P.; Bloem, B.R.; Nieuwboer, A. The Impact of Dual-Tasking on Postural Stability in People with Parkinson’s Disease with and without Freezing of Gait. Neurorehabil. Neural. Repair 2018, 32, 166–174. [Google Scholar] [CrossRef] [PubMed]
- Ruhe, A.; Fejer, R.; Walker, B. Center of pressure excursion as a measure of balance performance in patients with non-specific low back pain compared to healthy controls: A systematic review of the literature. Eur. Spine J. 2011, 20, 358–368. [Google Scholar] [CrossRef]
- Liau, B.Y.; Wu, F.L.; Lung, C.W.; Zhang, X.; Wang, X.; Jan, Y.K. Complexity-based measures of postural sway during walking at different speeds and durations using multiscale entropy. Entropy 2019, 21, 1128. [Google Scholar] [CrossRef]
- Kędziorek, J.; Błażkiewicz, M. Nonlinear measures to evaluate upright postural stability: A systematic review. Entropy 2020, 22, 1357. [Google Scholar] [CrossRef]
- Purkayastha, S.; Adair, H.; Woodruff, A.; Ryan, L.J.; Williams, B.; James, E.; Bell, K.R. Balance Testing Following Concussion: Postural Sway versus Complexity Index. PMR 2019, 11, 1184–1192. [Google Scholar] [CrossRef]
- Yamada, N. Chaotic swaying of the upright posture. Hum. Mov. Sci. 1995, 14, 711–726. [Google Scholar] [CrossRef]
- Pascolo, P.; Barazza, F.; Carniel, R. Considerations on the application of the chaos paradigm to describe the postural sway. Chaos Solitons Fractals 2006, 27, 1339–1346. [Google Scholar] [CrossRef]
- Ladislao, L.; Fioretti, S. Nonlinear analysis of posturographic data. Med. Bio. Eng. Comput. 2007, 45, 679–688. [Google Scholar] [CrossRef]
- Pincus, S.M. Approximate entropy as a measure of system complexity. Proc. Natl. Acad. Sci. USA 1991, 88, 2297–2301. [Google Scholar] [CrossRef]
- Pincus, S.M.; Gladstone, I.M.; Ehrenkranz, R.A. A regularity statistic for medical data analysis. J. Clin. Monit. 1991, 7, 335–345. [Google Scholar] [CrossRef]
- Pincus, S. Approximate entropy (ApEn) as a complexity measure. CHAOS 1995, 5, 110–117. [Google Scholar] [CrossRef]
- Montesinos, L.; Castaldo, R.; Pecchia, L. On the use of approximate entropy and sample entropy with centre of pressure time-series. J. Neuroeng. Rehabil. 2018, 15, 1–15. [Google Scholar] [CrossRef]
- Cavanaugh, J.T.; Mercer, V.S.; Stergiou, N. Approximate entropy detects the effect of a secondary cognitive task on postural control in healthy young adults: A methodological report. J. Neuroeng. Rehabil. 2007, 4, 1–7. [Google Scholar] [CrossRef]
- Stergiou, N. Nonlinear Analysis for Human Movement Variability. Taylor, F., Ed.; Taylor & Francis: Oxford, UK, 2016; pp. 1–388. [Google Scholar]
- Liu, K.; Wang, H.; Xiao, J.; Taha, Z. Analysis of Human Standing Balance by Largest Lyapunov Exponent. Comput. Intell. Neurosci. 2015, 2015, 158478. [Google Scholar] [CrossRef]
- Mehdizadeh, S. The largest Lyapunov exponent of gait in young and elderly individuals: A systematic review. Gait Posture 2018, 60, 241–250. [Google Scholar] [CrossRef]
- Grassberger, P.; Procaccia, I. Measuring the strangeness of strange attractors. Phys. D Nonlinear Phenom. 1983, 9, 189–208. [Google Scholar] [CrossRef]
