Innovative Non-Enzymatic Electrochemical Quantification of Cholesterol
Abstract
1. Introduction
2. Materials and Methods
2.1. Reagents
2.2. Instrumentation and Methods
2.2.1. Detection of Cholesterol in Solution
2.2.2. Detection of Cholesterol in Human Samples
2.2.3. Serum Processing
2.3. Ethical Considerations
3. Results and Discussions
3.1. Cyclic Voltammetry Preliminary Tests
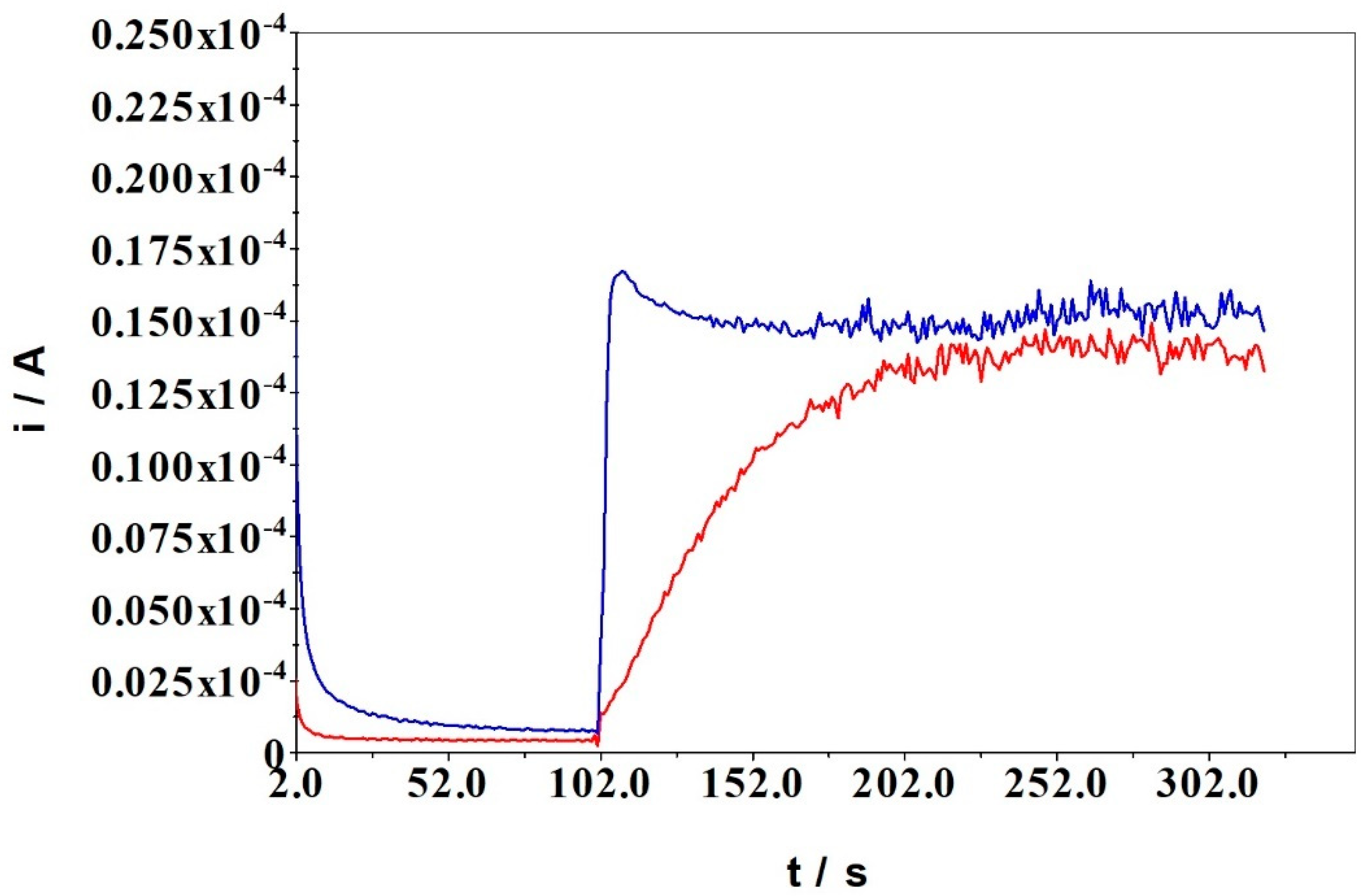
3.2. Amperometric Tests
3.3. Influence of Applied Potential
3.4. Influence of Acid Concentration
3.5. Calibration Curve
3.6. Interferences
3.7. Repeatability of the Method
3.8. Detection of Cholesterol from Serum Samples
4. Conclusions
Author Contributions
Funding
Institutional Review Board Statement
Informed Consent Statement
Conflicts of Interest
References
- Gupta, U.; Singh, V.K.; Kumar, V.; Khajuria, Y. Spectroscopic Studies of Cholesterol: Fourier Transform Infra-Red and Vibrational Frequency Analysis. Mater. Focus 2014, 3, 211–217. [Google Scholar] [CrossRef]
- Burke, R.; Diamondstone, B.; Velapoldi, R.; Menis, O. Mechanisms of the Liebermann-Burchard and Zak color reactions for cholesterol. Clin. Chem. 1974, 20, 794–801. [Google Scholar] [CrossRef]
- Amundson, D.M.; Zhou, M. Fluorometric method for the enzymatic determination of cholesterol. J. Biochem. Biophys. Methods 1999, 38, 43–52. [Google Scholar] [CrossRef]
- Kim, K.-E.; Kim, T.G.; Sung, Y.-M. Fluorescent cholesterol sensing using enzyme-modified CdSe/ZnS quantum dots. J. Nanopart. Res. 2012, 14, 1179. [Google Scholar] [CrossRef]
- Albuquerque, T.G.; Oliveira, M.B.P.; Sanches-Silva, A.; Costa, H.S. Cholesterol determination in foods: Comparison between high performance and ultra-high performance liquid chromatography. Food Chem. 2016, 193, 18–25. [Google Scholar] [CrossRef] [PubMed]
- Kock, R.; Delvoux, B.; Greiling, H. Determination of total cholesterol in serum by liquid chromatography–isotope dilution mass spectrometry. Clin. Chem. 1997, 43, 1896–1903. [Google Scholar] [CrossRef] [PubMed]
- Hansen, H.; Wang, T. Does the Saponification-GC Method Underestimate Total Cholesterol Content in Samples Having Considerable Cholesterol Esters? J. Am. Oil Chem. Soc. 2015, 92, 1735–1738. [Google Scholar] [CrossRef]
