Correcting On-the-Go Field Measurement–Coordinate Mismatch by Minimizing Nearest Neighbor Difference
Abstract
1. Introduction
2. Materials and Methods
2.1. Correction Method
2.2. Data Acquisition and Processing
2.3. Spatial Measurement Layout
3. Results and Discussion
3.1. Effect of Spatial Measurement Layout on the Nearest Neighbor Differences
3.2. Comparison of Optimization Methods S1 and S2
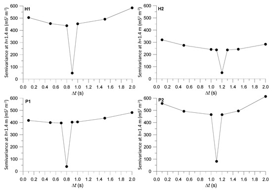
3.3. Inferring the Optimal Time Lag
3.4. Effect of the Coordinate Correction on the Spatial Correlation Structure
3.5. Corrected ECa Maps
4. Conclusions
Author Contributions
Funding
Data Availability Statement
Acknowledgments
Conflicts of Interest
References
- Schmidt, A.; Dabas, M.; Sarris, A. Dreaming of perfect data: Characterizing noise in archaeo-geophysical measurements. Geosciences 2020, 10, 382. [Google Scholar] [CrossRef]
- Robinson, T.P.; Metternicht, G. Comparing the performance of techniques to improve the quality of yield maps. Agric. Syst. 2005, 85, 19–41. [Google Scholar] [CrossRef]
- Sudduth, K.A.; Drummond, S.T.; Myers, D.B. Yield Editor 2.0: Software for Automated Removal of Yield Map Errors; Paper No. 121338243; American Society of Agricultural and Biological Engineers Annual International Meeting: Dallas, TX, USA, 2012. [Google Scholar]
- Lyle, G.; Bryan, B.A.; Ostendorf, B. Post-processing methods to eliminate erroneous grain yield measurements: Review and directions for future development. Precis. Agric. 2014, 15, 377–402. [Google Scholar] [CrossRef]
- Leroux, C.; Jones, H.; Clenet, A.; Dreux, B.; Becu, M.; Tisseyre, B. A general method to filter out defective spatial observations from yield mapping datasets. Precis. Agric. 2018, 19, 789–808. [Google Scholar] [CrossRef]
- Lee, D.H.; Sudduth, K.A.; Drummond, S.T.; Chung, S.O.; Myers, D.B. Automated yield map delay identification using phase correlation methodology. Trans. ASABE 2012, 55, 743–752. [Google Scholar] [CrossRef]
- Rudolph, S.; Marchant, B.P.; Weihermüller, L.; Vereecken, H. Assessment of the position accuracy of a single-frequency GPS receiver designed for electromagnetic induction surveys. Precis. Agric. 2019, 20, 19–39. [Google Scholar] [CrossRef]
- Gottfried, T.; Auerswald, K.; Ostler, U. Kinematic correction for a spatial offset between sensor and position data in on-the-go sensor applications. Comput. Electron. Agric. 2012, 84, 76–84. [Google Scholar] [CrossRef]
- Delefortrie, S.; Saey, T.; De Pue, J.; Van De Vijver, E.; De Smedt, P.; Van Meirvenne, M. Evaluating corrections for a horizontal offset between sensor and position data for surveys on land. Precis. Agric. 2016, 17, 349–364. [Google Scholar] [CrossRef]
- Lee, W.; Lee, M.; Sunwoo, M.; Jo, K. Fast Online Coordinate Correction of a Multi-Sensor for Object Identification in Autonomous Vehicles. Sensors 2019, 19, 2006. [Google Scholar] [CrossRef] [PubMed]
- R Core Team. R: A Language and Environment for Statistical Computing; R Foundation for Statistical Computing: Vienna, Austria; Available online: www.R-project.org (accessed on 14 February 2022).
