In-the-Wild Affect Analysis of Children with ASD Using Heart Rate
Abstract
1. Introduction
- To the best of our knowledge, this is the first paper that presents a wearable emotion recognition technique using heart rate information as the primary signal from a smart bracelet to classify the emotions of participants with ASD in real time.
- The dataset compiled for this study contains face videos and heart rate data collected in an in-the-wild set-up where the participants interact with an avatar to code a robot.
- A semi-automated heart rate data annotation technique based on facial expression recognition is presented.
- The performance of a raw HR-signal-based emotion classification algorithm is compared with a classification approach based on features extracted from HR signals using discrete wavelet transform.
- The experimental results demonstrate that the proposed method achieves a comparable performance to state-of-the-art HR-based emotion recognition techniques, despite being conducted in an uncontrolled setting rather than a controlled lab environment.
2. Related Work
3. Methods
3.1. Subject Information
3.2. Interaction of Children with Avatar
3.3. Semi-Automated Emotion Annotation Process
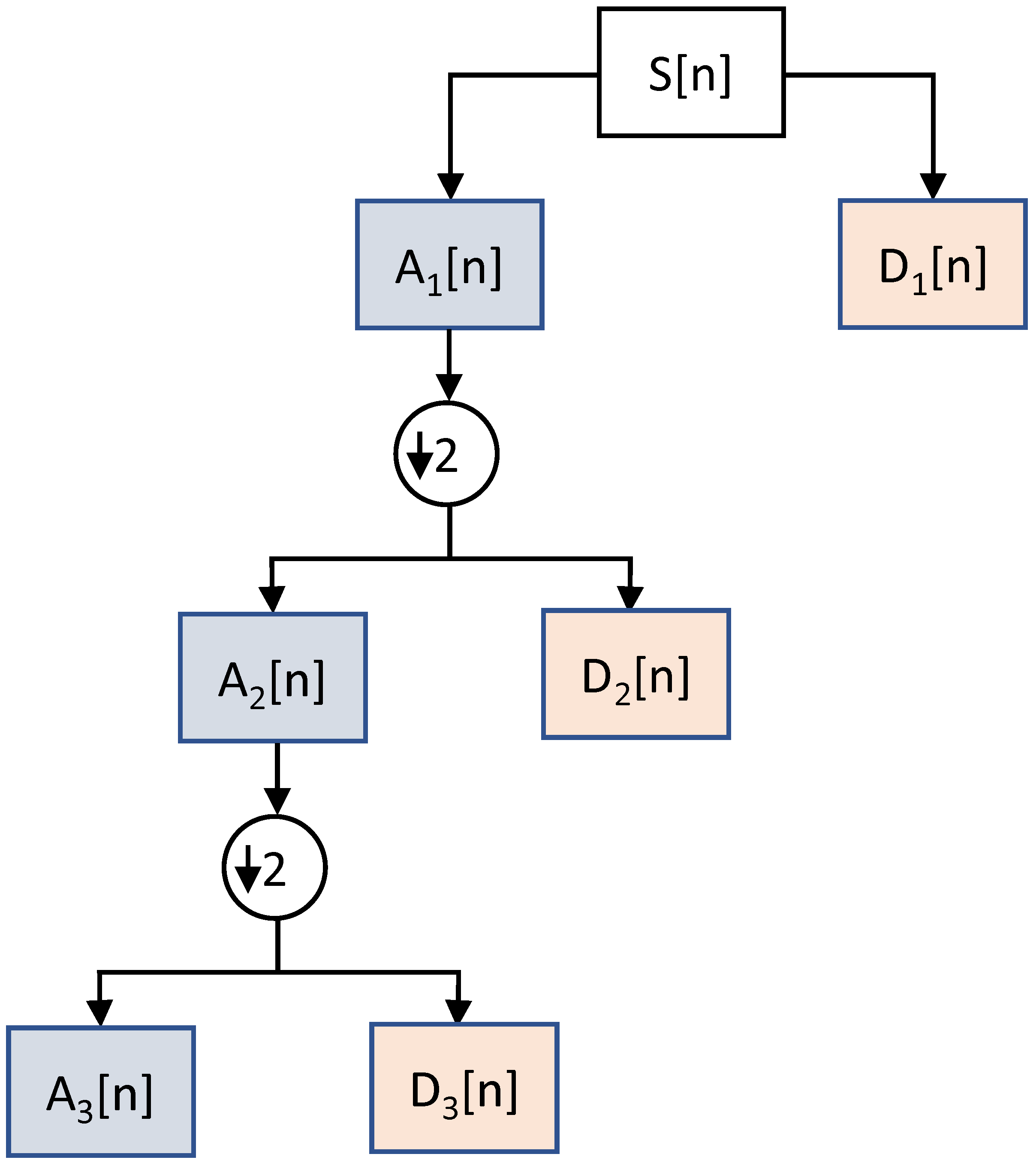
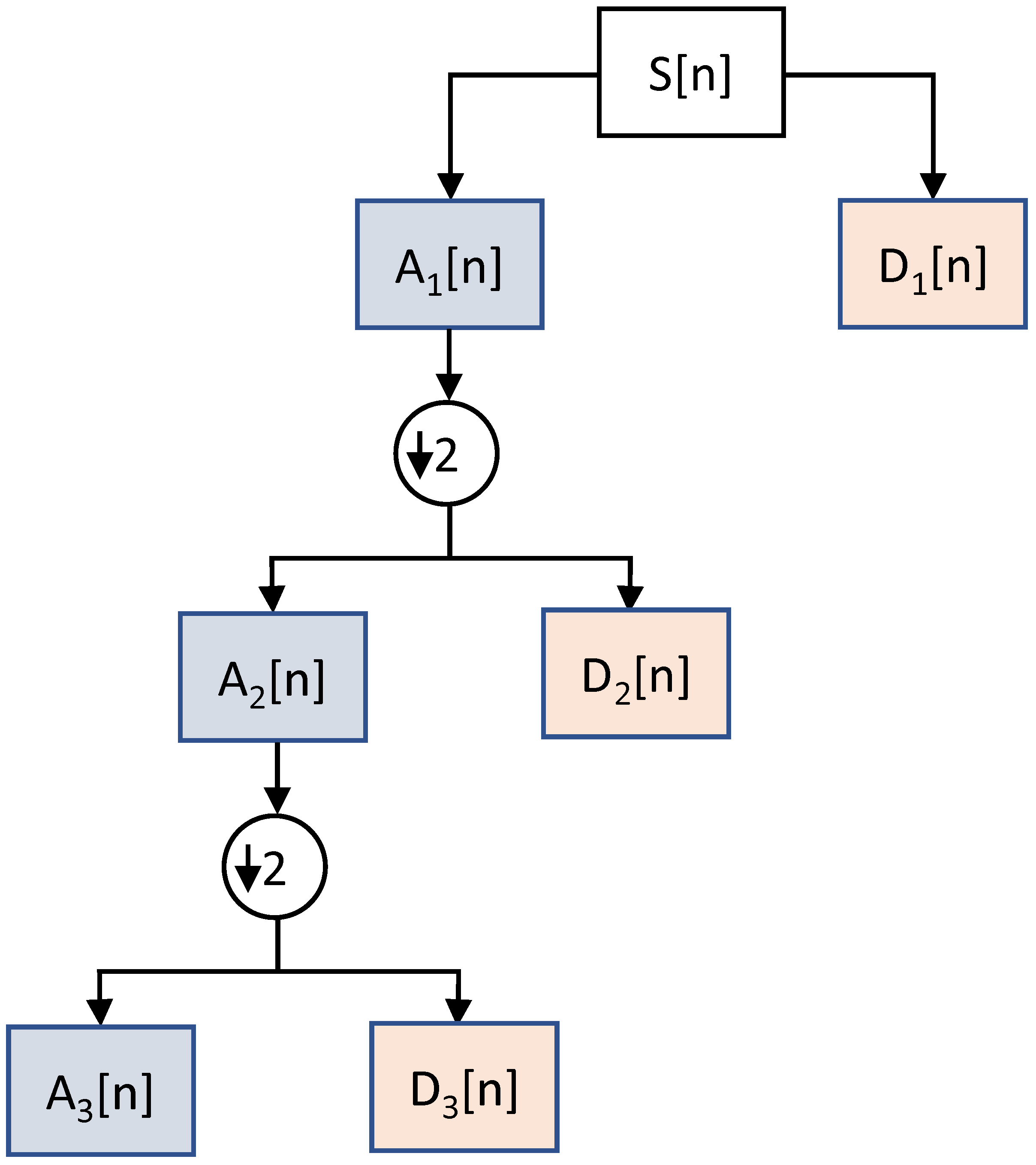
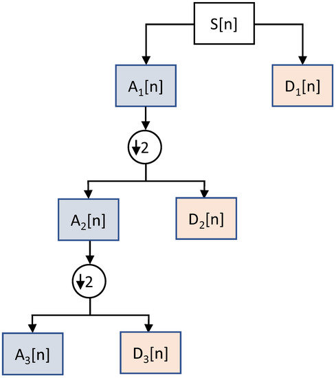
3.4. Feature Extraction
- represents heart rate at time t.
- n corresponds to the length of the time window.
Discrete Wavelet Transform
3.5. Emotion Recognition
4. Results and Discussion
Comparison with Related Studies
5. Conclusions
6. Limitations and Future Work
Author Contributions
Funding
Institutional Review Board Statement
Informed Consent Statement
Data Availability Statement
Acknowledgments
Conflicts of Interest
Abbreviations
| FER | Facial expression recognition |
| HR | Heart rate |
| DWT | Discrete wavelet transform |
| KNN | K-nearest neighbors |
| RF | Random forest |
| SVM | Support vector machine |
References
- Fioriello, F.; Maugeri, A.; D’Alvia, L.; Pittella, E.; Piuzzi, E.; Rizzuto, E.; Del Prete, Z.; Manti, F.; Sogos, C. A wearable heart rate measurement device for children with autism spectrum disorder. Sci. Rep. 2020, 10, 18659. [Google Scholar] [CrossRef] [PubMed]
- Ekman, P. An argument for basic emotions. Cogn. Emot. 1992, 6, 169–200. [Google Scholar] [CrossRef]
