Investigation of Indoor Air Quality in Residential Buildings by Measuring CO2 Concentration and a Questionnaire Survey
Abstract
1. Introduction
- (i)
- The relationship between combustion heating and indoor concentration.
- (ii)
- The influence of outdoor temperature on indoor concentration.
- (iii)
- The gap between occupants’ awareness of ventilation and the actual IAQ in their homes.
2. Background
2.1. Concentration as an Indicator of IAQ
2.2. In-Home Sensing with IoT Sensors
3. Experimental Design
3.1. Scope of the Investigation
3.2. Research Participants
3.3. Measurements and Questionnaires
4. Results of Field Investigation
4.1. Measurement Results
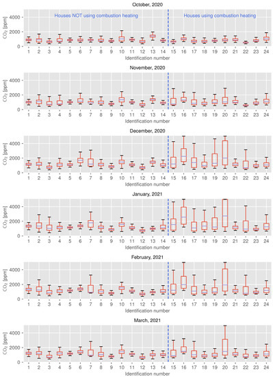
4.1.1. Effect of Combustion Heating Use
4.1.2. Relationship between Concentration and Outdoor Temperature
4.2. Questionnaire Results
5. Discussion
5.1. IAQ Pollution from Combustion Heating
5.2. Influence of Outdoor Temperature on Ventilation
5.3. Gap between Occupants’ Awareness of Ventilation and the Actual IAQ
6. Conclusions
- The concentration increased significantly with the use of combustion heating equipment, resulting in air pollution in the house. This air pollution could be reduced by using non-combustion heating methods such as air conditioners.
- In many houses, mainly apartment complexes, it was found that the concentration tends to increase as the outdoor temperature decreases. This result is presumably due to the fact that the frequency of ventilation, such as window opening, decreases in order to avoid a decrease in indoor temperature in the winter season, when the outdoor temperature decreases.
- The actual IAQ in each house does not match occupants’ awareness of ventilation. In addition to the occupants’ difficulty in perceiving air pollution, the lack of knowledge about the ventilation system and the effects of combustion heating might be additional barrier.
Author Contributions
Funding
Institutional Review Board Statement
Informed Consent Statement
Data Availability Statement
Conflicts of Interest
Appendix A

References
- Klepeis, N.E.; Nelson, W.C.; Ott, W.R.; Robinson, J.P.; Tsang, A.M.; Switzer, P.; Behar, J.V.; Hern, S.C.; Engelmann, W.H. The national human activity pattern survey (NHAPS): A resource for assessing exposure to environmental pollutants. J. Expo. Sci. Environ. Epidemiol. 2001, 11, 231–252. [Google Scholar] [CrossRef] [PubMed]
- Matz, C.J.; Stieb, D.M.; Davis, K.; Egyed, M.; Rose, A.; Chou, B.; Brion, O. Effects of age, season, gender and urban-rural status on time-activity: Canadian Human Activity Pattern Survey 2 (CHAPS 2). Int. J. Environ. Res. Public Health 2014, 11, 2108–2124. [Google Scholar] [CrossRef] [PubMed]
- Statistics of Japan, New Dwellings Started: New Constrution Starts of Dwellings by Owner Occupant Relation. Available online: https://www.e-stat.go.jp/en/stat-search/files?page=1&layout=datalist&toukei=00600120&tstat=000001016966&cycle=7&year=20210&month=0&result_back=1&tclass1val=0 (accessed on 9 September 2022).
- Statistics Bureau, Statistical Handbook of Japan 2021. Available online: https://www.stat.go.jp/english/data/handbook/c0117.html (accessed on 9 September 2022).
