Next Article in Journal
Preliminary Test for 3D Surface Strain Measurement in the Tower and Foundation of Offshore Wind Turbines Using DOFS
Previous Article in Journal
Hearing and Seeing Nerve/Tendon Snapping: A Systematic Review on Dynamic Ultrasound Examination
 
 
Font Type:
Arial Georgia Verdana
Font Size:
Aa Aa Aa
Line Spacing:
Column Width:
Background:
Article

Lightweight Differentiated Transmission Based on Fuzzy and Random Modeling in Underwater Acoustic Sensor Networks

1
School of Science, Qingdao University of Technology, Qingdao 266520, China
2
College of Information Science and Engineering, Ocean University of China, Qingdao 266100, China
*
Author to whom correspondence should be addressed.
Sensors 2023, 23(15), 6733; https://doi.org/10.3390/s23156733
Submission received: 7 July 2023 / Revised: 18 July 2023 / Accepted: 24 July 2023 / Published: 27 July 2023
(This article belongs to the Section Sensor Networks)

Abstract

:
Energy-efficient and reliable underwater acoustic communication attracts a lot of research due to special marine communication conditions with limited resources in underwater acoustic sensor networks (UASNs). In their final analysis, the existing studies focus on controlling redundant communication and route void that greatly influence UASNs’ comprehensive performances. Most of them consider directional or omnidirectional transmission for partial optimization aspects, which still have many extra data loads and performance losses. This paper analyzes the main issue sources causing redundant communication in UASNs, and proposes a lightweight differentiated transmission to suppress extra communication to the greatest extent as well as balance energy consumption. First, the layered model employs layer ID to limit the scale of the data packet header, which does not need depth or location information. Second, the layered model, fuzzy-based model, random modeling and directional-omnidirectional differentiated transmission mode comb out the forwarders step by step to decrease needless duplicated forwarding. Third, forwarders are decided by local computation in nodes, which avoids exchanging controlling information among nodes. Simulation results show that our method can efficiently reduce the network load and improve the performance in terms of energy consumption balance, network lifetime, data conflict and network congestion, and data packet delivery ratio.

1. Introduction

With the increasing intensity of marine resource development and the rapidly growing amount of marine data, underwater acoustic communication has attracted more and more attention in the underwater remote sensing field [1,2,3]. Underwater acoustic sensor networks (UASNs) are widely used in marine resource exploration, data collection, environmental monitoring and marine rescue [4,5,6]. However, UASNs deploy sensors with limited resources in the marine environment that are difficult to replace. When partial sensors run out of energy, UASNs do not work [7,8]. In the complex and varying ocean environment, underwater acoustic communication suitable for long-distance communication features long propagation delay, low bandwidth and a poor channel capability when the underwater speed of sound is about 1500 m/s, five times slower than that of radio waves (3 × 108 m/s) [9]. Therefore, providing energy efficiency and reliable data transfer is the primary consideration for network performance in UASNs [10]. Most related studies come down to trying to decrease extra communication and route void, greatly influencing a UASN’s comprehensive performance.
Redundant data transmissions increase the traffic pressure of UASNs, waste energy, and enhance the probability of data conflict and network congestion [11,12]. The traditional multi-hop routing protocols use unicast forwarding to choose single-route or multi-route forwarding, while they frequently exchange the collected information about the neighboring nodes to maintain the route [13,14]. Recently, opportunistic pouting (OR) uses broadcast forwarding by omnidirectional antennae to ensure network performance (such as the interconnection of communication, etc.), whereas multiple forwarding copies weaken the communication effect in the underwater acoustic channel and waste energy [15]. Some directional transmissions try to adjust the effective selection range of forwarders to control duplicated forwarding [10], while they might receive no successful forwarding ACK and cause multiple extra forwarding because coordination forwarders are not in the communication range of those with higher priority. And some location-based routing protocols and depth-based routing protocols select partial nodes toward the sinks or autonomous underwater vehicles (AUVs) as relay nodes under some routing metric, but these protocols need to transmit a longer data packet, including depth or location information, in the data forwarding process, or to interactively communicate some controlling information [14,16]. In addition, the uneven distribution of the load results in routing voids or long detours [17,18]. Therefore, extra data forwarding, redundant information exchange and uneven data load reduce the efficiency of acoustic communication and shorten the UASN lifetime [19].
According to the existing protocols, Figure 1 shows the ineffective network running that occurs in the environmental monitoring of a coastal area, induced by a large number of excessive and uneven data loads. Since some black nodes are frequently chosen as relay nodes to forward the data, they consume too much energy, die prematurely and cause routing voids. Red nodes carry and exchange so much controlling information as to cause frequent data conflict and heavy network congestion. The multi-forwarding of data copies also aggravates the network overload and causes transmission delay. The phenomenon brings great difficulty to marine monitoring [20]. Because UASNs have a high deployment cost, limited bandwidth capacity, low energy efficiency, poor channel, etc., reducing redundant communication need to address the following issues: P1: A data packet contains many unnecessary controlling information. P2: Nodes need to exchange extra controlling information each other during each data transmission. P3: The broadcast feature of the omnidirectional or directional antenna enables the same data packet to be received by multiple nodes, which can lead to multiple forwarding copies. The existing protocols partially focus on P2 or P3. This paper addresses the above three issues and proposes a lightweight communication, called LLF-FR. In LLF-FR, we employ the reasonable allocation of the directional-omnidirectional hybrid transmission mode to reduce the redundancy communication as much as possible, which is different from the existing studies. The crucial contributions of our research are as follows.
  • To solve P1, we build a layered network model. The data packets employ layer ID, instead of depth or location information, which reduces the length of the data packet header and data transmission load. In order to solve P2, the selection of relay nodes is carried out by local computation in nodes, avoiding the regular exchange of much of the controlling information among the nodes, such as location, residual energy, and so on.
  • We design the layered concept to select initial candidate relays based on directional transmission, which limits the number of forwarders. Next, we propose the fuzzy model to further reduce the number of potential relay nodes as well as balance the energy consumption. Finally, the light-load efficient forwarding precisely chooses the optimum node to forward the data by random modeling. In the communication, we employ directional-omnidirectional differentiated transmission, which is different from single directional transmission where failed ACK receiving can cause some extra forwarding in the coordination process of forwarders. All these can effectively alleviate P3 and avoid multiple duplicated forwarding. Meanwhile, we consider the impact of marine acoustic velocity in the random model to coordinate the network delay.
  • We perform extensive simulations to verify our method under multiple performance indicators. A large number of experimental results demonstrate that our method can better reduce network load, improve the energy efficiency, balance the energy consumption, prolong the lifetime of UASNs, improve the data packet delivery ratio, and reduce the probability of data conflict and network congestion.
The remainder of this paper is organized as follows. Section 2 presents the related work. The UASN network model, the energy consumption model and the ocean acoustic-velocity model are introduced in Section 3. We propose the data packet format optimization based on the layered model in Section 4. Section 5 describes the details of the proposed method choosing the optimum forwarder, including layer-based candidate relays, fuzzy object function modeling, random forwarding modeling and directional-omnidirectional differentiated transmission. In Section 6, the performance evaluation is discussed. Section 7 concludes this paper. The key parameters used in this article are listed in Table 1.