- Peng, C.K.; Havlin, S.; Stanley, H.E.; Goldberger, A.L. Quantification of scaling exponents and crossover phenomena in nonstationary heartbeat time series. CHAOS 1995, 5, 82–87. [Google Scholar] [CrossRef]
- Blázquez, M.T.; Anguiano, M.; de Saavedra, F.A.; Lallena, A.M.; Carpena, P. Characterizing the human postural control system using detrended fluctuation analysis. J. Comput. Appl. Math. 2010, 233, 1478–1482. [Google Scholar] [CrossRef][Green Version]
- Colás, A.; Vigil, L.; Vargas, B.; Cuesta-Frau, D.; Varela, M. Detrended Fluctuation Analysis in the prediction of type 2 diabetes mellitus in patients at risk: Model optimization and comparison with other metrics. PLoS ONE 2019, 14, e0225817. [Google Scholar] [CrossRef] [PubMed]
- Woollacott, M.; Shumway-cook, A. Attention and the control of posture and gait: A review of an emerging area of research. Gait Posture 2002, 16, 1–14. [Google Scholar] [CrossRef] [PubMed]
- Kachouri, H.; Laatar, R.; Borji, R.; Rebai, H.; Sahli, S. Using a dual-task paradigm to investigate motor and cognitive performance in children with intellectual disability. J. Appl. Res. Intellect. Disabil. 2020, 33, 172–179. [Google Scholar] [CrossRef] [PubMed]
- Freire Júnior, R.C.; Porto, J.M.; Marques, N.R.; Magnani, P.E.; Abreu, D.C.C. The effects of a simultaneous cognitive or motor task on the kinematics of walking in older fallers and non-fallers. Hum. Mov. Sci. 2017, 51, 146–152. [Google Scholar] [CrossRef]
- Pellecchia, G.L. Postural sway increases with attentional demands of concurrent cognitive task. Gait Posture 2003, 18, 29–34. [Google Scholar] [CrossRef]
- Lanzarin, M.; Parizzoto, P.; Libardoni, T.C.; Sinhorim, L.; Tavares, G.M.S.; Santos, G.M. The influence of dual-tasking on postural control in young adults. Fisioter. E Pesqui. 2015, 22, 61–68. [Google Scholar]
- Lepp, A.; Barkley, J.E.; Sanders, G.J.; Rebold, M.; Gates, P. The relationship between cell phone use, physical and sedentary activity, and cardiorespiratory. Int. J. Behav. Nutr. Phys. Act. 2013, 10, 1. [Google Scholar] [CrossRef]
- Stavrinos, D.; Byington, K.W.; Schwebel, D.C. Distracted walking: Cell phones increase injury risk for college pedestrians. J. Saf. Res. 2011, 42, 101–107. [Google Scholar] [CrossRef]
- Akçay, D.; Akçay, B. The effect of mobile phone usage on sleep quality in adolescents. J. Neurobehav. Sci. 2018, 5, 13–17. [Google Scholar] [CrossRef]
- El Azab, D.R.; Amin, D.I.; Mohamed, G.I. Effect of smartphone using duration and gender on dynamic balance. Int. J. Med. Res. Heal. Sci. 2017, 6, 42–49. [Google Scholar]
- Sung-Hak, C.; Mun-Hee, C.; Bong-Oh, G. Effect of smartphone use on dynamic postural balance. J. Phys. Ther. Sci. 2014, 26, 1013–1015. [Google Scholar]
- Villafaina, S.; Gusi, N.; Rodriguez-Generelo, S.; Martin-Gallego, J.D.D.; Fuentes-García, J.P.; Collado-Mateo, D. Influence of a Cell-Phone Conversation on Balance Performance in Women with Fibromyalgia: A Cross-Sectional Descriptive Study. Biomed. Res. Int. 2019, 2019, 5132802. [Google Scholar] [CrossRef]
- Onofrei, R.R.; Amaricai, E.; Suciu, O.; David, V.L.; Rata, A.L.; Hogea, E. Smartphone use and postural balance in healthy young adults. Int. J. Environ. Res. Public Health 2020, 17, 3307. [Google Scholar] [CrossRef]