- Britton, A.; Shipley, M.; Malik, M.; Hnatkova, K.; Hemingway, H.; Marmot, M. Changes in Heart Rate and Heart Rate Variability Over Time in Middle-Aged Men and Women in the General Population (from the Whitehall II Cohort Study). Am. J. Cardiol. 2007, 100, 524–527. [Google Scholar] [CrossRef] [PubMed]
- Valderas, M.T.; Bolea, J.; Laguna, P.; Vallverdú, M.; Bailón, R. Human emotion recognition using heart rate variability analysis with spectral bands based on respiration. In Proceedings of the International Conference of the IEEE Engineering in Medicine and Biology Society, Milan, Italy, 25–29 August 2015. [Google Scholar]
- Richardson, K.; Coeckelbergh, M.; Wakunuma, K.; Billing, E.; Ziemke, T.; Gomez, P.; Verborght, B.; Belpaeme, T. Robot enhanced therapy for children with Autism (DREAM): A social model of autism. IEEE Technol. Soc. Mag. 2018, 37, 30–39. [Google Scholar] [CrossRef]
- Pennisi, P.; Tonacci, A.; Tartarisco, G.; Billeci, L.; Ruta, L.; Gangemi, S.; Pioggia, G. Autism and social robotics: A systematic review. Autism Res. 2016, 9, 165–183. [Google Scholar] [CrossRef]
- Scassellati, B.; Admoni, H.; Matarić, M. Robots for use in autism research. Ann. Rev. Biomed. Eng. 2012, 14, 275–294. [Google Scholar] [CrossRef]
- Ferari, E.; Robins, B.; Dautenhahn, K. Robot as a social mediator—A play scenario implementation with children with autism. In Proceedings of the International Conference on Interaction Design and Children, Como, Italy, 3–5 June 2009. [Google Scholar]
- Taylor, M.S. Computer programming with preK1st grade students with intellectual disabilities. J. Spec. Educ. 2018, 52, 78–88. [Google Scholar] [CrossRef]
- Taylor, M.S.; Vasquez, E.; Donehower, C. Computer programming with early elementary students with Down syndrome. J. Spec. Educ. Technol. 2017, 32, 149–159. [Google Scholar] [CrossRef]
- Fadhil, T.Z.; Mandeel, A.R. Live Monitoring System for Recognizing Varied Emotions of Autistic Children. In Proceedings of the 2018 International Conference on Advanced Science and Engineering (ICOASE), Duhok, Iraq, 9–11 October 2018; pp. 151–155. [Google Scholar]
- Di Palma, S.; Tonacci, A.; Narzisi, A.; Domenici, C.; Pioggia, G.; Muratori, F.; Billeci, L. Monitoring of autonomic response to sociocognitive tasks during treatment in children with Autism Spectrum Disorders by wearable technologies: A feasibility study. Comput. Biol. Med. 2017, 85, 143–152. [Google Scholar] [CrossRef]
