Counterfactual Anonymous Quantum Teleportation in the Presence of Adversarial Attacks and Channel Noise
Abstract
1. Introduction
2. Materials and Methods
2.1. Preliminaries
2.1.1. Collision Detection
2.1.2. Notification Protocol
2.1.3. Anonymous Broadcast of Classical Message
- 1
- Every participant in the network receives the message s;
- 2
- The identity of the sender remains hidden from any adversary, i.e., if the adversary has control over t participants, the probability that they can correctly guess the identity of the sender is no more than ;
- 3
- Any malicious behavior against the protocol is discovered.
2.1.4. CQZ Gate
2.2. Counterfactual GHZ State Distribution
2.3. Counterfactual Anonymous Quantum Teleportation (CAQT)
3. Results and Discussion
3.1. Performance Analysis of CAQT in the Presence of Adversaries
3.1.1. Correctness of CAQT
3.1.2. Security of Counterfactual GHZ State
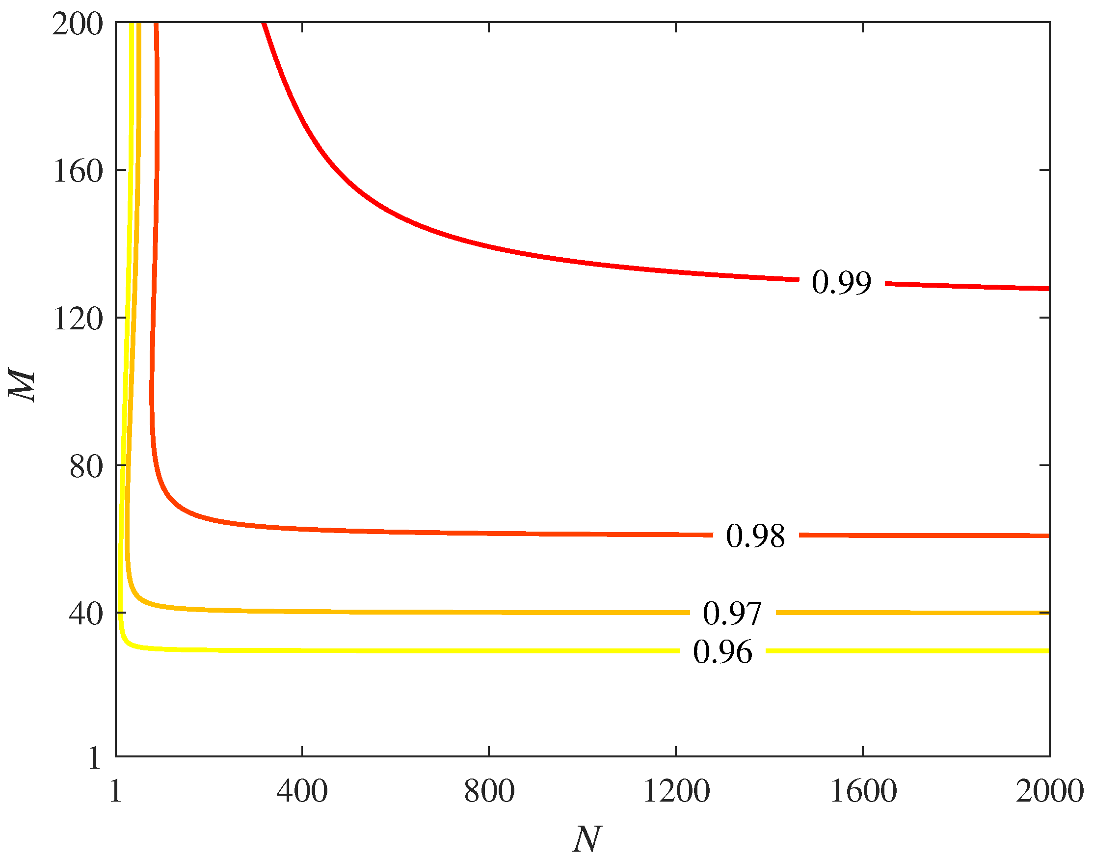
3.1.3. Anonymity of CAQT
- (i)
- Anonymity of the sender;
- (ii)
- Anonymity of the receiver.