- Dzeletovic, S.; Breuer, O.; Lund, E.; Diczfalusy, U. Determination of Cholesterol Oxidation Products in Human Plasma by Isotope Dilution-Mass Spectrometry. Anal. Biochem. 1995, 225, 73–80. [Google Scholar] [CrossRef]
- Lian, K.; Zhang, P.; Wang, W.; Dai, T.; Li, L. Determination of Total Cholesterol in Serum by Gas Chromatography-Mass Spectrometry. Asian J. Chem. 2014, 26, 2646–2648. [Google Scholar] [CrossRef]
- van de Merbel, N.C.; Bronsema, K.J.; van Hout, M.W.; Nilsson, R.; Sillén, H. A validated liquid chromatography–tandem mass spectrometry method for the quantitative determination of 4β-hydroxycholesterol in human plasma. J. Pharm. Biomed. Anal. 2011, 55, 1089–1095. [Google Scholar] [CrossRef]
- Amiri, M.; Arshi, S. An Overview on Electrochemical Determination of Cholesterol. Electroanalysis 2020, 32, 1391–1407. [Google Scholar] [CrossRef]
- Gahlaut, A.; Hooda, V.; Dhull, V.; Hooda, V. Recent approaches to ameliorate selectivity and sensitivity of enzyme based cholesterol biosensors: A review. Artif. Cells Nanomed. Biotechnol. 2018, 46, 472–481. [Google Scholar] [CrossRef]
- Narwal, V.; Deswal, R.; Batra, B.; Kalra, V.; Hooda, R.; Sharma, M.; Rana, J. Cholesterol biosensors: A review. Steroids 2019, 143, 6–17. [Google Scholar] [CrossRef] [PubMed]
- Derina, K.; Korotkova, E.; Barek, J. Non-enzymatic electrochemical approaches to cholesterol determination. J. Pharm. Biomed. Anal. 2020, 191, 113538. [Google Scholar] [CrossRef]
- Arya, S.K.; Datta, M.; Malhotra, B.D. Recent advances in cholesterol biosensor. Biosens. Bioelectron. 2008, 23, 1083–1100. [Google Scholar] [CrossRef] [PubMed]
- Li, Y.; Bai, H.; Liu, Q.; Bao, J.; Han, M.; Dai, Z. A nonenzymatic cholesterol sensor constructed by using porous tubular silver nanoparticles. Biosens. Bioelectron. 2010, 25, 2356–2360. [Google Scholar] [CrossRef] [PubMed]
- Bairagi, P.K.; Verma, N. Electrochemically deposited dendritic poly (methyl orange) nanofilm on metal-carbon-polymer nanocomposite: A novel non-enzymatic electrochemical biosensor for cholesterol. J. Electroanal. Chem. 2018, 814, 134–143. [Google Scholar] [CrossRef]
- Karimi-Maleh, H.; Arotiba, O. Simultaneous determination of cholesterol, ascorbic acid and uric acid as three essential biological compounds at a carbon paste electrode modified with copper oxide decorated reduced graphene oxide nanocomposite and ionic liquid. J. Colloid Interface Sci. 2020, 560, 208–212. [Google Scholar] [CrossRef] [PubMed]