2. Related Work

In this section, we discuss the related communication protocols in USANs. They forward the data packets to the partial neighbor under some routing metric or node cooperation which can relieve P2 or P3 to some extent.
(1) Location-based routing communication. The location-based routing protocols attempt to optimize P3. The vector-based forwarding protocol (VBF) [21] and VBF-based hop-by-hop protocol (HH-VBF) [22] are the first location-based opportunistic routing for UASNs and establish a “routing pipe” to transmit data packets to the destination. The location information of each node is used as the route metric to select the next hop forwarders. Only nodes inside the “routing pipe” join in forwarding, which tries to reduce forwarding duplication and data load. In [16], a typical geographic and opportunistic routing with depth adjustment (GEDAR) is proposed. The geographic information is required when deciding candidate forwarders, and the depth information is also required to avoid the route void by adjustment. The routing process wastes some energy due to lack of the energy factor. Aiming at achieving energy balance and reducing data conflicts, the energy-balanced VBF protocol [23] uses the residual energy as the expectation factor and adjusts the coordination time in each transmission round. In [24], a power control-based opportunistic routing (PCR) establishes a set of candidate forwarders under different transmission powers which minimizes energy consumption.
In [8], an OR based on directional transmission (ORD) uses the coordination of neighbor nodes, the azimuth angle, the ratio of residual energy and the packet delivery ratio (PDR) as route metrics to calculate the forwarding utility of relay nodes, improving PDR, while it needs the location information and information exchange. Moreover, the directional transmission can cause multiple needless forwarding because coordination forwarders are not in the communication range of the best one and receive no forwarding ACK.
The location-based routing protocols have a tough assumption that each sensor node knows its own geographical information. They often exchange the location information among the sensors, which consume significant energy. In addition, obtaining the location information in the ocean remains another challenge.
(2) Depth-based Routing Communication. The depth-based routing protocols, partially P2 and P3. In depth-based routing communication, the nodes can obtain the depth by local pressure sensors. They are in an independent location, which avoids the regular exchange of location information [25].
Depth-based routing (DBR) [26] use single-metric depth difference to decide candidate relays, which greedily forwards data packets to the nodes with lower depth towards the surface sinks. DBR has no consideration for the priority rotation and balancing energy consumed among the nodes but attempts to minimize energy consumption, which causes a shorter network lifetime. In energy-efficient depth-based routing (EEDBR), the route metrics, depth and residual energy, are employed to determinate the forwarders [27]. A set of neighbor nodes with lower depth are selected as candidate forwarders, and then the nodes with high residual energy have short holding time and forward data packets. EEDBR introduces many additional information loads and is faced with a higher maintenance cost because each node need to maintain a neighbor table by periodically sending hello packets.
Balanced energy consumption-based adaptive routing (BEAR) selects forwarders with relatively higher residual energy than those of the average network by mixed routing and cost functions by network sector division [28]. In each transmitting period of the forwarding process, the residual energy and identifying formation of nodes are required for exchange among the nodes for calculating the average remaining energy, which severely increases the network load, whereas the method of transferring the data to sinks either direct or via multi-hop can balance energy consumption. The energy balancing routing protocol (EnOR) [29] chooses the candidate forwarders according to the priority level decided by the remaining energy, link reliability and packet advancement. EnOR can balance the energy consumption of nodes, but it consumes a lot of energy because beacon packets are regularly broadcasted to obtain information from neighbor nodes in the routing process. In [30], the authors propose an opportunistic void avoidance routing protocol (OVAR) to choose the forwarders under packet delivery probability and depth. In order to avoid route voids, the hidden nodes in the forwarders are discarded by the building adjacency graph in each node. The energy and depth variance-based opportunistic void avoidance scheme (EDOVE) [31] selects the forwarding nodes with the maximum residual energy among their one-hop neighbors and more neighbors with a lower depth, to achieve energy balancing and void avoidance. To solve the route void and long detour, the distance-vector-based OR (DVOR) [18] introduces the distance vector by a query mechanism. It records the smallest hop counts toward the sinks, along which the data packet is forwarded hop by hop. It consumes more energy since the shortest hop cannot ensure the shortest transmission distance and it transmits query packets periodically.
In the sparse UASN, a reinforcement learning-based opportunistic routing protocol is proposed to select the forwarding nodes set and cope with the routing void; the nodes in a forwarding set can monitor each other to suppress retransmission and transmission conflicts, reducing the probability of packet loss [32]. Q-learning-based opportunistic routing (QBOR) is studied under the neighbors’ residual energy and PDR [33]. Complex computing and information interact of nodes bring more cost to UASN with limited resources. An Objective Function (OF) is developed that uses fuzzy logic to dynamically adapt to variable environments in wireless networks, taking several metrics into account [34]. However, when multiple metrics are similar, the OF will obtain multiple forwarding nodes, which lead to more repeated forwarding.
As illustrated in Table 2, most communication protocols considered one or two issues still existing many redundant communications, and some protocols also pay no attention to balancing the energy consumption to decrease route void, while it proves our scheme reduces the extra data load to the most extent, and comprehensive optimizes the network performance by lightweight transmission.

3. System Model

3.1. Network Model

We consider a UASN layered model, as shown in Figure 2. The sensor nodes are randomly anchored to the seafloor or floated in the sensing sea area with different depth, and divided into Layer 1, Layer 2, …, Layer n from the bottom to the top according to the depth. The sensor nodes can sense data from the surrounding marine environment and send the data toward the sink by directional transmission or broadcast, its upper valid nodes meeting with forwarding condition forward the data. The sinks are distributed on the sea surface, and can communicate with the sensor nodes by acoustic communication links. Because the propagation loss of acoustic channels increases with the increase in both distance and signal frequency [35], multi-hop transmission is an ideal data transmission mode for long-distance acoustic communication in this paper. The sinks collect the data from sensor nodes, and then transmit them to the edge or cloud sever.
We make some reasonable assumptions about the network model:
(1) Each sensor node can control its transmission power, and own computing power to support different MAC protocols and perform signal processing functions.
(2) Each sensor node has a unique identification and Layer ID, and gets its depth information via its own pressure sensor.
(3) The monitoring energy consumption is much less than the communication energy consumption [36], so the monitoring energy consumption is not considered.
(4) The current directional underwater acoustic transducers and omnidirectional antenna can ensure the transmission [37].

3.2. Energy Consumption Model

Sozer et al. proposed the energy consumption model [36], quantifying energy consumption based on underwater acoustic communication. According to this model, the transmission power of each sensor node over a distance d is calculated as
P t = P 0 A d ,
where P0 is the minimum receiving power of nodes, A(d) is the path loss [35] over the distance d for a signal of frequency f; it can be expressed as
A d = d k α d , α = 10 α f / 10 ,
where k is the energy spreading factor, with k = 1 for cylindrical propagation models, k = 2 denoting spherical propagation models, and k = 1.5 for practical propagation models. And α ( f ) is a frequency-dependent term obtained from the absorption coefficient. According to Thorp’s formula [35], the absorption coefficient in the underwater environment can be expressed as
α f = 0.11 × f 2 1 + f 2 + 44 × f 2 4100 + f + 2.75 × 10 4 f 2 + 0.003 ,
in dB/km for f in kHz.
Then, the energy consumption for a sensor node transmit l bit data over distance d can be expressed as
  E T l , d = P 0 A ( d ) l / ε .
where ε denotes the transmission rate of node, and l / ε is the transmission duration.
The energy consumption for a sensor node receiving a packet of length l can be expressed as
E R l = P r l / ε ,
where Pr is receiving power which depends on the receiving devices.
As a result, the energy consumption is related to the transmission distance and the amount of transmission data. Decreasing the amount of redundancy data can save the energy.