3.1.4. Privacy of Teleported Qubit
3.2. Performance Analysis of CAQT under Channel Noise
3.2.1. Comparison with Conventional AQT Protocols under Dephasing Noise
3.2.2. Comparison with Conventional AQT Protocols under Bit-Flip Noise
3.2.3. Comparison with Conventional AQT Protocols under Depolarizing Noise
4. Application of CAQT in IoT Network
5. Conclusions
Author Contributions
Funding
Institutional Review Board Statement
Informed Consent Statement
Data Availability Statement
Conflicts of Interest
Abbreviations
| GHZ | Greenberger–Horne–Zeilinger |
| QZ | Quantum Zeno |
| CQZ | Chained quantum Zeno |
| PBS | Polarizing beam splitter |
| SM | Switchable mirror |
| MR | Mirror |
| OD | Optical delay |
| OC | Optical circulator |
| D | Detector |
| AO | Absorptive object |
| QAO | Quantum absorptive object |
| AQT | Anonymous quantum teleportation |
| CAQT | Counterfactual anonymous quantum teleportation |
References
- Bennett, C.H.; Brassard, G.; Ekert, A.K. Quantum Cryptography. Sci. Am. 1992, 267, 50–57. [Google Scholar] [CrossRef]
- Deng, F.G.; Long, G.L.; Liu, X.S. Two-step Quantum Direct Communication Protocol using the Einstein–Podolsky-Rosen Pair Block. Phys. Rev. A 2003, 68, 042317. [Google Scholar] [CrossRef]
- Gottesman, D. Theory of Quantum Secret Sharing. Phys. Rev. A 2000, 61, 042311. [Google Scholar] [CrossRef]
- Zhou, N.R.; Xu, Q.D.; Du, N.S.; Gong, L.H. Semi-Quantum Private Comparison Protocol of Size Relation with D-Dimensional Bell States. Quantum Inf. Process. 2021, 20, 1–15. [Google Scholar] [CrossRef]
- Chaum, D. The Dining Cryptographers Problem: Unconditional Sender and Recipient Untraceability. J. Cryptol. 1988, 1, 65–75. [Google Scholar] [CrossRef]
- Boykin, P.O. Information Security and Quantum Mechanics: Security of Quantum Protocols; University of California: Los Angeles, CA, USA, 2002. [Google Scholar]
- Christandl, M.; Wehner, S. Quantum Anonymous Transmissions. In Proceedings of the International Conference on the Theory and Application of Cryptology and Information Security, Chennai, India, 4–8 December 2005; Springer: Berlin/Heidelberg, Germany, 2005; pp. 217–235. [Google Scholar]
- Yang, W.; Huang, L.; Song, F. Privacy Preserving Quantum Anonymous Transmission via Entanglement Relay. Sci. Rep. 2016, 6, 1–8. [Google Scholar] [CrossRef]
- Lipinska, V.; Murta, G.; Wehner, S. Anonymous Transmission in a Noisy Quantum Network using the W State. Phys. Rev. A 2018, 98, 052320. [Google Scholar] [CrossRef]
- Li, Y.; Yu, C.; Wang, Q.; Liu, J. Quantum Communication for Sender Anonymity Based on Single-Particle with Collective Detection. Phys. Scr. 2021, 96, 125118. [Google Scholar] [CrossRef]
- Brassard, G.; Broadbent, A.; Fitzsimons, J.; Gambs, S.; Tapp, A. Anonymous Quantum Communication. In Proceedings of the International Conference on the Theory and Application of Cryptology and Information Security, Kuching, Malaysia, 2–6 December 2007; Springer: Berlin/Heidelberg, Germany, 2007; pp. 460–473. [Google Scholar]
- Chen, Z.; Lou, X.; Guo, Y. A Cooperative Quantum Anonymous Transmission with Hybrid Entanglement Swapping. Int. J. Theor. Phys. 2013, 52, 3141–3149. [Google Scholar] [CrossRef]
- Khan, A.; Khalid, U.; ur Rehman, J.; Lee, K.; Shin, H. Quantum Anonymous Collision Detection for Quantum Networks. EPJ Quantum Technol. 2021, 8, 27. [Google Scholar] [CrossRef]
- Khan, A.; ur Rehman, J.; Shin, H. Quantum Anonymous Notification for Network-Based Applications. Quantum Inf. Process. 2021, 20, 397. [Google Scholar] [CrossRef]
