A Novel Sparse Framework for Angle and Frequency Estimation
Abstract
1. Introduction
- A novel spatial-time sparse sampling architecture is introduced. The proposed framework consists of a coprime linear array and coprime-distributed delayers. Unlike the existing spatial sparse sampling architecture that only samples the signal in the spatial domain, the sparse sampling is not only carried out in the spatial domain, but is also carried out in the time domain. Namely, much less measurements are required in the proposed framework.
- An ESPRIT-like estimator is developed for JAFE from the spatial-time spare measurement. The proposed algorithm first obtains the ambiguous estimates via the uniformity of the space–time subarrays. Thereafter, it determines the unique JAFE by exploiting the coprime characteristic of the subarrays. It can offer a closed-form solution for JAFE, and it defeats the current uniform sampling architectures in terms of estimation accuracy.
- The proposed estimator is analyzed in terms of spatial/temporal aperture, computational complexity, and the theoretical lower bound and numerical simulations corroborate the theoretical advantages.
2. Problem Formulation
3. Joint DOA and Frequency Estimation
3.1. Ambiguous DOA and Frequency Estimation
3.2. Unique DOA and Frequency Determination
4. Schematic Analysis
4.1. Spatial/Temporal Aperture
4.2. Complexity Analysis
4.3. Stability
4.4. Cramér–Rao Bound (CRB)
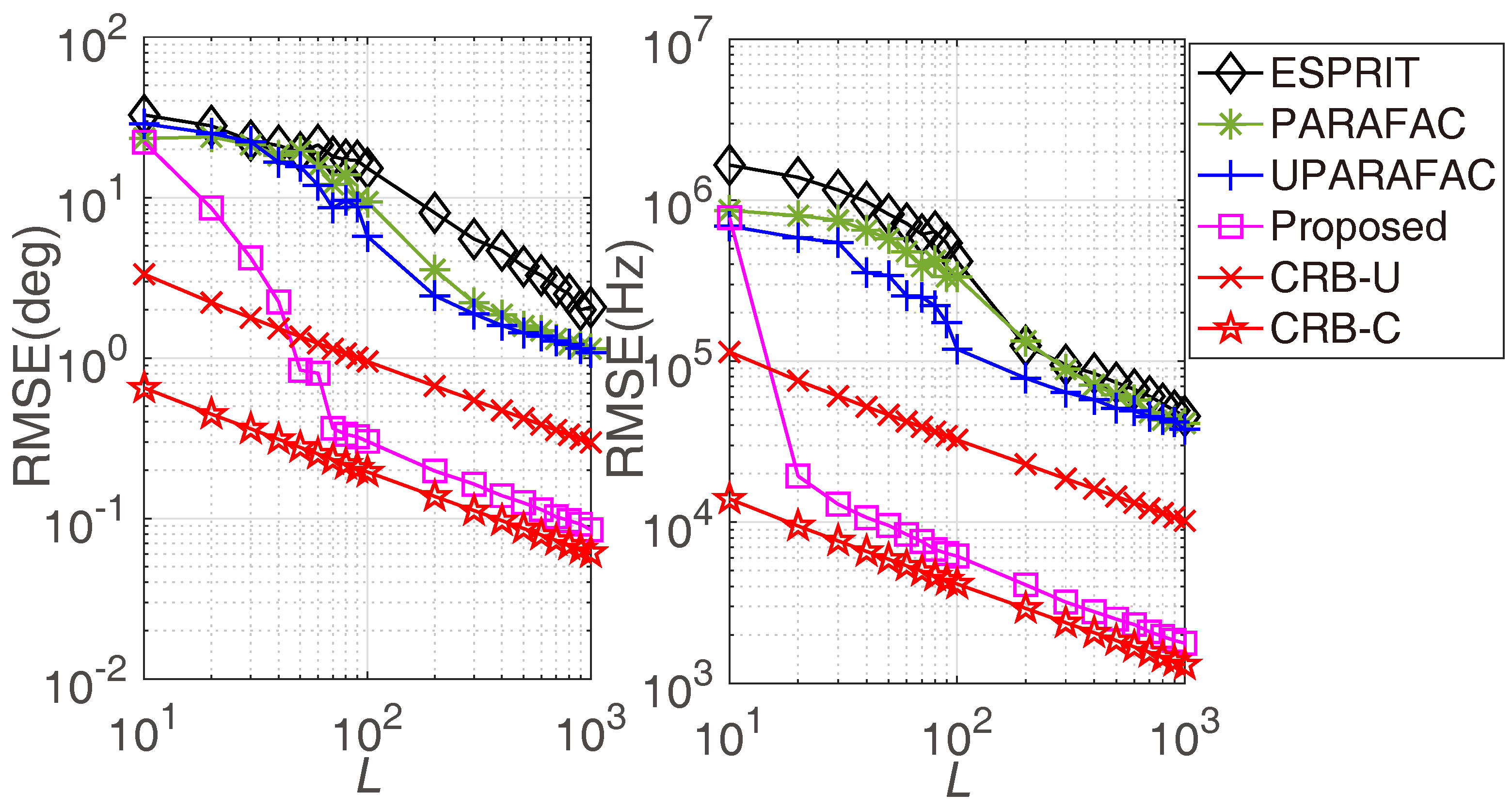
5. Simulation Results
6. Conclusions
Author Contributions
Funding
Institutional Review Board Statement
Informed Consent Statement
Data Availability Statement
Conflicts of Interest
References
- Bongseok, K.; Sangdong, K.; Jonghun, L. A novel DFT-based DOA estimation by a virtual array extension using simple multiplications for FMCW radar. Sensors 2018, 18, 1560. [Google Scholar] [CrossRef]
- Lee, S.; Kim, S.C. Logarithmic-domain array interpolation for improved direction of arrival estimation in automotive radars. Sensors 2019, 19, 2410. [Google Scholar] [CrossRef] [PubMed]
- Hsu, K.C.; Kiang, J.F. Joint estimation of DOA and frequency of multiple sources with orthogonal coprime arrays. Sensors 2019, 19, 335. [Google Scholar] [CrossRef] [PubMed]
- Choi, J. Minimum power multicast beamforming with superposition coding for multiresolution broadcast and application to NOMA systems. IEEE Trans. Commun. 2015, 63, 791–800. [Google Scholar] [CrossRef]