3.3. Ocean Acoustic Velocity Model

We can use the Mackenzie nine-term equation to calculate C at different depths [38]:
C = 1448.96 + 4.591 T + 2.374 × 1 0 4 T 3 5.304 × 1 0 2 T 2 + 1.340 S 35 1.025 × 1 0 2 T S 35 + 1.675 × 1 0 7 D 2 7.139 × 1 0 13 T D 3 ,
where T is the temperature in °C, S is the salinity in ppt, and D is depth in m. The applicable range of (6) is 0 ≤ T ≤ 35 °C, 30 ppt ≤ S ≤ 40 ppt, and 0 ≤ D ≤ 8000 m. We can see that the ocean acoustic velocity is related with the complicated ocean environment facts including temperature, salinity, depth, pressure, and so on. The ocean acoustic velocity C fluctuates according to various depths. As we know, C decreases monotonically with depth in the shallow-sea channels, because the upper ocean is strongly illuminated by the sun. When the depth is greater than 1 km in the deep-sea channels, C increases linearly with depth. At this time, the variance of static pressure almost becomes the only reason for the varying of C with depth [20]. Under the character of C, accordingly, the speed and time of the data transmission also varies with various ocean depths. We can coordinate the delay time with various ocean depths using C.

4. Data Packet Optimization Based on Layered Model

The layered network is used to forward the data packets. In the data packet, the layer ID can assist the forwarding process, which does not need to carry the information of the location or depth anymore. For the purpose of reducing the overhead of the header, the format of the data packet is improved as shown in Figure 3. Sender ID represents the source node ID, Packet ID indicates the serial number of the packet, Layer ID is the order number of the layer about the sending or forwarding node. Sender ID and Packet ID ensure the uniqueness of the data packet. Layer ID is updated hop-by-hop (layer-by-layer). Other fields remain unchanged during the forwarding process. This format reduces the transmission of extra control information. Furthermore, compared with the depth information, the Layer ID occupies fewer bits, and the length of the data packet is shorter. All of these can relieve the problem P1.
Figure 4 compares various control information that the several related routing protocols need to exchange during the communication process. It shows that the types, amount and scale of control information required by the LLF-FR are less than those of the other protocols. The black and white entries indicate various control information that needs to be carried in the header of the data packet, and the colored entries indicate various control packets that the node needs to transmit periodically. It can be clearly seen that compared with other protocols, the LLF-FR proposed in this paper requires very few types of control information (to solve P1), and does not need to exchange control packets (to solve P3), which greatly reduces the amount of information transmitted in the network. It lightens the communication load and the network energy consumption.
In different protocols, some control packages with the same name may have different types of control information, but the number of types is the same. For example, both EnOR and OVAR have control packets named as Beacon packets, but they contain different control information, as shown in Figure 5.

5. Optimum Forwarder Decision with Directional-Omnidirectional Hybrid Mode

LLF-FR further designs the lightweight forwarder scheme to retrench the number of the forwarding node, as well as to balance the energy consumption, including the initial candidate relay node set based on the transmission layered model, the potential forwarding nodes based on the fussy model, the efficient forwarding scheme based on random modeling and the sensors’ directional-omnidirectional hybrid transmission mode. These steps precisely choose the optimum node to forward the data, can effectively cope with P3 and avoid multi-forwarding duplicates. Furthermore, the selection of the relay node set is carried out by local computation in the nodes; neither needs to regularly communicate controlling information to each other, nor do they need to carry the forwarders information in the packet header. Thus, they can also avoid P3. Consequently, the scheme can save energy, balance energy consumption, reduce the risk of data congestion and data conflicts, improve the delivery ratio of data packets and effectively use bandwidth, by the reasonable transmission reduction of control information, extra data copies, and multi-forwarding duplicates.

5.1. Candidate Relay Nodes Based on Layered Transmission

The layered model selects the nodes within the sender’s directional transmission range whose layer IDs are larger than those of the sending nodes, as candidate relay nodes, and, accordingly, pruning the range of forwarding nodes. The set of candidate relay nodes, F c i , is expressed as
F c i = { N o d e   j N | L a y e r N o d e   j > L a y e r N o d e   i ( d i j r ) } ,
where N represents the neighbor nodes of the sending node, and LayerNode j and LayerNode i represent the layer ID of the receiving node and the sending node, respectively. dij is the distance between the receiving node j and the sending node i, r is the transmission range of sending node i. The calculation of dij is unnecessary because of the broadcast character of the sending node. Every Node j that can receive the data packet from Node i satisfies the relation, d i j r . The F c i of the sending nodes decides if a node is a qualified candidate relay node. When Node   j F c i , it is a qualified candidate relay node. If Node j F c i , it will discard the received packets.
Here, to ensure that the nodes located near the boundary of each layer can achieve cross-layer communication, we define the reference relation between the node transmission radius r and the layer height as
r = h L a y e r   i + h L a y e r   i + 1 ,
where hLayer i is the height of Layer i, and hLayer i+1 is the height of Layer i + 1. Figure 2 shows an example of the boundary Node O.
In addition, according to assumption 1, the transmission range of the node can be adjusted by the power control. In this way, if the nodes encounter the void region, the transmission range can be expanded appropriately to explore the forwarding nodes. We can evaluate the number of candidate forwarding nodes for each node. We set the node density of UASN as ρ A , and the volume of the upper candidate region within the directional transmission range of the sending node as Vi. Then, the number of candidate relays of sending nodes can be obtained as N i = ρ A V i . Therefore, we can set suitable ρ A to adjust the number of candidate relays, and adjust the node power to successfully find the forwarder. The forwarding of data packets will fail only if all nodes in the forwarding set are unable to transmit the data packets.

5.2. Fuzzy-Modeling-Based Potential Relay Nodes

It is necessary for designing the optimum forwarding plan to refer to many performance aspects such as the load, energy, energy consumption balance, delay time, etc. and the corresponding metrics. LLF-FR introduces the fuzzy model that can set many metrics to set the priority level of the candidate relay nodes according to the real requirements. When the data arrive at the candidate relay nodes of F c i , the nodes with highest priority are chosen as the potential relay nodes F p i . Each node has many linearly independent metrics. We define the metrics set of Node j  F c i as the linear matrix M j and the normalized vectors matrix as H. Then, the priority of candidate relay node j is calculated by
P r i o r i t y j = α 0 , α 1 , , α k · M j · H 1 = α 0 , α 1 , , α k m 0 m 1 m k γ 0 γ 1   γ k 1 ,
where mi (i = 0, 1, …, k) represents each available metric for Node j, and k is the number of available metrics. γi is the normalized vector corresponding to each metric. We set one normalization vector, because each metric has the same value range no matter which node. αi (i = 0, 1, …, k) represents the coefficient corresponding to each metric mi, which is adaptive and can be adjusted according to the real application.
The metrics in the fuzzy model can be set according to each real case and can satisfy the overall performance requirement. Here, we made a detailed design. In order to balance the energy consumption of each node, we need to set the remaining energy as one metric. Because each node’s energy is almost the same at the beginning, if only using the remaining energy as one metric to calculate the priority, each node will have the same priority and forward the data copies at the same time. We considered the depth as another metric and chose the relay node according to the depth, which can avoid too many nodes in F c i simultaneously forwarding a lot of duplicated data, although this method cannot even out the energy consumption. Therefore, we chose EoEr, the difference between the initial energy Eo and the residual energy Er, as m0 and chose the depth metric as m1. The corresponding energy normalized vectors were defined γ0 = Eo, and γ1 is the depth of the deepest node in Layer 1. The coefficient (α0, α1) is defined as
α 0 , α 1 = + , +           i f   E r < E l o w 1 ,   0       i f   E l o w E r E o 0 ,   1             i f     E 0 λ < E r λ ,
where the residual energy Er = Eom0, Elow is the lowest node energy limitation to transmit data packet, Eo is the initial node energy and λ is the threshold. When the node energy is below Elow, it can hardly send data packets anymore. When the energy of each node is almost equal to Eo, the depth metric will be main factor to select the forwarding node. In the other condition, the node with the biggest Er will forward the data in turns. Thus, we could take turns to choose the candidate relay nodes according to their priority to balance the energy consumption. And we calculated the Priorityj of each Node j  F c i . Finally, we can obtain the fuzzy-based objective function:
O j = min Node j     F c i ( P r i o r i t y j ) ,
where F c i is the candidate relay nodes set of sending node i. According to the above objective function formula, the nodes with the lowest score of Priorityj are further chosen as the potential relay nodes set, F p i .
Algorithm 1 shows the implementation process of F c i , Priorityj, Oj, F p i .
Algorithm 1  F c i , Priorityj, F p i
Input: sensor nodes, sinks, Eo, Er, Layer ID, Depth, Elow, λ, γ1
Output: F c i , Priorityj, F p i
1. while Node j receives the packet Pi do
2.      Obtain the Layer ID of Pi;
3.     if Layer ID of Node j > Layer ID of Pi then
4.       Put Node j into F c i ;
5.    endif
6.    return
7. endwhile
8. for   N o d e  j F c i
9.   Compute Priorityj, Oj by (9)–(11);
10: endfor
11: Choose nodes with lowest Oj into F p i