- Khan, A.; Khalid, U.; ur Rehman, J.; Shin, H. Quantum Anonymous Private Information Retrieval for Distributed Networks. IEEE Trans. Commun. 2022, 70, 4026–4037. [Google Scholar] [CrossRef]
- Gong, B.; Gao, F.; Cui, W. Anonymous Communication Protocol over Quantum Networks. Quantum Inf. Process. 2022, 21, 1–12. [Google Scholar] [CrossRef]
- Huang, Z.; Joshi, S.K.; Akta, D.; Lupo, C.; Quintavalle, A.Q.; Venkatachalam, N.; Wengerowsky, S.; Neumann, S.P.; Liu, B.; Kling, B.; et al. Experimental Implementation of Secure Anonymous Protocols on an Eight-User Quantum Key Distribution Network. Npj Quantum Inf. 2022, 8, 1–7. [Google Scholar]
- Mishra, S.; Thapliyal, K.; Parakh, A.; Pathak, A. Quantum Anonymous Veto: A Set of New Protocols. EPJ Quantum Technol. 2022, 9, 14. [Google Scholar] [CrossRef]
- Wang, Y.; Li, X.; Han, Y.; Zhang, K. Practical Anonymous Entanglement with Noisy Measurement. Quantum Inf. Process. 2022, 21, 1–17. [Google Scholar] [CrossRef]
- Yang, Y.G.; Cao, G.D.; Huang, R.C.; Gao, S.; Zhou, Y.H.; Shi, W.M.; Xu, G.B. Multiparty Anonymous Quantum Communication without Multipartite Entanglement. Quantum Inf. Process. 2022, 21, 1–21. [Google Scholar] [CrossRef]
- Thalacker, C.; Hahn, F.; de Jong, J.; Pappa, A.; Barz, S. Anonymous and Secret Communication in Quantum Networks. New J. Phys. 2021, 23, 083026. [Google Scholar] [CrossRef]
- Elitzur, A.C.; Vaidman, L. Quantum Mechanical Interaction-free Measurements. Found. Phys. 1993, 23, 987–997. [Google Scholar] [CrossRef]
- Itano, W.M.; Heinzen, D.J.; Bollinger, J.J.; Wineland, D. Quantum Zeno effect. Phys. Rev. A 1990, 41, 2295. [Google Scholar] [CrossRef]
- Salih, H.; Li, Z.H.; Al-Amri, M.; Zubairy, M.S. Protocol for direct counterfactual quantum communication. Phys. Rev. Lett. 2013, 110, 170502. [Google Scholar] [CrossRef]
- Noh, T.G. Counterfactual Quantum Cryptography. Phys. Rev. Lett. 2009, 103, 230501. [Google Scholar] [CrossRef]
- Salih, H.; Hance, J.R.; McCutcheon, W.; Rudolph, T.; Rarity, J. Deterministic Teleportation and Universal Computation without Particle Exchange. arXiv 2020, arXiv:2009.05564. [Google Scholar]
- Salih, H. Protocol for Counterfactually Transporting an Unknown Qubit. Front. Phys. 2016, 3, 94. [Google Scholar] [CrossRef]
- Shenoy, A.; Srikanth, R.; Srinivas, T. Counterfactual Quantum Certificate Authorization. Phys. Rev. A 2014, 89, 052307. [Google Scholar] [CrossRef]
- Hosten, O.; Rakher, M.T.; Barreiro, J.T.; Peters, N.A.; Kwiat, P.G. Counterfactual Quantum Computation through Quantum Interrogation. Nature 2006, 439, 949–952. [Google Scholar] [CrossRef]
- Zaman, F.; Shin, H.; Win, M.Z. Counterfactual Concealed Telecomputation. arXiv 2020, arXiv:2012.04948. [Google Scholar]
- Zaman, F.; Shin, H.; Win, M.Z. Counterfactual Full-Duplex Communication. arXiv 2019, arXiv:1910.03200. [Google Scholar]
- Wang, T.Y.; Wen, Q.Y.; Zhu, F.C. Economical Quantum Anonymous Transmissions. J. Phys. B: At. Mol. Opt. Phys. 2010, 43, 245501. [Google Scholar] [CrossRef]
- Broadbent, A.; Tapp, A. Information-Theoretic Security without an Honest Majority. In Proceedings of the International Conference on the Theory and Application of Cryptology and Information Security, Kuching, Malaysia, 2–6 December 2007; Springer: Berlin/Heidelberg, Germany, 2007; pp. 410–426. [Google Scholar]
- Chen, Y.; Gu, X.; Jiang, D.; Xie, L.; Chen, L. Tripartite Counterfactual Entanglement Distribution. Opt. Express 2015, 23, 21193–21203. [Google Scholar] [CrossRef]
- Kim, Y.S.; Lee, J.C.; Kwon, O.; Kim, Y.H. Protecting Entanglement from Decoherence using Weak Measurement and Quantum Measurement Reversal. Nat. Phys. 2012, 8, 117–120. [Google Scholar] [CrossRef]