- Liu, C.; Conn, K.; Sarkar, N.; Stone, W. Physiology-based affect recognition for computer-assisted intervention of children with Autism Spectrum Disorder. Int. J. Hum. Comput. Stud. 2008, 66, 662–677. [Google Scholar] [CrossRef]
- Nguyen, N.T.; Nguyen, N.V.; Tran, M.H.T.; Nguyen, B.T. A potential approach for emotion prediction using heart rate signals. In Proceedings of the International Conference on Knowledge and Systems Engineering, Hue, Vietnam, 19–21 October 2017. [Google Scholar]
- Shu, L.; Yu, Y.; Chen, W.; Hua, H.; Li, Q.; Jin, J.; Xu, X. Wearable emotion recognition using heart rate data from a smart bracelet. Sensors 2020, 20, 718. [Google Scholar] [CrossRef] [PubMed]
- Bulagang, A.F.; Mountstephens, J.; Teo, J. Multiclass emotion prediction using heart rate and virtual reality stimuli. J. Big Data 2021, 8, 12. [Google Scholar] [CrossRef]
- Lei, J.; Sala, J.; Jasra, S.K. Identifying correlation between facial expression and heart rate and skin conductance with iMotions biometric platform. J. Emerg. Forensic Sci. Res. 2017, 2, 53–83. [Google Scholar]
- Lowska, A.; Karpus, A.; Zawadzka, T.; Robins, B.; Erol, B.D.; Kose, H.; Zorcec, T.; Cummins, N. Automatic emotion recognition in children with autism: A systematic literature review. Sensors 2022, 22, 1649. [Google Scholar]
- Liu, C.; Conn, K.; Sarkar, N.; Stone, W. Online Affect Detection and Adaptation in Robot Assisted Rehabilitation for Children with Autism. In Proceedings of the RO-MAN 2007—The 16th IEEE International Symposium on Robot and Human Interactive Communication, Jeju, Republic of Korea, 26–29 August 2007; pp. 588–593. [Google Scholar]
- Ali, K.; Hughes, C.E. Facial Expression Recognition By Using a Disentangled Identity-Invariant Expression Representation. In Proceedings of the International Conference on Pattern Recognition, Online, 10–15 January 2020. [Google Scholar]
- Kim, J.H.; Poulose, A.; Han, D.S. The extensive usage of the facial image threshing machine for facial emotion recognition performance. Sensors 2021, 21, 2026. [Google Scholar] [CrossRef] [PubMed]
- Canal, F.Z.; Müller, T.R.; Matias, J.C.; Scotton, G.G.; de Sa Junior, A.R.; Pozzebon, E.; Sobieranski, A.C. A survey on facial emotion recognition techniques: A state-of-the-art literature review. Inf. Sci. 2022, 582, 593–617. [Google Scholar] [CrossRef]