5.3. Random Modeling

We can obtain fewer forwarding nodes from the potential relay node set F p i by the fuzzy model function Oj. However, when Eo and the depth of several nodes are similar, they will have the same score of Priorityj, and forward the data packets repeatedly, which can also result in redundant transmission. Hence, LLF-FR proposes a random modeling to enhance the priority and coordination of the potential relay nodes. When the data packet arrives at the nodes in F p i , the nodes keep the data packets for short coordination holding (CoH) time. The node with shorter CoH time will participate in forwarding. If a node forwards the data packet successfully, the other nodes in potential relays will receive the information of the data packet successfully forwarded. Thus, they know the transmission of that packet by a node with a shorter CoH time, then stop the forwarding schedule and discard the data copies.
For example, in Figure 6, nodes n2, n3, n4 are in the F p n 0 , and nodes n2 and n4 are in the transmission range of node n3. When node n3 with the shortest CoH time successfully forwards the data packet from node n0, nodes n2 and n4 will discard the same data packet from node n0 and stop forwarding its duplicated packet. This way further reduces the data load and the probability of packet collisions. We defined the CoH time of Node j as
C o H j = μ P r i o r i t y j + η r C + β · r a n d j 0.1 , σ · r c ¯ ,
where μ, η, β indicate the adjustment coefficient, which can be set according to the real situation, and r represents the transmission range of the node. The acoustic velocity C is from (6), and C ¯ is the average sound propagation speed in the ocean (usually set to 1500 m/s). The LLF-FR model introduces C varying with the different ocean depth to the CoH time model, aiming at coordinating the network time-delay. The model adopts a random number rand (0.1, σ) to appropriately adjust the CoH time difference of nodes where σ is a predefined value range and can be defined according to the requirements of the application environment. The random number can prevent other low-priority potential nodes from repeated forwarding if they do not receive the forwarding information from higher-priority node in time. The CoH time difference of any two potential nodes must be more than r/ c ¯ in order to ensure that the low-CoH time nodes in the same potential relays set can hear the forwarding of high-CoH time nodes and give up the extra forwarding, when a node with shortest CoH time forwards the data packets successfully. Our LLF-FR can ensure this condition, the CoH time difference of any two nodes in F p i is more than r/ c ¯ . Appendix A gives the related theorem and proof. Therefore, this way can try to avoid extra forwarding duplicates both from the potential relay nodes in F p i with the same Priorityj and from multiple nodes having similar CoH time, further cut down extra multi-forwarding.
Here, the values of β and the difference r a n d j 0.1 , σ r a n d k 0.1 , σ of any two nodes influence the CoH time. When σ is smaller, r a n d j 0.1 , σ r a n d k 0.1 , σ is also smaller; accordingly, the CoH time and network delay are reduced. There may exist more nodes with the same CoHj repeating the forwarding when σ is smaller. However, the F p i obtained by the fuzzy model ensures fewer potential forwarding, which can make smaller σ possible and avoid too much network delay. If the real communication has higher requirements for time delay, the value of β will be adjusted lower; meanwhile, several forwarding nodes will have similar delay time, forward the data packet at the same time, and cause few extra data packets. If the real communication has higher requirements on channel utilization, the value of β will be larger. At this time, the small time delay will be sacrificed, but the number of multiple forwarding nodes can be reduced as much as possible. This avoids the forwarding of many extra data packets and improve the channel utilization rate.

5.4. Directional-Omnidirectional Hybrid Mode

According to the layered forwarding model, Layer 1 is the lowest layer. Therefore, the nodes of Layer 1 only send the data packets generated by themselves and they do not need to play the role of the relay nodes. However, the nodes in other layers not only send their own data packets, but also forward the data packets from lower layer nodes. To refine the forwarder number and reduce the broadcast storm, the source sensors generating and sending the data packet employ directional transmission (e.g., n0 in Figure 2). In the process of forwarder collaborative competition, only the sensors (e.g., n2 and n4 in Figure 6) in the transmission range of the sensor (e.g., n3 in Figure 6) successfully forwarding the data packet can receive the information and stop its own forwarding schedule. If the successful forwarder uses directional transmission (e.g., n3 in Figure 6), some sensors cannot receive the information successfully forwarding (e.g., n2 in Figure 6), and then continue to forward the needless data copies. Considering the stripped-down number of candidate relay sensors decrease the extent of broadcast storm, we set the omnidirectional transmission for the forwarders to avoid the above case.
So, the source sensor nodes and the forwarding sensor nodes of upper layer (Layer i (i ≥ 2)) run different algorithms. The running of the source sensor nodes is illustrated in Algorithm 2. Algorithm 3 summarizes the transmission details of forwarding sensor nodes. For preventing the packets from the broadcast storm, we set the AP buffer and CP buffer for each node. The AP buffer of the node records the packet ID of the packet that has already been forwarded, and the CP buffer temporarily records the current packets waiting for forwarding. When each node finds that its receiving packet ID has existed in the AP buffer, it indicates that that packet has been forwarded and the node will drop the packet. If the receiving packet has existed in CP buffer, it indicates that the current node has known that the receiving packet has been forwarded by a potential forwarder with the shortest CoH time. Therefore, the packet will be discarded and the Packet ID will be added to the AP buffer. If neither of these conditions are met, the receiving packet will add to the CP buffer, update the Layer ID of the packet header and start a CoH timer according to (12). Once the shortest CoH timer ends, the packet in CP buffer will be forwarded immediately.
Algorithm 2 Data Transmission of Source Sensor Nodes
Input: Eo, r, Layer ID, Depth
Output: action of sensor node
1. while sensor node in Layer i generates Packet Pi do
2.    Broadcasts Packet Pi by directional transmission mode
3. endwhile
Algorithm 3 Data Transmission of Forwarding Nodes
Input: Eo, r, Layer ID, Depth, μ, η, β, C, C ¯ , Priorityj
Output: action of sensor node
1. while sensor Node j in Layer i receives Packet Pi do
2.    if Layer ID of Node j = 1 then
3.      Discards Packet Pj
4.       else
5.     Obtain Packet ID, Layer ID of Pi;
6.      if Node j F c i , then
7.       Look up AP buffer;
8.        if Packet ID of Pi is in AP buffer then
9.         Discard Packet Pi;
10.         else
11.           Update Layer ID in Pi;
12.            Calculate CoHj by (12);
13.            Look up CP buffer;
14.            if Packet ID of Pi is in CP buffer then
15.               Discard Packet Pi and remove Pi ID from CP buffer;
16.            else
17.               Add Packet Pi into CP buffer;
18.            endif
19.               Forward Packet Pi after CoHj ends by onmidirectional mode;
20.           endif
21.       else if N o d e   j F c i  then
22.           Look up CP buffer;
23.           if Pi is in CP buffer, then
24.             Discard Packet Pi and remove Pi ID from CP buffer;
25.           else
26.             Discard Packet Pi;
27.           endif
28.       endif
29.     endif
30. endwhile