- Ramos, N.M.; Almeida, R.M.; Curado, A.; Pereira, P.F.; Manuel, S.; Maia, J. Airtightness and ventilation in a mild climate country rehabilitated social housing buildings–What users want and what they get. Build. Environ. 2015, 92, 97–110. [Google Scholar] [CrossRef]
- Shinohara, N.; Kataoka, T.; Takamine, K.; Gamo, M. Distribution and variability of the 24-h average air exchange rates and interzonal flow rates in 26 Japanese residences in 5 seasons. Atmos. Environ. 2011, 45, 3548–3552. [Google Scholar] [CrossRef]
- World Health Organization. WHO Guidelines for Indoor Air Quality: HOUSEHOLD Fuel Combustion; World Health Organization: Geneva, Switzerland, 2014; pp. 76–81. [Google Scholar]
- Ruiz, P.A.; Toro, C.; Caceres, J.; Lopez, G.; Oyola, P.; Koutrakis, P. Effect of gas and kerosene space heaters on indoor air quality: A study in homes of Santiago, Chile. J. Air Waste Manag. Assoc. 2010, 60, 98–108. [Google Scholar] [CrossRef]
- Hanoune, B.; Carteret, M. Impact of kerosene space heaters on indoor air quality. Chemosphere 2015, 134, 581–587. [Google Scholar] [CrossRef]
- Ritchie, I.M.; Oatman, L.A. Residential air pollution from kerosene heaters. J. Air Pollut. Control Assoc. 1983, 33, 879–881. [Google Scholar] [CrossRef]
- Arashidani, K.; Yoshikawa, M.; Kawamoto, T.; Matsuno, K.; Kayama, F.; Kodama, Y. Indoor pollution from heating. Ind. Health 1996, 34, 205–215. [Google Scholar] [CrossRef]
- Seow, W.J.; Downward, G.S.; Wei, H.; Rothman, N.; Reiss, B.; Xu, J.; Bassig, B.A.; Li, J.; He, J.; Hosgood, H.D.; et al. Indoor concentrations of nitrogen dioxide and sulfur dioxide from burning solid fuels for cooking and heating in Yunnan Province, China. Indoor Air 2015, 26, 776–783. [Google Scholar] [CrossRef]
- Sun, Y.; Hou, J.; Cheng, R.; Sheng, Y.; Zhang, X.; Sundell, J. Indoor air quality, ventilation and their associations with sick building syndrome in Chinese homes. Energy Build. 2019, 197, 112–119. [Google Scholar] [CrossRef]
- Zhang, X.; Li, F.; Zhang, L.; Zhao, Z.; Norback, D. A Longitudinal Study of Sick Building Syndrome (SBS) among Pupils in Relation to SO2, NO2, O3 and PM10 in Schools in China. PLoS ONE 2014, 9, e112933. [Google Scholar] [CrossRef]
- Okushima, S. Understanding regional energy poverty in Japan: A direct measurement approach. Energy Build. 2019, 193, 174–184. [Google Scholar] [CrossRef]
- Yagita, Y.; Iwafune, Y. Residential energy use and energy-saving of older adults: A case from Japan, the fastest-aging country. Energy Res. Soc. Sci. 2021, 75, 102022. [Google Scholar] [CrossRef]
- Farabi-Asl, H.; Chapman, A.; Itaoka, K.; Jalilinasrabady, S.; Bina, S.M. CO2 emission reduction of ground source heat pump system in cold climate of Japan. In Proceedings of the Grand Renewable Energy 2018, Yokohama, Japan, 17–22 June 2018. [Google Scholar]
- Residential Indoor Air Quality Guidelines: Carbon Dioxide. Available online: https://www.canada.ca/en/health-canada/services/publications/healthy-living/residential-indoor-air-quality-guidelines-carbon-dioxide.html (accessed on 10 August 2022).