- Karnati, M.; Seal, A.; Bhattacharjee, D.; Yazidi, A.; Krejcar, O. Understanding deep learning techniques for recognition of human emotions using facial expressions: A comprehensive survey. IEEE Trans. Instrum. Meas. 2023, 7, 5006631. [Google Scholar] [CrossRef]
- Kakuba, S.; Poulose, A.; Han, D.S. Deep Learning-Based Speech Emotion Recognition Using Multi-Level Fusion of Concurrent Features. IEEE Access 2022, 10, 125538–125551. [Google Scholar] [CrossRef]
- Yan, Y.; Shen, X. Research on speech emotion recognition based on AA-CBGRU network. Electronics 2022, 11, 1409. [Google Scholar] [CrossRef]
- Lin, W.; Li, C. Review of Studies on Emotion Recognition and Judgment Based on Physiological Signals. Appl. Sci. 2023, 13, 2573. [Google Scholar] [CrossRef]
- Pollreisz, D.; TaheriNejad, N. A simple algorithm for emotion recognition, using physiological signals of a smart watch. In Proceedings of the International Conference of the IEEE Engineering in Medicine and Biology Society, Jeju, Republic of Korea, 11–15 July 2017. [Google Scholar]
- Liu, C.; Conn, K.; Sarkar, N.; Stone, W. Affect recognition in robot-assisted rehabilitation of children with autism spectrum disorder. In Proceedings of the International Conference on Robotics and Automation, Rome, Italy, 10–14 April 2007. [Google Scholar]
- Javed, H.; Jeon, M.; Park, C.H. Adaptive framework for emotional engagement in child-robot interactions for autism interventions. In Proceedings of the International Conference on Ubiquitous Robots, Honolulu, HI, USA, 26–30 June 2018. [Google Scholar]
- Rudovic, O.; Lee, J.; Dai, M.; Schuller, B.; Picard, R.W. Personalized machine learning for robot perception of affect and engagement in autism therapy. Sci. Robot. 2018, 3, eaao6760. [Google Scholar] [CrossRef] [PubMed]
- Pour, A.G.; Taheri, A.; Alemi, M.; Meghdari, A. Human–Robot Facial Expression Reciprocal Interaction Platform: Case Studies on Children with Autism. Soc. Robot. 2018, 10, 179–198. [Google Scholar]
- Del Coco, M.; Leo, M.; Carcagnì, P.; Spagnolo, P.; Mazzeo, P.L.; Bernava, M.; Marino, F.; Pioggia, G.; Distante, C. A Computer Vision Based Approach for Understanding Emotional Involvements in Children with Autism Spectrum Disorders. In Proceedings of the IEEE International Conference on Computer Vision Workshops, Venice, Italy, 22–29 October 2017. [Google Scholar]