6. Simulation Results

6.1. Parameter Setting and Related Definition

This part evaluates the performance of the proposed LLF-FR scheme. We randomly deployed sensor nodes in a cube monitoring region with a length of 1000 m. Several sinks are placed at the region top. We divided the monitoring area into four layers, and the average height of a layer was 250 m. Meanwhile, the LLF-FR was compared with the classical DBR [26], ORD [10], DVOR [18] and Flooding broadcast under the same experimental conditions. For fairness, the main parameters of LLF-FR (including omnidirectional and directional transmission powers, receiving power, data rate, etc.) were set referring to [10,18,26], as shown in Table 3. Elow is the minimum energy required to forward a packet to the node. We set λ as 1% of initial energy. γ0 and γ1 were set according to the value range of the node’s initial energy and the depth of the deepest node in Layer 1, respectively. The simulation makes some definitions as follows:
(1) The network lifetime is defined as running rounds when the nodes with a given proportion die;
(2) The network load is defined as the total number of packets communicated in the network during each period;
(3) The data delivery rate is defined as the ratio of the number of valid packets received by sinks to the number of packets actually sent by each node in the network;
(4) Each sensor node evenly senses and generates the data packet in each round.
In the simulation, we analyzed the set of the node density in order to decrease the void region. If we deployed 60 nodes in a fixed monitoring area, the volume of which is 1 × 3 × 3   = 3 km3, then the node density would be ρ A = 20 /km3. According to Figure 2, the number of candidate relay nodes in the upper region within the transmission range of the sending node O was more than ρ A   0 2 π d ϑ 0 π 3 d φ 0 1 4 r 2 sin φ d r > 2 . Therefore, we can reasonably deploy the node density and ensure that the nodes can find the effective forwarding nodes.

6.2. Simulation Comparison

Figure 7 simulates the network load with different node numbers in the network. LLF-FR has a lower network load than others, because LLF-FR cuts down the redundant communication as much as possible. DBR and DVOR have a higher load than LLF-FR, though the redundant packet control mechanism can reduce the network load to some extent. ORD is the worst because the exchange of control information (for example, location and ACKs) in the network causes redundancy load and a large network load, although it employs directional transmission to control the forwarder number. Moreover, in the coordination of forwarders, directional transmission maybe omits to inform some candidate forwarders so that they still forward extra data copies. LLF-FR employs the reasonable allocation of directional-omnidirectional transmission to avoid the problem and obtains better effects.
Figure 8a–c show the network lifetime when the first sensor node, 30% nodes or 50% nodes exhaust their energy, respectively. LLF-FR outperforms others due to less data load and a more balanced energy consumption. DVOR uses hop count as a metric to select forwarding nodes, without consideration of the energy consumption, which results in a short network lifetime. DBR chooses the relay nodes only based on the depth information; both optimizing and balancing energy consumption are not considered. Hence, the lifetime is worse. As DBR reduces the duplicate forwarding packets, it is better than DVOR. The ORD exchanges a large amount of control information and consumes a lot of energy. However, the ORD considers directional transmission and reduces forwarders, so it has slightly longer network lifetime than DVOR and DBR.
In UASNs, the death of partial nodes may lead to routing void holes in local areas, affecting data monitoring and transmission; therefore, Figure 9 compares the number of dead nodes in the different running rounds where there are 100 nodes in the network. The number of dead nodes in LLF-FR is the lowest with various rounds, since LLF-FR uses the priority rotation of each forwarder to balance the energy consumption of nodes. Furthermore, lightweight load of LLF-FR saves node energy which prevents the nodes from exhausting energy prematurely. DVOR and DBR do not consider node energy optimization, and their use of hop count and depth do not change over time. Therefore, nodes with fewer hops and shallower depths are always selected, resulting in faster deaths. Moreover, DVOR uses an additional beacon mechanism, which requires regularly obtaining hop information from each node through beacon packets, resulting in additional energy consumption. So, DVOR generates more dead nodes. In ORD, nodes always die so fast because of its extensive exchanges of control packets.
For comparing the probability of data conflict and network congestion in the different protocols, Figure 10a–c shows the total forwarding frequency of the packet copies in each node when LLF-FR, DBR, DVOR and Flooding run to different rounds, respectively. The color card on the right of the figures defines the forwarding frequency and color sequence. The color transition varies from blue to red with the order from bottom to top. The color will gradually change from blue to red when the times of the node forwarding packets increase. Starting from the initial running of the network, each time the node forwards one packet, it is dyed in the figure according to the color sequence in the color card. With the increase in the packet forwarding times, the color is deepened according to the color sequence from bottom to top. When the forwarding times grows continuously, the color of the nodes become deeper and deeper. As we can see from the figure, the color of each node in LLF-FR can remain relatively light and even under different rounds. The results indicate that each node has a lower frequency of forwarding data, and the nodes within the same layer have a relatively balanced forwarding frequency in LLF-FR, which is better than the other two protocols. So LLF-FR can better reduce the probability of data conflict and network congestion. DBR only considers depth as the condition for choosing forwarding nodes, and the forwarding frequency of nodes is not balanced; therefore, the color of nodes is darker and unbalanced, as shown in Figure 10. DVOR uses hop count as a measure to select forwarding nodes, but nodes have to update hop count to sink periodically. Therefore, more packet copies are delivered in the network, resulting in a higher forwarding frequency of nodes and thicker color compared with DBR and LLF-FR. The Flooding protocol does not limit the number of forwarding nodes, so more packet copies are transferred in the network, which results in higher forwarding frequency for each node. Consequently, the color of nodes in the Flooding protocol is very dark on the whole, with the poorest performance.
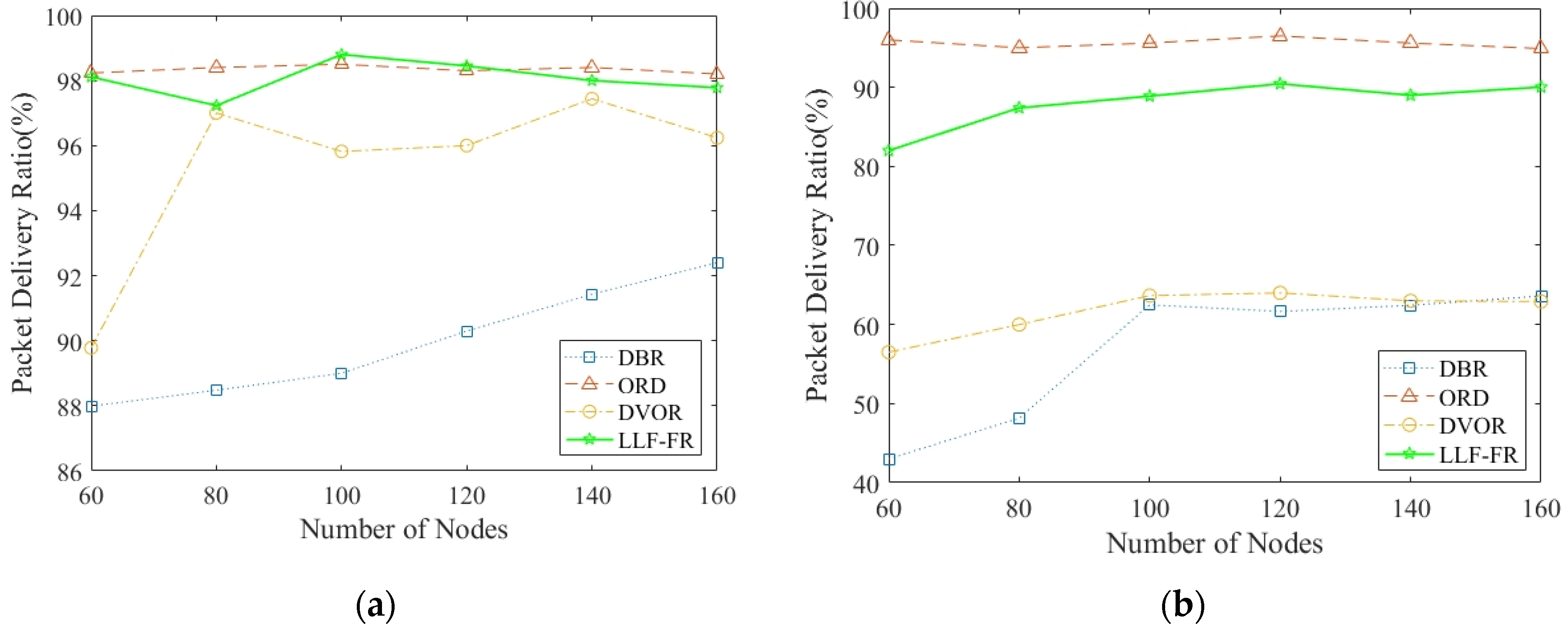
In order to verify the transmission reliability, Figure 11a,b compares the PDR of LLF-FR, ORD, DBR and DVOR when deploying different numbers of nodes, with the proportion of dead nodes being 30%, and 50%, respectively. The PDR using LLF-FR is higher than that of DBR and DVOR, and slightly lower than that of ORD. The reason is that ORD adopts the PDR metric to select the forwarders to improve PDR. But the cost of single directional transmission leading to some extra forwarding and exchanging information can increase network traffic and consume more energy. LLF-FR reduces redundant data transmission, avoiding network congestion and packet loss caused by excessive data in the network. At the same time, its speed of generating dead nodes is much slower than other protocols, decreasing the impact of routing holes on the PDR. Overall, LLF-FR balances the relationship between energy consumption and PDR. As we can see in Figure 11b, due to the large number of dead nodes in the network, the PDR of each protocol decreased. ORD sacrificing energy and its PDR is a little higher; however, the UASN might already not work due to the earlier death of some nodes at that time.
Figure 12 evaluates the energy efficiency and the uniformity of nodes’ energy consumption in LLF-FR by the residual energy of the nodes when the first node, 30% of nodes and 50% of nodes in the network run out energy, respectively. As shown in Figure 12, the local remaining energy is similar and balanced, and the remaining energy of the nodes in the lower layer is higher than that of the nodes in the upper layer at the same time. The reason is that the optimum forwarding node is chosen in the local layer in terms of the fairness of the local layer. Therefore, we are going to consider the heterogeneous network according to the network communication load or other methods in order to further balance the global energy and solve the global uniformity of energy consumed in the network.