- Ullah, M.A.; Paing, S.N.; Shin, H. Noise-Robust Quantum Teleportation with Counterfactual Communication. IEEE Access 2022, 10, 61484–61493. [Google Scholar] [CrossRef]
- Li, Z.H.; Wang, L.; Xu, J.; Yang, Y.; Al-Amri, M.; Zubairy, M.S. Counterfactual Trojan Horse Attack. Phys. Rev. A 2020, 101, 022336. [Google Scholar] [CrossRef]
- Yang, Y.G.; Liu, X.X.; Gao, S.; Zhou, Y.H.; Shi, W.M.; Li, J.; Li, D. Towards Practical Anonymous Quantum Communication: A Measurement-Device-Independent Approach. Phys. Rev. A 2021, 104, 052415. [Google Scholar] [CrossRef]
- Khan, M.A.; Salah, K. IoT Security: Review, Blockchain Solutions, and Open Challenges. Future Gener. Comput. Syst. 2018, 82, 395–411. [Google Scholar] [CrossRef]
- Fernández-Caramés, T.M. From Pre-Quantum to Post-Quantum IoT Security: A Survey on Quantum-Resistant Cryptosystems for the Internet of Things. IEEE Internet Things J. 2020, 7, 6457–6480. [Google Scholar] [CrossRef]
- Liao, C.T.; Bahrani, S.; da Silva, F.F.; Kashefi, E. Benchmarking of Quantum Protocols. Sci. Rep. 2022, 12, 1–13. [Google Scholar] [CrossRef] [PubMed]
- Alvarez, D.; Kim, Y. Survey of the Development of Quantum Cryptography and Its Applications. In Proceedings of the IEEE 11th Annual Computing and Communication Workshop and Conference, Las Vegas, NV, USA, 27–30 January 2021; pp. 1074–1080. [Google Scholar]







| Protocols | GHZ-Based AQT | Relay-Based AQT | Counterfactual GHZ-Based AQT | |
|---|---|---|---|---|
| Initial Resources | Preshared GHZ State | Bell States | Single Photons | |
| Dephasing Noise | Parabolic curve | Nonlinear decrease | Not affected | |
| Fidelity | Bit-flip noise | Parabolic curve | Linear decrease | High-order parabolic curve |
| Depolarizing noise | High-order exponential decrease | Exponential decrease | Saturated at 0.5 | |
| Dephasing Noise | Can provide | Cannot provide at | Can provide | |
| Useful quantum resource | Bit-flip noise | Can provide | Cannot provide at | Can provide |
| Depolarizing noise | Cannot provide at | Cannot provide at | Can provide | |
Publisher’s Note: MDPI stays neutral with regard to jurisdictional claims in published maps and institutional affiliations. |
© 2022 by the authors. Licensee MDPI, Basel, Switzerland. This article is an open access article distributed under the terms and conditions of the Creative Commons Attribution (CC BY) license (https://creativecommons.org/licenses/by/4.0/).
Share and Cite
Nang Paing, S.; Setiawan, J.W.; Tariq, S.; Talha Rahim, M.; Lee, K.; Shin, H. Counterfactual Anonymous Quantum Teleportation in the Presence of Adversarial Attacks and Channel Noise. Sensors 2022, 22, 7587. https://doi.org/10.3390/s22197587
Nang Paing S, Setiawan JW, Tariq S, Talha Rahim M, Lee K, Shin H. Counterfactual Anonymous Quantum Teleportation in the Presence of Adversarial Attacks and Channel Noise. Sensors. 2022; 22(19):7587. https://doi.org/10.3390/s22197587
Chicago/Turabian StyleNang Paing, Saw, Jason William Setiawan, Shehbaz Tariq, Muhammad Talha Rahim, Kyesan Lee, and Hyundong Shin. 2022. "Counterfactual Anonymous Quantum Teleportation in the Presence of Adversarial Attacks and Channel Noise" Sensors 22, no. 19: 7587. https://doi.org/10.3390/s22197587
APA StyleNang Paing, S., Setiawan, J. W., Tariq, S., Talha Rahim, M., Lee, K., & Shin, H. (2022). Counterfactual Anonymous Quantum Teleportation in the Presence of Adversarial Attacks and Channel Noise. Sensors, 22(19), 7587. https://doi.org/10.3390/s22197587