- Leo, M.; Del Coco, M.; Carcagni, P.; Distante, C.; Bernava, M.; Pioggia, G.; Palestra, G. Automatic Emotion Recognition in Robot-Children Interaction for ASD Treatment. In Proceedings of the IEEE International Conference on Computer Vision Workshops, Santiago, Chile, 7–15 December 2015. [Google Scholar]
- Silva, V.; Soares, F.; Esteves, J. Mirroring and recognizing emotions through facial expressions for a RoboKind platform. In Proceedings of the IEEE 5th Portuguese Meeting on Bioengineering, Coimbra, Portugal, 16–18 February 2017. [Google Scholar]
- Guo, C.; Zhang, K.; Chen, J.; Xu, R.; Gao, L. Design and application of facial expression analysis system in empathy ability of children with autism spectrum disorder. In Proceedings of the Conference on Computer Science and Intelligence Systems, Online, 2–5 September 2021. [Google Scholar]
- Silva, V.; Soares, F.; Esteves, J.S.; Santos, C.P.; Pereira, A.P. Fostering Emotion Recognition in Children with Autism Spectrum Disorder. Multimodal Technol. Interact. 2021, 5, 57. [Google Scholar] [CrossRef]
- Landowska, A.; Robins, B. Robot Eye Perspective in Perceiving Facial Expressions in Interaction with Children with Autism. In Web, Artificial Intelligence and Network Applications; Barolli, L., Amato, F., Moscato, F., Enokido, T., Takizawa, M., Eds.; Springer International Publishing: Cham, Switzerland, 2020; pp. 1287–1297. [Google Scholar]
- Li, J.; Bhat, A.; Barmaki, R. A Two-stage Multi-Modal Affect Analysis Framework for Children with Autism Spectrum Disorder. arXiv 2021, arXiv:2106.09199. [Google Scholar]
- Grossard, C.; Dapogny, A.; Cohen, D.; Bernheim, S.; Juillet, E.; Hamel, F.; Hun, S.; Bourgeois, J.; Pellerin, H.; Serret, S.; et al. Children with autism spectrum disorder produce more ambiguous and less socially meaningful facial expressions: An experimental study using random forest classifiers. Mol. Autism 2020, 11, 5. [Google Scholar] [CrossRef]
- Marinoiu, E.; Zanfir, M.; Olaru, V.; Sminchisescu, C. 3D Human Sensing, Action and Emotion Recognition in Robot Assisted Therapy of Children with Autism. In Proceedings of the 2018 IEEE/CVF Conference on Computer Vision and Pattern Recognition, Salt Lake City, UT, USA, 18–22 June 2018; pp. 2158–2167. [Google Scholar]
- Santhoshkumar, R.; Kalaiselvi Geetha, M. Emotion Recognition System for Autism Children using Non-verbal Communication. Innov. Technol. Explor. Eng 2019, 8, 159–165. [Google Scholar]