7. Conclusions

This paper analyzed the characteristics of underwater acoustic communication and the focus of existing mainstream studies, and summarized three sources of redundant communication impacting the UASN comprehensive network performances, which presents a basis for studying better data-transmission protocols. And then LLF-FR optimization of the network overhead was designed by solving the three sources to suppress the extra data load. LLF-FR optimized the header controlling information and the length of the data packet, based on the layered network model, to refine the data load in the data transmission. The number of forwarders was cut down step-by-step by the candidate relay-nodes set, the fuzzy model, and the random model. Different from the single transmission mode, the reasonable allocation of the directional-omnidirectional transmission mode decides the optimum forwarding node with which to transfer data packet and efficiently limits the forwarding copies. Meanwhile, the defined forwarding models can take turns to choose the forwarder, which ensures the balancing load and an even energy consumption. The time delay was also coordinated considering the impact of the marine acoustic velocity in the random modeling. In addition, the selection of forwarding nodes was carried out by the local computation in nodes, avoiding the regular exchange of abundant controlling information. Therefore, LLF-FR strictly restricted redundant communication in UASN and the simulation results demonstrate that LLF-FR effectively limits redundant information, improves energy efficiency, balances energy consumption, prolongs the network lifetime, reduces data conflict and data jam, and increases the packet delivery ratio compared with other protocols. It can greatly enhance the comprehensive performances of UASNs.

Author Contributions

J.C. and J.D. conceived and designed the whole procedure of this paper; J.C. contributed to the introduction, system model sections and manuscript writing. J.L., H.L. and H.C. performed and analyzed the computer simulation results, and drew partial figures; J.D. reviewed and amended the writing. All authors have read and agreed to the published version of the manuscript.

Funding

This research was supported by Department of Science & Technology of Shandong Province through the Natural Science Foundation of Shandong Province under Grand ZR2022MF299.

Institutional Review Board Statement

Not applicable.

Informed Consent Statement

Not applicable.

Data Availability Statement

Not Applicable.

Conflicts of Interest

The authors declare no conflict of interest.

Appendix A

Theorem A1. 
According to (A1), we can obtain the difference of any two nodes CoHj and CoHk in F p i , ΔCoHjk satisfies
| Δ C o H j k | r c ¯
where CoHj and CoHk, respectively, represent the CoH time of any two nodes in F p i .
Proof of Theorem A1. From (A2), we can obtain
| Δ C o H j k | = μ P r i o r i t y j + η r C + β · r a n d j 0.1 , σ · r C ¯ ( μ P r i o r i t y k + η r C + β · r a n d k 0.1 , σ r C ¯ ) .
When multiple receiving nodes have similar P r i o r i t y j and the same η r C , there is
| Δ C o H j k | = β · r a n d j 0.1 , σ r a n d k 0.1 , σ · r C ¯
Then,
β r a n d j r a n d k = 0 ,               r a n d j = r a n d k β r a n d j r a n d k 1 ,             r a n d j r a n d k ( when β 10 )
Hence, we can obtain
  | Δ C o H j k | = 0 ,       r a n d j 0.1 , σ = r a n d k 0.1 , σ   | Δ C o H j k | r c ¯ ,       r a n d j 0.1 , σ r a n d k 0.1 , σ .