- Nurwulan, N.R.; Jiang, B.C.; Iridiastadi, H. Posture and texting: Effect on balance in young adults. PLoS ONE 2015, 10, e0134230. [Google Scholar] [CrossRef]
- Makizako, H.; Furuna, T.; Ihira, H.; Shimada, H. Age-related Differences in the Influence of Cognitive Task Performance on Postural Control Under Unstable Balance Conditions. Int. J. Gerontol. 2013, 7, 199–204. [Google Scholar] [CrossRef]
- Tang, P.; Yang, H.; Peng, Y.; Chen, H. Motor dual-task Timed Up & Go test better identifies prefrailty individuals than single-task Timed Up & Go test. Geriatr. Gerontol. Int. 2015, 15, 204–210. [Google Scholar]
- Potvin-Desrochers, A.; Richer, N.; Lajoie, Y. Cognitive tasks promote automatization of postural control in young and older adults. Gait Posture 2017, 57, 40–45. [Google Scholar] [CrossRef]
- Kuczyński, M.; Szymańska, M.; Bieć, E. Dual-task effect on postural control in high-level competitive dancers. J. Sports Sci. 2011, 29, 539–545. [Google Scholar] [CrossRef]
- Madeleine, P.; Nielsen, M.; Arendt-Nielsen, L. Characterization of postural control deficit in whiplash patients by means of linear and nonlinear analyses—A pilot study. J. Electromyogr. Kinesiol. 2011, 21, 291–297. [Google Scholar] [CrossRef]
- Nurwulan, N.R.; Iridiastadi, H.; Jiang, B.C. A review of the effect on postural stability while using mobile phone. In Proceedings of the Bridg Res Good Pract Towar Patient Welf—Proc 4th Int Conf Healthc Syst Ergon Patient Safety, HEPS 2014, Taipei, Taiwan, 23–26 June 2014; CRC Press: Boca Raton, FL, USA; pp. 101–108. [Google Scholar]
- Carpenter, M.G.; Frank, J.S.; Winter, D.A.; Peysar, G.W. Sampling duration effects on centre of pressure summary measures. Gait Posture 2001, 13, 35–40. [Google Scholar] [CrossRef] [PubMed]
- Pincus, S.M.; Goldberger, A.L. Physiological time-series analysis: What does regularity quantify? Am. J. Physiol.—Hear Circ. Physiol. 1994, 266, H1643–H1656. [Google Scholar] [CrossRef] [PubMed]
- Broomhead, D.S.; King, G.P. Extracting qualitative dynamics from experimental data. Phys. D Nonlinear. Phenom. 1986, 20, 217–236. [Google Scholar] [CrossRef]
- de Pedro-Carracedo, J.; Fuentes-Jimenez, D.; Ugena, A.M.; Gonzalez-Marcos, A.P. Phase space reconstruction from a biological time series: A photoplethysmographic signal case study. Appl. Sci. 2020, 10, 1430. [Google Scholar] [CrossRef]
- Matilla-García, M.; Morales, I.; Rodríguez, J.M.; Marín, M.R. Selection of embedding dimension and delay time in phase space reconstruction via symbolic dynamics. Entropy 2021, 23, 221. [Google Scholar] [CrossRef]
- Fraser, A.M.; Swinney, H.L. Independent coordinates for strange attractors from mutual information. Phys. Rev. A Gen. Phys. 1986, 33, 1134–1140. [Google Scholar] [CrossRef]
- Wolf, A.; Swift, J.B.; Swinney, H.L.; Vastano, J.A. Determining lyapunov exponents from a time series. Phys. D Nonlinear Phenom. 1985, 16, 285–317. [Google Scholar] [CrossRef]
- Gurses, S.; Celik, H. Correlation dimension estimates of human postural sway. Hum. Mov. Sci. 2013, 32, 48–64. [Google Scholar] [CrossRef]