- Sarabadani, S.; Schudlo, L.C.; Samadani, A.; Kushki, A. Physiological Detection of Affective States in Children with Autism Spectrum Disorder. IEEE Trans. Affect. Comput. 2018, 11, 588–600. [Google Scholar] [CrossRef]
- Rusli, N.; Sidek, S.N.; Yusof, H.M.; Ishak, N.I.; Khalid, M.; Dzulkarnain, A.A.A. Implementation of Wavelet Analysis on Thermal Images for Affective States Recognition of Children With Autism Spectrum Disorder. IEEE Access 2020, 8, 120818–120834. [Google Scholar] [CrossRef]
- Mollahosseini, A.; Hasani, B.; Mahoor, M.H. Affectnet: A database for facial expression, valence, and arousal computing in the wild. IEEE Trans. Affect. Comput. 2017, 37, 18–31. [Google Scholar] [CrossRef]
- Castellanos, N.P.; Makarov, V.A. Recovering EEG brain signals: Artifact suppression with wavelet enhanced independent component analysis. J. Neurosci. Methods 2006, 158, 300–312. [Google Scholar] [CrossRef]
- Dimoulas, C.; Kalliris, G.; Papanikolaou, G.; Kalampakas, A. Long-term signal detection, segmentation and summarization using wavelets and fractal dimension: A bioacoustics application in gastrointestinal-motility monitoring. Comput. Biol. Med. 2007, 37, 438–462. [Google Scholar] [CrossRef]
- Lee, G.; Gommers, R.; Waselewski, F.; Wohlfahrt, K.; O’Leary, A. PyWavelets: A Python package for wavelet analysis. Open Source Softw. 2019, 36, 1237. [Google Scholar] [CrossRef]
- Breiman, L. Random forests. Mach. Learn. 2001, 45, 5–32. [Google Scholar] [CrossRef]











| Ref. | Related Work | Signal Type | Subject Number | Stimulation Materials | Performance |
|---|---|---|---|---|---|
| [39] | Grossard et al. | Video | 36 | Imitation of facial expressions of an avatar presented on the screen | Accuracy: 66.43% (neutral, happy, sad, angry) |
| [32] | Coco et al. | Video | 5 | Video | Entropy score: (happiness: 1776, fear: 1574, sadness: 1644) |
| [40] | Marinoiu et al. | Body posture videos | 7 | Robot-assisted therapy sessions | RMSE: (valence: 0.099, arousal: 0.107) |
| [41] | Kumar et al. | Gesture videos | 10 | Unknown | F-Measure: (angry: 95.1%, fear: 99.1%, happy: 95.1%, neutral: 99.5%, sad: 93.7%) |
| [28] | Liu et al. | Skin conductance | 4 | Computer tasks | Accuracy: 82% |
| [42] | Sarabadani et al. | Respiration | 15 | Images | Accuracy: (low/positive vs. low/negative: 84.5% and high/positive vs. high negative: 78.1%) |