References

  1. Wang, H.; Huang, Y.; Luo, F.; Yang, L. Multi-Node Joint Power Allocation Algorithm Based on Hierarchical Game Learning in Underwater Acoustic Sensor Networks. Remote Sens. 2022, 14, 6215. [Google Scholar] [CrossRef]
  2. Wang, Q.; Li, J.; Qi, Q.; Zhou, P.; Wu, D.O. A game-theoretic routing protocol for 3-D underwater acoustic sensor networks. IEEE Internet Things J. 2020, 7, 9846–9857. [Google Scholar] [CrossRef]
  3. Zhang, W.; Zhuang, P.; Sun, H.H.; Li, G.; Kwong, S.; Li, C. Underwater Image Enhancement via Minimal Color Loss and Locally Adaptive Contrast Enhancement. IEEE Trans. Image Process. 2022, 31, 3997–4010. [Google Scholar] [CrossRef] [PubMed]
  4. Pompili, D.; Akyildiz, I.F. Overview of networking protocols for underwater wireless communications. IEEE Commun. Mag. 2009, 47, 97–102. [Google Scholar] [CrossRef]
  5. Lou, J.; Chen, Y.; Wu, M.; Yang, Y. A survey of routing protocols for underwater wireless sensor networks. IEEE Commun. Surv. Tutor. 2021, 23, 137–160. [Google Scholar]
  6. Zhang, W.; Jin, S.; Zhuang, P.; Liang, Z.; Li, C. Underwater Image Enhancement via Piecewise Color Correction and Dual Prior Optimized Contrast Enhancement. IEEE Signal Process. Lett. 2023, 30, 229–233. [Google Scholar] [CrossRef]
  7. Akyildiz, I.F.; Pompili, D.; Melodia, T. Underwater acoustic sensor networks: Research challenges. Ad Hoc Netw. 2005, 3, 257–279. [Google Scholar] [CrossRef]
  8. Du, J.; Han, G.; Lin, C.; Martínez-García, M. ITrust: An Anomaly-Resilient Trust Model Based on Isolation Forest for Underwater Acoustic Sensor Networks. IEEE Trans. Mob. Comput. 2022, 21, 1684–1696. [Google Scholar] [CrossRef]
  9. Coutinho, R.W.L.; Boukerche, A. OMUS: Efficient Opportunistic Routing in Multi-Modal Underwater Sensor Networks. IEEE Trans. Wirel. Commun. 2021, 20, 5642–5655. [Google Scholar] [CrossRef]
  10. Jiang, J.; Yan, Q.; Han, G.; Wang, H. An Opportunistic Routing based on Directional Transmission in the Internet of Underwater Things. IEEE Internet Things J. 2023, in press. [CrossRef]
  11. Kang, Y.; Su, Y.; Xu, Y. ACGSOR: Adaptive cooperation-based geographic segmented opportunistic routing for underwater acoustic sensor networks. Ad Hoc Netw. 2023, 145, 03158. [Google Scholar] [CrossRef]
  12. Liu, Y.; Wang, H.; Cai, L.; Shen, X.; Zhao, R. Fundamentals and advancements of topology discovery in underwater acoustic sensor networks: A review. IEEE Sens. J. 2021, 21, 21159–21174. [Google Scholar] [CrossRef]
  13. Jin, Z.; Liang, J.; Yin, H.; Hong, Y. Adaptive link quality routing protocol for UASNs with double forwarding modes. Ad Hoc Netw. 2023, 141, 103091. [Google Scholar] [CrossRef]
  14. Liu, Z.; Jin, X.; Yang, Y.; Ma, K.; Guan, X. Energy-Efficient Guiding-Network-Based Routing for Underwater Wireless Sensor Networks. IEEE Internet Things J. 2022, 9, 21702–21711. [Google Scholar] [CrossRef]
  15. Chakchouk, N. A survey on opportunistic routing in wireless communication networks. IEEE Commun. Surv. Tuts. 2015, 17, 2214–2241. [Google Scholar] [CrossRef]
  16. Coutinho, R.W.L.; Boukerche, A.; Vieira, L.F.M.; Loureiro, A.A.F. Geographic and Opportunistic Routing for Underwater Sensor Networks. IEEE Trans. Comput. 2016, 65, 548–561. [Google Scholar] [CrossRef]
  17. Hao, K.; Ding, Y.; Li, C.; Wang, B.; Wang, C. An energy-efficient routing void repair method based on an autonomous underwater vehicle for UASNs. IEEE Sens. J. 2021, 21, 5502–5511. [Google Scholar] [CrossRef]
  18. Guan, Q.; Ji, F.; Liu, Y.; Wu, H.; Chen, W. Distance-vectors-based opportunistic routing for underwater acoustic sensor networks. IEEE Internet Things J. 2019, 6, 3831–3839. [Google Scholar] [CrossRef]
  19. Petroccia, R.; Alves, J.; Zappa, G. JANUS-Based Services for Operationally Relevant Underwater Applications. IEEE J. Ocean. Eng. 2017, 42, 994–1006. [Google Scholar] [CrossRef]
  20. Cao, J.; Wang, L.; Dou, J.; Chu, L.; Qu, C. Objective Function Optimization Based Time-competition Forwarding Strategy in Internet of Marine Things. In Proceedings of the ICCAI, Tianjin, China, 23–26 April 2020. [Google Scholar]
  21. Xie, P.; Cui, J.H.; Lao, L. VBF: Vector-Based Forwarding Protocol for Underwater Sensor Networks. In Proceedings of the International IFIP-TC6 Networking Conference, Coimbra, Portugal, 15–19 May 2006; Volume 3976, pp. 1216–1221. [Google Scholar]
  22. Nicolaou, N.C.; See, A.G.; Xie, P.; Cui, J.H.; Maggiorini, D. Improving the Robustness of Location-Based Routing for Underwater Sensor Networks. In Proceedings of the IEEE OCEANS, Europe, Aberdeen, UK, 18–21 June 2007. [Google Scholar]
  23. Abbas, C.J.; Montandon, R.; Orozco, A.L.; Villalba, L.J. EBVBF: Energy Balanced Vector Based Forwarding Protocol. IEEE Access 2019, 7, 54273–54284. [Google Scholar] [CrossRef]
  24. Coutinho, R.W.; Boukerche, A.; Loureiro, A.A. PCR: A Power Control-based Opportunistic Routing for Underwater Sensor Networks. In Proceedings of the 21st ACM International Conference on Modeling, Analysis and Simulation of Wireless and Mobile Systems, New York, NY, USA, 28 October–2 November 2018. [Google Scholar]
  25. Lee, U.; Wang, P.; Noh, Y.; Vieira, L.F.M.; Gerla, M.; Cui, J. Pressure Routing for Underwater Sensor Networks. In Proceedings of the IEEE INFOCOM, San Diego, CA, USA, 14–19 March 2010. [Google Scholar]
  26. Yan, H.; Shi, Z.J.; Cui, J. DBR: Depth-Based Routing for Underwater Sensor Networks. In Proceedings of the IFIP Networking Conference, Singapore, 5–9 May 2008; pp. 72–86. [Google Scholar]
  27. Wahid, A.; Lee, S.; Jeong, H.J. EEDBR: Energy-Efficient Depth-Based Routing Protocol for Underwater Wireless Sensor Networks. In Proceedings of the International Conference on Advanced Computer Science and Information Technology, Seoul, Republic of Korea, 27–29 September 2011; pp. 223–234. [Google Scholar]
  28. Javaid, N.; Cheema, S.; Akbar, M.; Alrajeh, N.; Alabed, M.S.; Guizani, N. Balanced Energy Consumption Based Adaptive Routing for IoT Enabling Underwater WSNs. IEEE Access 2017, 5, 10040–10051. [Google Scholar] [CrossRef]
  29. Coutinho, R.W.L.; Boukerche, A.; Vieira, L.F.M. EnOR: Energy Balancing Routing Protocol for Underwater Sensor Networks. In Proceedings of the 2017 IEEE International Conference on Communications (ICC), Paris, France, 21–25 May 2017. [Google Scholar]
  30. Ghoreyshi, S.M.; Shahrabi, A.; Boutaleb, T. An Opportunistic Void Avoidance Routing Protocol for Underwater Sensor Networks. In Proceedings of the 2016 IEEE 30th International Conference on Advanced Information Networking and Applications (AINA), Crans-Montana, Switzerland, 23–25 March 2016; pp. 316–323. [Google Scholar]
  31. Safdar, B.; Syed, A.; Kyung-Joon, P. EDOVE: Energy and Depth Variance-Based Opportunistic Void Avoidance Scheme for Underwater Acoustic Sensor Networks. Sensors 2017, 1, 2212–2236. [Google Scholar]
  32. Zhang, Y.; Zhang, Z.; Chen, L.; Wang, X. Reinforcement Learning-Based Opportunistic Routing Protocol for Underwater Acoustic Sensor Networks. IEEE Trans. Veh. Technol. 2021, 70, 2756–2770. [Google Scholar] [CrossRef]
  33. Jin, Z.; Duan, C.; Yang, Q.; Su, Y. Q-learning-based Opportunistic Routing with an On-site Architecture in UASNs. Ad Hoc Netw. 2021, 119, 102553. [Google Scholar] [CrossRef]
  34. Fabian, P.; Rachedi, A.; Gueguen, C.; Lohier, S. Fuzzy-Based Objective Function for Routing Protocol in the Internet of Things. In Proceedings of the 2018 IEEE Global Communications Conference (GLOBECOM), Abu Dhabi, United Arab Emirates, 9–13 December 2018. [Google Scholar]
  35. Brekhovskikh, L.M.; Lysanov, Y.P. Fundamentals of Ocean Acoustics, 3rd ed.; Springer-Verlag: New York, NY, USA, 2003; pp. 1–34. [Google Scholar]
  36. Sozer, E.M.; Stojanovic, M.; Proakis, J.G. Underwater acoustic networks. IEEE J. Ocean. Eng. 2000, 25, 72–83. [Google Scholar] [CrossRef]
  37. Butler, J.L.; Butler, A.L.; Butler, S.C. The modal projector. J. Acoust. Soc. Am. 2011, 129, 1881–1889. [Google Scholar] [CrossRef]
  38. Mackenzie, K.V. Nine-term equation for sound speed in the oceans. J. Acoust. Soc. Am. 1981, 70, 807–812. [Google Scholar] [CrossRef]
Figure 1. UASN remote sensing and ineffective network running example.
Figure 1. UASN remote sensing and ineffective network running example.
Sensors 23 06733 g001
Figure 2. UASN Layered model. Sensor nodes with different depths are divided into Layer 1, Layer 2, …, Layer n from the bottom to the top, which sense and send the data toward the sink by directional transmission or broadcast. The upper valid nodes forward the data.
Figure 2. UASN Layered model. Sensor nodes with different depths are divided into Layer 1, Layer 2, …, Layer n from the bottom to the top, which sense and send the data toward the sink by directional transmission or broadcast. The upper valid nodes forward the data.
Sensors 23 06733 g002
Figure 3. Packet format.
Figure 3. Packet format.
Sensors 23 06733 g003
Figure 4. Control information transmitted for each protocol.
Figure 4. Control information transmitted for each protocol.
Sensors 23 06733 g004
Figure 5. Sample of control package.
Figure 5. Sample of control package.
Sensors 23 06733 g005
Figure 6. Example of effective relay nodes and directional-omnidirectional transmission.
Figure 6. Example of effective relay nodes and directional-omnidirectional transmission.
Sensors 23 06733 g006
Figure 7. Network load with various numbers of nodes in the network.
Figure 7. Network load with various numbers of nodes in the network.
Sensors 23 06733 g007
Figure 8. Network lifetime when (a) the first sensor node, (b) 30% nodes, and (c) 50% nodes exhaust their energy.
Figure 8. Network lifetime when (a) the first sensor node, (b) 30% nodes, and (c) 50% nodes exhaust their energy.
Sensors 23 06733 g008
Figure 9. Number of dead nodes in different rounds.
Figure 9. Number of dead nodes in different rounds.
Sensors 23 06733 g009
Figure 10. (a) Total number of times each node forwarding packet running until the 100th round. (b) Total number of times each node forwarding packet running until the 300th round. (c) Total number of times each node forwarding packet running until the 500th round.
Figure 10. (a) Total number of times each node forwarding packet running until the 100th round. (b) Total number of times each node forwarding packet running until the 300th round. (c) Total number of times each node forwarding packet running until the 500th round.
Sensors 23 06733 g010aSensors 23 06733 g010b
Figure 11. Packet delivery ratio varies with various number of nodes in the network: (a) when 30% nodes are dead; and (b) when 50% nodes are dead.
Figure 11. Packet delivery ratio varies with various number of nodes in the network: (a) when 30% nodes are dead; and (b) when 50% nodes are dead.
Sensors 23 06733 g011
Figure 12. Residual energy distribution of nodes with different numbers of death nodes.
Figure 12. Residual energy distribution of nodes with different numbers of death nodes.
Sensors 23 06733 g012
Table 1. Key parameters used in this paper.
Table 1. Key parameters used in this paper.
ParametersExplanation
hLayer iHeight of Layer i
rTransmission range of node
LayerNode iLayer ID of Node i
dijDistance between receiving node j and sending node i
F c i Candidate relay nodes set
MjMetrics set for Node j F c i
γiNormalized vector corresponding to each metric
HNormalized vector matrix
PriorityjPrior of Node j F c i
F p i Potential forwarding nodes
α, μ, η, β, σAdjustment coefficient
ElowLowest energy limit of node to transmit data packet
λThreshold
ErResidual energy of node
EoInitial energy
CoHjCoordination holding time
COcean acoustic velocity
C ¯ Average speed of sound propagation in the ocean
Table 2. Related Work Summary.
Table 2. Related Work Summary.
ProtocolRoute
Metric
FeatureAddress IssuesAchievements
VBF [21]Location“routing pipe” between sender and destination nodeP3Reduce latency and retransmissions
HH-VBF [22]Location“routing pipe” hop by hopP3Reduce VBF influence of sparse node deployment
GEDAR [16]Location, depthGeographic-info for candidate forwarders, depth-info for route voidP3 Avoid route void
PCR [23]Location, PDRCandidate forwarders under different transmission powersP3 Save energy
ORD [10]Location, azimuth angle, energy, PDRDirectional transmission to AUVP3Improve PDR, transmission latency, and energy consumption
DBR [26]DepthDepth based selecting relays without exchanging of location informationP2, P3Save energy, network load; increase PDR
EEDBR [27]Depth, energyDepth based routing and periodically sending hello packets P3Prolong lifetime compared to DBR
BEAR [28]Energy, identifying Forwarders with higher residual; to sinks through direct or multi-hop P3Balance energy consumed to reduce void route; improve PDR
EnOR [29]Energy,
link reliability
Nodes ordering in routing table P3Balance energy consumed to reduce void route
OVAR [30]PDR, depthAdjacency graph adjusting forwarder count P3Trade-off between packet advancement and route void
EDOVE [31]Energy, depthRelays under neighbors energy and number, normalized depth varianceP3 Energy balancing and void avoidance
DVOR [18]hop countExploit the distance vector to record smallest hop counts toward the sinkP3Avoiding void region and long detour
Table 3. Simulation Parameters.
Table 3. Simulation Parameters.
Parameter ConfigurationQuantity
Transmission Range (r)500 m
Packet size200 bit
Initial energy (E0)200 J
Omnidirectional transmission power1 W
Directional transmission power2 W
Receiving power (Pr)0.75 W
Data rate (ε)10 kps
γ0200 J
γ11000 m
Disclaimer/Publisher’s Note: The statements, opinions and data contained in all publications are solely those of the individual author(s) and contributor(s) and not of MDPI and/or the editor(s). MDPI and/or the editor(s) disclaim responsibility for any injury to people or property resulting from any ideas, methods, instructions or products referred to in the content.