- Rengaraj, A.; Haldorai, Y.; Kwak, C.H.; Ahn, S.; Jeon, K.-J.; Park, S.H.; Han, Y.-K.; Huh, Y.S. Electrodeposition of flower-like nickel oxide on CVD-grown graphene to develop an electrochemical non-enzymatic biosensor. J. Mater. Chem. B 2015, 3, 6301–6309. [Google Scholar] [CrossRef]
- Yang, J.; Lee, H.; Cho, M.; Nam, J.; Lee, Y. Nonenzymatic cholesterol sensor based on spontaneous deposition of platinum nanoparticles on layer-by-layer assembled CNT thin film. Sens. Actuators B Chem. 2012, 171–172, 374–379. [Google Scholar] [CrossRef]
- Görög, S. Quantitative Analysis of Steroids; Elsevier: Amsterdam, The Netherlands, 2012. [Google Scholar]
- Kowalski, J.; Płoszyńska, J.; Sobkowiak, A.; Morzycki, J.W.; Wilczewska, A.Z. Direct electrochemical acetoxylation of cholesterol at the allylic position. J. Electroanal. Chem. 2005, 585, 275–280. [Google Scholar] [CrossRef]
- Morzycki, J.W.; Łotowski, Z.; Siergiejczyk, L.; Wałejko, P.; Witkowski, S.; Kowalski, J.; Płoszyńska, J.; Sobkowiak, A. A selective electrochemical method of glycosylation of 3β-hydroxy-Δ5-steroids. Carbohydr. Res. 2010, 345, 1051–1055. [Google Scholar] [CrossRef] [PubMed]
- Hosokawa, Y.-Y.; Hakamata, H.; Murakami, T.; Aoyagi, S.; Kuroda, M.; Mimaki, Y.; Ito, A.; Morosawa, S.; Kusu, F. Electrochemical oxidation of cholesterol in acetonitrile leads to the formation of cholesta-4,6-dien-3-one. Electrochim. Acta 2009, 54, 6412–6416. [Google Scholar] [CrossRef]
- Xiong, Q.; Wilson, W.K.; Pang, J. The Liebermann–Burchard Reaction: Sulfonation, Desaturation, and Rearrangment of Cholesterol in Acid. Lipids 2007, 42, 87–96. [Google Scholar] [CrossRef] [PubMed]
- Beyer, R.S.; Jensen, L.S. Overestimation of the cholesterol content of eggs. J. Agric. Food Chem. 1989, 37, 917–920. [Google Scholar] [CrossRef]
- Fenton, M. Chromatographic separation of cholesterol in foods. J. Chromatogr. A 1992, 624, 369–388. [Google Scholar] [CrossRef]
- Tonks, D. The estimation of cholesterol in serum:A classification and critical review of methods. Clin. Biochem. 1967, 1, 12–29. [Google Scholar] [CrossRef]
- Bligh, E.G.; Dyer, W.J. A rapid method of total lipid extraction and purification. Can. J. Biochem. Physiol. 1959, 37, 911–917. [Google Scholar] [CrossRef]