- Damouras, S.; Chang, M.D.; Sejdic, E.; Chau, T. An empirical examination of detrended fluctuation analysis for gait data. Gait Posture 2010, 31, 336–340. [Google Scholar] [CrossRef]
- Mirzayof, D.; Ashkenazy, Y. Preservation of long range temporal correlations under extreme random dilution. Phys. A 2010, 389, 5573–5580. [Google Scholar] [CrossRef]
- Zhou, D.; Zhou, J.; Chen, H.; Manor, B.; Lin, J.; Zhang, J. Effects of transcranial direct current stimulation (tDCS) on multiscale complexity of dual-task postural control in older adults. Exp. Brain Res. 2015, 233, 2401–2409. [Google Scholar] [CrossRef]
- Kang, H.G.; Costa, M.D.; Priplata, A.A.; Starobinets, O.V.; Goldberger, A.L.; Peng, C.; Kiely, D.K.; Cupples, L.A.; Lipsitz, L.A. Frailty and the Degradation of Complex Balance Dynamics during a Dual-Task Protocol. J. Gerontol. 2009, 64, 1304–1311. [Google Scholar] [CrossRef]
- St-Amant, G.; Rahman, T.; Polskaia, N.; Fraser, S.; Lajoie, Y. Unveilling the cerebral and sensory contributions to automatic postural control during dual-task standing. Hum. Mov. Sci. 2020, 70, 102587. [Google Scholar] [CrossRef]
- Donker, S.F.; Roerdink, M.; Greven, A.J.; Beek, P.J. Regularity of center-of-pressure trajectories depends on the amount of attention invested in postural control. Exp. Brain Res. 2007, 181, 1–11. [Google Scholar] [CrossRef]
- Richer, N.; Lajoie, Y. Automaticity of Postural Control while Dual-tasking Revealed in Young and Older Adults Automaticity of Postural Control while Dual-tasking Revealed in Young and Older Adults. Exp. Aging Res. 2020, 46, 1–21. [Google Scholar] [CrossRef]
- Zhou, J.; Manor, B.; Liu, D.; Hu, K.; Zhang, J.; Fang, J. The Complexity of Standing Postural Control in Older Adults: A Modified Detrended Fluctuation Analysis Based upon the Empirical Mode Decomposition Algorithm. PLoS ONE 2013, 8, e62585. [Google Scholar] [CrossRef]
- Bouisset, S.; Zattara, M. Biomechanical study of the programming of anticipatory postural adjustments associated with voluntary movement. J. Biomech. 1987, 20, 735–742. [Google Scholar] [CrossRef]
- Sveistrup, H.; Woollacott, M.H. Practice modifies the developing automatic postural response. Exp. Brain Res. 1997, 114, 33–43. [Google Scholar] [CrossRef]
- Auter, P.J. Portable social groups: Willingness to communicate, interpersonal communication gratifications, and cell phone use among young adults. Int. J. Mob. Commun. 2007, 5, 139–156. [Google Scholar] [CrossRef]
- Berolo, S.; Wells, R.P.; Amick, B.C. Musculoskeletal symptoms among mobile hand-held device users and their relationship to device use: A preliminary study in a Canadian university population. Appl. Ergon. 2011, 42, 371–378. [Google Scholar] [CrossRef]
- Guadagnoll, M.A.; Lee, T.D. Challenge Point: A Framework for Conceptualizing the Effects of Various Practice Conditions in Motor Learning. J. Mot. Behav. 2004, 36, 212–224. [Google Scholar] [CrossRef] [PubMed]
- Robinson, P. Task complexity, task difficulty, and task production: Exploring interactions in a componential framework. Appl. Linguist. 2001, 22, 27–57. [Google Scholar] [CrossRef]
- Bootsma, J.M.; Caljouw, S.R.; Veldman, M.P.; Maurits, N.M.; Rothwell, C. Failure to Engage Neural Plasticity through Practice of a High-difficulty Task is Accompanied by Reduced Motor Skill Retention in Older Adults. Neuroscience 2020, 451, 22–35. [Google Scholar] [CrossRef] [PubMed]