Share and Cite

MDPI and ACS Style

Cao, J.; Dou, J.; Liu, J.; Li, H.; Chen, H. Lightweight Differentiated Transmission Based on Fuzzy and Random Modeling in Underwater Acoustic Sensor Networks. Sensors 2023, 23, 6733. https://doi.org/10.3390/s23156733

AMA Style

Cao J, Dou J, Liu J, Li H, Chen H. Lightweight Differentiated Transmission Based on Fuzzy and Random Modeling in Underwater Acoustic Sensor Networks. Sensors. 2023; 23(15):6733. https://doi.org/10.3390/s23156733

Chicago/Turabian Style

Cao, Jiabao, Jinfeng Dou, Jilong Liu, Hongzhi Li, and Hao Chen. 2023. "Lightweight Differentiated Transmission Based on Fuzzy and Random Modeling in Underwater Acoustic Sensor Networks" Sensors 23, no. 15: 6733. https://doi.org/10.3390/s23156733

APA Style

Cao, J., Dou, J., Liu, J., Li, H., & Chen, H. (2023). Lightweight Differentiated Transmission Based on Fuzzy and Random Modeling in Underwater Acoustic Sensor Networks. Sensors, 23(15), 6733. https://doi.org/10.3390/s23156733

Note that from the first issue of 2016, this journal uses article numbers instead of page numbers. See further details here.

Article Metrics

Back to TopTop