- Adu, J.K.; Amengor, C.D.K.; Kabiri, N.; Orman, E.; Patamia, S.A.G.; Okrah, B.K. Validation of a Simple and Robust Liebermann–Burchard Colorimetric Method for the Assay of Cholesterol in Selected Milk Products in Ghana. Int. J. Food Sci. 2019, 2019, 9045938. [Google Scholar] [CrossRef] [PubMed]
- Tanghe, L.J.; Brewer, R.J. Equilibrium between sulfuric and acetylsulfuric acids in acetic acid-acetic anhydride. Anal. Chem. 1968, 40, 350–353. [Google Scholar] [CrossRef]
- Zuman, P. A review of reactions of some sterols in strongly acidic media. Microchem. J. 1991, 43, 10–34. [Google Scholar] [CrossRef]
- Niiya, T.; Goto, Y.; Ono, Y.; Ueda, Y. Study on the correspondence of color change with polyenyl cation formation of cholesterol in strong acids. Chem. Pharm. Bull. 1980, 28, 1747–1761. [Google Scholar] [CrossRef][Green Version]
- Hojo, K.; Hakamata, H.; Ito, A.; Kotani, A.; Furukawa, C.; Hosokawa, Y.-Y.; Kusu, F. Determination of total cholesterol in serum by high-performance liquid chromatography with electrochemical detection. J. Chromatogr. A 2007, 1166, 135–141. [Google Scholar] [CrossRef] [PubMed]
- Khaliq, N.; Rasheed, M.A.; Cha, G.; Khan, M.; Karim, S.; Schmuki, P.; Ali, G. Development of non-enzymatic cholesterol bio-sensor based on TiO2 nanotubes decorated with Cu2O nanoparticles. Sens. Actuators B Chem. 2020, 302, 127200. [Google Scholar] [CrossRef]
- Chiang, W.-H.; Chen, P.-Y.; Nien, P.-C.; Ho, K.-C. Amperometric detection of cholesterol using an indirect electrochemical oxidation method. Steroids 2011, 76, 1535–1540. [Google Scholar] [CrossRef]












| Assays | Mean Response Current (µA) | RSD | |
|---|---|---|---|
| Intra-assay precision | triplicate consecutive determinations of the same concentration | 10.56 | 1.97% |
| Inter-assay precision | 10 determinations from different days | 10.37 | 4.07% |
| Electrode Modification | Detection Technique | Sensitivity | LOD | Linear Range | Ref. |
|---|---|---|---|---|---|
| Porous tubular AgNp/GCE | Amperometry, 0.35 V | - | 1.8 × 10−4 M | 2.8 × 10−4 M–3.3 × 10−2 M | [16] |
| Cu/Ni-carbon nanofiber/poly methyl orange | Chronoamperometry, 0.5 V | 226.30 μA mM−1 cm−2 | 0.002 mg dL−1 | 0.04–600 mg dL−1 | [17] |
| CuO-rGR/(1-methyl-3-octylimidazolium tetrafluoroborate)/CPE | Squarewave voltammetry | 0.0902 μA μM−1 | 9 × 10−9 M | 0.04–300.0 ×10−6 M | [18] |