| [43] | Rusli et al. | Temperature (thermal imaging) | 23 | Video | Accuracy: 88% |
| P1 | P2 | P3 | P4 | P5 | P6 | P7 | P8 | P9 |
|---|---|---|---|---|---|---|---|---|
| 828 s | 846 s | 786 s | 540 s | 660 s | 480 s | 583 s | 611 s | 779 s |
| Features | SVM | RF | KNN |
|---|---|---|---|
| DWT features | 39.8% | 35.7% | 33.4% |
| HR signal | 38.1% | 31.9% | 36.7% |
| Features | Average Precision | Average Recall | F1 Score |
|---|---|---|---|
| DWT features | 0.399 | 0.397 | 0.398 |
| HR signal | 0.382 | 0.381 | 0.381 |
| Author | Participants | Stimuli | Classifer | No. Classes | Accuracy |
|---|---|---|---|---|---|
| Shu et al. [15] | 25 | China Emotional Video Stimuli (CEVS) | Gradient boosting decision tree | 3 | 84% |
| Bulagang et al. [16] | 20 | Virtual reality (VR) 360° videos | SVM, KNN, RF | 4 | 100% for intra-subject and 46.7% for inter-subject |
| Nguyen et al. [14] | 5 | Android application | SVM | 3 | 79% |
| Ours | 9 | Real-time interaction with avatar | SVM, KNN, RF | 3 | 100% for intra-subject and 39.8% for inter-subject |
Disclaimer/Publisher’s Note: The statements, opinions and data contained in all publications are solely those of the individual author(s) and contributor(s) and not of MDPI and/or the editor(s). MDPI and/or the editor(s) disclaim responsibility for any injury to people or property resulting from any ideas, methods, instructions or products referred to in the content. |
© 2023 by the authors. Licensee MDPI, Basel, Switzerland. This article is an open access article distributed under the terms and conditions of the Creative Commons Attribution (CC BY) license (https://creativecommons.org/licenses/by/4.0/).
Share and Cite
Ali, K.; Shah, S.; Hughes, C.E. In-the-Wild Affect Analysis of Children with ASD Using Heart Rate. Sensors 2023, 23, 6572. https://doi.org/10.3390/s23146572
Ali K, Shah S, Hughes CE. In-the-Wild Affect Analysis of Children with ASD Using Heart Rate. Sensors. 2023; 23(14):6572. https://doi.org/10.3390/s23146572
Chicago/Turabian StyleAli, Kamran, Sachin Shah, and Charles E. Hughes. 2023. "In-the-Wild Affect Analysis of Children with ASD Using Heart Rate" Sensors 23, no. 14: 6572. https://doi.org/10.3390/s23146572
APA StyleAli, K., Shah, S., & Hughes, C. E. (2023). In-the-Wild Affect Analysis of Children with ASD Using Heart Rate. Sensors, 23(14), 6572. https://doi.org/10.3390/s23146572