- Chataut, R.; Akl, R. Massive MIMO systems for 5G and beyond networks-overview, recent trends, challenges, and future research direction. Sensors 2020, 20, 2753. [Google Scholar] [CrossRef] [PubMed]
- Shi, H.Y.; Wang, W.L.; Kwok, N.M.; Chen, S.Y. Game theory for wireless sensor networks: A survey direction. Sensors 2012, 12, 9055–9097. [Google Scholar] [CrossRef] [PubMed]
- Ruan, N.; Wang, H.; Wen, F.; Shi, J. DOA estimation in B5G/6G: Trends and challenges. Sensors 2022, 22, 5125. [Google Scholar] [CrossRef] [PubMed]
- Wan, L.; Liu, K.; Zhang, W. Deep learning-aided off-grid channel estimation for millimeter wave cellular systems. IEEE Trans. Wirel. Commun. 2022, 21, 3333–3348. [Google Scholar] [CrossRef]
- Wang, X. Joint angle and frequency estimation using multiple-delay output based on ESPRIT. EURASIP J. Adv. Signal Process. 2010. [Google Scholar] [CrossRef]
- Zhang, X.; Feng, G.; Yu, J.; Xu, D. Angle-frequency estimation using trilinear decomposition of the oversampled output. Wirel. Pers. Commun. 2009, 51, 365–373. [Google Scholar] [CrossRef]
- Xu, L.; Wen, F.; Zhang, X. A novel unitary PARAFAC algorithm for joint DOA and frequency estimation. IEEE Commun. Lett. 2019, 23, 660–663. [Google Scholar] [CrossRef]
- Guo, M.; Zhang, Y.D.; Chen, T. DOA estimation using compressed sparse array. IEEE Trans. Signal Process. 2018, 66, 4133–4146. [Google Scholar] [CrossRef]
- Wen, F.; Gui, G.; Gacanin, H.; Sari, H. Compressive sampling framework for 2D-DOA and polarization estimation in mmWave polarized massive MIMO systems. IEEE Trans. Wirel. Commun. 2022; to appear. [Google Scholar] [CrossRef]
- Pal, P.; Vaidyanathan, P.P. Nested arrays: A novel approach to array processing with enhanced degrees of freedom. IEEE Trans. Signal Process. 2010, 58, 4167–4181. [Google Scholar] [CrossRef]
- Qin, S.; Zhang, Y.D.; Amin, M.G. Generalized coprime array configurations for direction-of-arrival estimation. IEEE Trans. Signal Process. 2015, 63, 1377–1390. [Google Scholar] [CrossRef]
- Wen, F.; Shi, J.; He, J.; Truong, T.K. 2D-DOD and 2D-DOA estimation using sparse L-shaped EMVS-MIMO radar. IEEE Trans. Aerosp. Electron. Syst. 2022; to appear. [Google Scholar] [CrossRef]