- Doolittle, J.A.; Brevik, E.C. The use of electromagnetic induction techniques in soils studies. Geoderma 2014, 223, 33–45. [Google Scholar] [CrossRef]
- Moreno, F.; Martín, J.; Mudarra, J.L. A soil sequence in the natural and reclaimed marshes of the Guadalquivir river, Seville (Spain). Catena 1981, 8, 201–211. [Google Scholar] [CrossRef][Green Version]
- Saey, T.; Simpson, V.H.; Cockx, L.; Van Meirvenne, M. Comparing the EM38DD and DUALEM-21S sensors for depth-to-clay mapping. Soil Sci. Soc. Am. J. 2009, 73, 7–12. [Google Scholar] [CrossRef]
- Pedrera-Parrilla, A.; Van De Vijver, E.; Van Meirvenne, M.; Espejo-Pérez, A.J.; Giráldez, J.V.; Vanderlinden, K. Apparent electrical conductivity measurements in an olive orchard under wet and dry soil conditions: Significance for clay and soil water content mapping. Precis. Agric. 2016, 17, 531–545. [Google Scholar] [CrossRef]
- Triantafilis, J.; Monteiro Santos, F.A. Electromagnetic conductivity imaging (EMCI) of soil using a DUALEM-421 and inversion modelling software (EM4Soil). Geoderma 2013, 211–212, 28–38. [Google Scholar] [CrossRef]
- McLachlan, P.; Blanchy, G.; Binley, A. EMagPy: Open-source standalone software for processing, forward modeling and inversion of electromagnetic induction data. Comput. Geosci. 2021, 146, 104561. [Google Scholar] [CrossRef]








| Combination of Data Sets | A | C | A + B | A + B + C |
|---|---|---|---|---|
| n | 42,100 | 16,700 | 48,000 | 64,700 |
| 〈v〉 | 9.1 | 14.2 | 8.8 | 9.9 |
| p | 7.0 | 9.4 | 6.4 | |
| d | 0.19 | 0.11 | 0.22 | 0.30 |
| 〈ECa〉 P1 | 147.7 | 152.2 | 145.5 | 149.2 |
| 〈ECa〉 H1 | 347.9 | 357.4 | 344.2 | 350.8 |
| 〈ECa〉 P2 | 344.9 | 354.9 | 341.0 | 348.1 |
| 〈ECa〉 H2 | 463.3 | 474.6 | 459.9 | 466.8 |
| CV P1 | 38.0 | 26.8 | 37.3 | 35.3 |
| CV H1 | 23.7 | 18.5 | 23.3 | 22.7 |
| CV P2 | 25.4 | 21.1 | 25.1 | 24.8 |
| CV H2 | 16.2 | 13.5 | 16.0 | 15.9 |
| A | C | A + B | A + B + C | |||||
|---|---|---|---|---|---|---|---|---|
| S1 | S2 | S1 | S2 | S1 | S2 | S1 | S2 | |
| H1 Δt (s) | 0.25 | 1.02 | 0.42 | 0.85 | 0.91 | 0.92 | 0.92 | 0.92 |
| P1 Δt (s) | 0.64 | 0.81 | 0.24 | 0.82 | 0.80 | 0.80 | 0.84 | 0.87 |
| H2 Δt (s) | 0.46 | 1.31 | 1.80 | 1.04 | 1.29 | 1.30 | 1.28 | 1.26 |
| P2 Δt (s) | 0.71 | 1.24 | 1.23 | 1.01 | 1.08 | 1.13 | 1.10 | 1.08 |
| H1 〈Δs〉 (m) | 0.63 | 2.58 | 1.66 | 3.35 | 2.23 | 2.25 | 2.53 | 2.53 |
| P1 〈Δs〉 (m) | 1.62 | 2.05 | 0.95 | 3.23 | 1.96 | 1.96 | 2.31 | 2.39 |
| H2 〈Δs〉 (m) | 1.16 | 3.31 | 7.10 | 4.10 | 3.16 | 3.18 | 3.52 | 3.47 |
| P2 〈Δs〉 (m) | 1.80 | 3.14 | 4.85 | 3.98 | 2.64 | 2.77 | 3.03 | 2.97 |
Publisher’s Note: MDPI stays neutral with regard to jurisdictional claims in published maps and institutional affiliations. |
© 2022 by the authors. Licensee MDPI, Basel, Switzerland. This article is an open access article distributed under the terms and conditions of the Creative Commons Attribution (CC BY) license (https://creativecommons.org/licenses/by/4.0/).
Share and Cite
González Jiménez, A.; Pachepsky, Y.; Gómez Flores, J.L.; Ramos Rodríguez, M.; Vanderlinden, K. Correcting On-the-Go Field Measurement–Coordinate Mismatch by Minimizing Nearest Neighbor Difference. Sensors 2022, 22, 1496. https://doi.org/10.3390/s22041496
González Jiménez A, Pachepsky Y, Gómez Flores JL, Ramos Rodríguez M, Vanderlinden K. Correcting On-the-Go Field Measurement–Coordinate Mismatch by Minimizing Nearest Neighbor Difference. Sensors. 2022; 22(4):1496. https://doi.org/10.3390/s22041496
Chicago/Turabian StyleGonzález Jiménez, Alfonso, Yakov Pachepsky, José Luis Gómez Flores, Mario Ramos Rodríguez, and Karl Vanderlinden. 2022. "Correcting On-the-Go Field Measurement–Coordinate Mismatch by Minimizing Nearest Neighbor Difference" Sensors 22, no. 4: 1496. https://doi.org/10.3390/s22041496
APA StyleGonzález Jiménez, A., Pachepsky, Y., Gómez Flores, J. L., Ramos Rodríguez, M., & Vanderlinden, K. (2022). Correcting On-the-Go Field Measurement–Coordinate Mismatch by Minimizing Nearest Neighbor Difference. Sensors, 22(4), 1496. https://doi.org/10.3390/s22041496