| NiO/graphene/SiO2/Si | Amperometry | 40.6 mA μM−1 cm−2 | 0.13 ×10−6 M | 2–40 × 10−6 M | [19] |
| PtNP/(CNT)24 bilayer/ITO | Chronoamperometry, 0.7 V | 8.7 μA mM−1 cm−2 | 2.8 × 10−6 M | 0.005–10 ×10−3 M | [20] |
| Cu2O NPs/TNTs | Amperometry, −0.46 V | 6034 μAmM−1 cm−2 | 0.05 × 10−6 M | 24.4–622 ×10−6 M | [35] |
| Pt plate in NaClO4, KBr, DMF | Amperometry, 1.8 V | 200 μAmM−1 cm−2 | 3.2 × 10−6 M | 30–200 × 10−6 M | [36] |
| GCE in chloroform-TBAP, acetic anhydride, H2SO4 | Amperometry, 1.5 V | 14.959 μA mM−1 | 19.78 × 10−9 M | 0.025–3 × 10−3 M | This work |
| Sample Number | Cholesterol Concentration (mg/dL) | Difference (A−B)/B×100 | |
|---|---|---|---|
| Electrochemical Method (A) | Medical Lab Data (B) | ||
| 1a | 140.68 | 156.1 | −9.87 |
| 1b | 150.13 | −3.82 | |
| 2a | 295.69 | 318.2 | −7.07 |
| 2b | 308.94 | −2.91 | |
| 3a | 146.76 | 160.4 | −8.5 |
| 3b | 153.17 | −4.5 | |
| 4a | 204.51 | 221.3 | −7.58 |
| 4b | 208.64 | −5.72 | |
| 5a | 247.06 | 273.4 | −9.63 |
| 5b | 273.99 | 0.21 | |
| 6a | 209.07 | 226.7 | −7.77 |
| 6b | 219.27 | −3.27 | |
| 7a | 213.63 | 223.54 | −8.11 |
| 7b | 221.55 | −5.92 | |
Publisher’s Note: MDPI stays neutral with regard to jurisdictional claims in published maps and institutional affiliations. |
© 2022 by the authors. Licensee MDPI, Basel, Switzerland. This article is an open access article distributed under the terms and conditions of the Creative Commons Attribution (CC BY) license (https://creativecommons.org/licenses/by/4.0/).
Share and Cite
Carp, O.E.; Pinteala, M.; Arvinte, A. Innovative Non-Enzymatic Electrochemical Quantification of Cholesterol. Sensors 2022, 22, 828. https://doi.org/10.3390/s22030828
Carp OE, Pinteala M, Arvinte A. Innovative Non-Enzymatic Electrochemical Quantification of Cholesterol. Sensors. 2022; 22(3):828. https://doi.org/10.3390/s22030828
Chicago/Turabian StyleCarp, Oana Elena, Mariana Pinteala, and Adina Arvinte. 2022. "Innovative Non-Enzymatic Electrochemical Quantification of Cholesterol" Sensors 22, no. 3: 828. https://doi.org/10.3390/s22030828
APA StyleCarp, O. E., Pinteala, M., & Arvinte, A. (2022). Innovative Non-Enzymatic Electrochemical Quantification of Cholesterol. Sensors, 22(3), 828. https://doi.org/10.3390/s22030828