- Liu, P.; Li, Z. Task complexity: A review and conceptualization framework. Int. J. Ind. Ergon. 2012, 42, 553–568. [Google Scholar] [CrossRef]
- Tigrini, A.; Verdini, F.; Fioretti, S.; Mengarelli, A. Communications in Nonlinear Science and Numerical Simulation Long term correlation and inhomogeneity of the inverted pendulum sway time-series under the intermittent control paradigm. Commun. Nonlinear Sci. Numer. Simul. 2022, 108, 10619. [Google Scholar] [CrossRef]


| Variables | Sample n = 35 |
|---|---|
| Age (years) | 22.94 ± 3.88 |
| Height (m) | 1.71 ± 0.10 |
| Body mass (kg) | 73.63 ± 16.06 |
| Body mass index (kg/m2) | 24.98 ± 4.32 |
| Nonlinear Measures | Single Task | Mot-DT (A) | Mot-DT (T) | p-Value 1 |
|---|---|---|---|---|
| ApEn-AP | 0.73 (0.62–0.91) | 0.91 (0.77–1.03) | 0.69 (0.57–0.91) | <0.001 * |
| ApEn-ML | 0.95 (0.72–1.20) | 0.94 (0.88–1.06) | 0.72 (0.49–0.96) | <0.001 * |
| LyE-AP | 1.60 (0.42–6.47) | 2.64 (1.00–4.82) | 0.97 (0.17–5.61) | 0.091 |
| LyE-ML | 3.89 (0.93–17.81) | 3.10 (1.23–5.77) | 0.93 (0.18–8.27) | 0.016 * |
| α1-AP | 1.42 (1.30–1.51) | 1.24 (1.16–1.34) | 1.41 (1.30–1.47) | <0.001 * |
| α1-ML | 1.22 (1.09–1.32) | 1.12 (1.03–1.27) | 1.32 (1.24–1.51) | <0.001 * |
| CoDim-AP | 4.54 (4.49–4.59) | 4.60 (4.51–4.65) | 4.50 (4.38–4.60) | 0.022 * |
| CoDim-ML | 4.56 (4.49–4.67) | 4.56 (4.39–4.66) | 4.49 (4.38–4.55) | 0.019 * |
Disclaimer/Publisher’s Note: The statements, opinions and data contained in all publications are solely those of the individual author(s) and contributor(s) and not of MDPI and/or the editor(s). MDPI and/or the editor(s) disclaim responsibility for any injury to people or property resulting from any ideas, methods, instructions or products referred to in the content. |
© 2023 by the authors. Licensee MDPI, Basel, Switzerland. This article is an open access article distributed under the terms and conditions of the Creative Commons Attribution (CC BY) license (https://creativecommons.org/licenses/by/4.0/).
Share and Cite
Saraiva, M.; Vilas-Boas, J.P.; Fernandes, O.J.; Castro, M.A. Effects of Motor Task Difficulty on Postural Control Complexity during Dual Tasks in Young Adults: A Nonlinear Approach. Sensors 2023, 23, 628. https://doi.org/10.3390/s23020628
Saraiva M, Vilas-Boas JP, Fernandes OJ, Castro MA. Effects of Motor Task Difficulty on Postural Control Complexity during Dual Tasks in Young Adults: A Nonlinear Approach. Sensors. 2023; 23(2):628. https://doi.org/10.3390/s23020628
Chicago/Turabian StyleSaraiva, Marina, João Paulo Vilas-Boas, Orlando J. Fernandes, and Maria António Castro. 2023. "Effects of Motor Task Difficulty on Postural Control Complexity during Dual Tasks in Young Adults: A Nonlinear Approach" Sensors 23, no. 2: 628. https://doi.org/10.3390/s23020628
APA StyleSaraiva, M., Vilas-Boas, J. P., Fernandes, O. J., & Castro, M. A. (2023). Effects of Motor Task Difficulty on Postural Control Complexity during Dual Tasks in Young Adults: A Nonlinear Approach. Sensors, 23(2), 628. https://doi.org/10.3390/s23020628