- Zhang, Z.; Wei, P.; Zhang, H.; Deng, L. Joint spectrum sensing and DOA estimation with sub-Nyquist sampling. Signal Process. 2021, 189, 108260. [Google Scholar] [CrossRef]
- Jiang, S.; Fu, N.; Wei, Z.; Li, X.; Qiao, L.; Peng, X. Joint spectrum, carrier, and DOA estimation with Beamforming MWC sampling system. IEEE Trans. Instrum. Meas. 2022, 71, 1–15. [Google Scholar] [CrossRef]
- Li, S.; Sun, Z.; Zhang, X.; Chen, W.; Xu, D. Joint DOA and frequency estimation for linear array with compressed sensing PARAFAC framework. J. Circuits Syst. Comput. 2017, 26, 1750136. [Google Scholar] [CrossRef]
- He, J.; Zhang, Z.; Shu, T.; Tang, B.; Yu, W. Joint angle-frequency estimation with spatio-temporal nested sampling. IET Radar Sonar Navig. 2017, 11, 1373–1378. [Google Scholar] [CrossRef]
- Shi, J.; Wen, F.; Liu, Y.; Liu, Z.; Hu, P. Enhanced and generalized coprime array for direction of arrival estimation. IEEE Trans. Aerosp. Electron. Syst. 2022, 1–12. [Google Scholar] [CrossRef]
- Sui, T.; Mo, Y.; Marelli, D.; Sun, X.; Fu, M. The vulnerability of cyber-physical system under stealthy attacks. IEEE Trans. Autom. Control 2021, 66, 637–650. [Google Scholar] [CrossRef]









| Algorithm | Spatial Aperture | Temporal Aperture | Complexity |
|---|---|---|---|
| ESPRIT | |||
| PARAFAC | |||
| UPARAFAC | |||
| Proposed | , | , |
Publisher’s Note: MDPI stays neutral with regard to jurisdictional claims in published maps and institutional affiliations. |
© 2022 by the authors. Licensee MDPI, Basel, Switzerland. This article is an open access article distributed under the terms and conditions of the Creative Commons Attribution (CC BY) license (https://creativecommons.org/licenses/by/4.0/).
Share and Cite
Zhao, G.; Huang, D.; Cai, C.; Wu, P. A Novel Sparse Framework for Angle and Frequency Estimation. Sensors 2022, 22, 8633. https://doi.org/10.3390/s22228633
Zhao G, Huang D, Cai C, Wu P. A Novel Sparse Framework for Angle and Frequency Estimation. Sensors. 2022; 22(22):8633. https://doi.org/10.3390/s22228633
Chicago/Turabian StyleZhao, Guilian, Dongmei Huang, Changxin Cai, and Peng Wu. 2022. "A Novel Sparse Framework for Angle and Frequency Estimation" Sensors 22, no. 22: 8633. https://doi.org/10.3390/s22228633
APA StyleZhao, G., Huang, D., Cai, C., & Wu, P. (2022). A Novel Sparse Framework for Angle and Frequency Estimation. Sensors, 22(22), 8633. https://doi.org/10.3390/s22228633