- Khovalyg, D.; Kazanci, O.B.; Halvorsen, H.; Gundlach, I.; Bahnfleth, W.P.; Toftum, J.; Olesen, B.W. Critical review of standards for indoor thermal environment and air quality. Energy Build. 2019, 213, 109819. [Google Scholar] [CrossRef]
- Scheff, P.A.; Paulius, V.K.; Huang, S.W.; Conroy, L.M. Indoor air quality in a middle school, Part I: Use of CO2 as a tracer for effective ventilation. Appl. Occup. Environ. Hyg. 2000, 15, 824–834. [Google Scholar] [CrossRef] [PubMed]
- Chatzidiakou, L.; Mumovic, D.; Summerfield, A. Is CO2 a good proxy for indoor air quality in classrooms? Part 1: The interrelationships between thermal conditions, CO2 levels, ventilation rates, and selected indoor pollutants. Build. Serv. Eng. Res. Technol. 2015, 36, 129–161. [Google Scholar] [CrossRef]
- Yoshino, H. Housing Performance and Equipment for Healthy Indoor Environment. In Indoor Environmental Quality and Health Risk toward a Healthier Environment for All; Kishi, R., Norbäck, D., Araki, A., Eds.; Springer: Singapore, 2019; pp. 267–281. [Google Scholar]
- ASHRAE. ANSI/ASHRAE Standard 62.1 Ventilation for Acceptable Indoor Air Quality; ASHRAE: Peachtree Corners, GA, USA, 2019. [Google Scholar]
- Myhrvold, A.N.; Olsen, E.; Lauridsen, O. Indoor environment in schools–pupils health and performance in regard to CO2 concentrations. In Proceedings of the 7th International Conference on Indoor Air Quality and Climate, Nagoya, Japan, 21–26 July 1996. [Google Scholar]
- Simoni, M.; Annesi-Maesano, I.; Sigsgaard, T.; Norback, D.; Wieslander, G.; Nystad, W.; Canciani, M.; Sestini, P.; Viegi, G. School air quality related to dry cough, rhinitis and nasal patency in children. Eur. Respir. J. 2010, 35, 742–749. [Google Scholar] [CrossRef]
- Satish, U.; Mendell, M.J.; Shekhar, K.; Hotchi, T.; Sullivan, D.; Streufert, S.; Fisk, W.J. Is CO2 an indoor pollutant? Direct effects of low-to-moderate CO2 concentrations on human decision-making performance. Environ. Health Perspect. 2012, 120, 1671–1677. [Google Scholar] [CrossRef]
- Allen, J.G.; MacNaughton, P.; Satish, U.; Santanam, S.; Vallarino, J.; Spengler, J.D. Associations of cognitive function scores with carbon dioxide, ventilation, and volatile organic compound exposure in office workers: A controlled exposure study of green and conventional office environments. Environ. Health Perspect. 2016, 124, 805–812. [Google Scholar] [CrossRef]
- Strom-Tejsen, P.; Zukowska, D.; Wargocki, P.; Wyon, D.P. The effects of bedroom air quality on sleep and next-day performance. Indoor Air 2016, 26, 679–686. [Google Scholar] [CrossRef]
- Pandian, M.D.; Ott, W.R.; Behar, J.V. Residential air exchange rates for use in indoor air and exposure modeling studies. J. Expo. Anal. Environ. Epidemiol. 1993, 3, 407–416. [Google Scholar]
- Yamamoto, N.; Shendell, D.G.; Winer, A.M.; Zhang, J. Residential air exchange rates in three major US metropolitan areas: Results from the Relationship Among Indoor, Outdoor, and Personal Air Study 1999–2001. Indoor Air 2010, 20, 85–90. [Google Scholar] [CrossRef] [PubMed]
- Alfano, F.D.A.; Dell’Isola, M.; Ficco, G.; Tassini, F. Experimental analysis of air tightness in Mediterranean buildings using the fan pressurization method. Build. Environ. 2012, 53, 16–25. [Google Scholar] [CrossRef]
- Nabinger, S.; Persily, A. Impacts of airtightening retrofits on ventilation rates and energy consumption in a manufactured home. Energy Build. 2011, 43, 3059–3067. [Google Scholar] [CrossRef]
- Stabile, L.; Dell’Isola, M.; Frattolillo, A.; Massimo, A.; Russi, A. Effect of natural ventilation and manual airing on indoor air quality in naturally ventilated Italian classrooms. Build. Environ. 2016, 98, 180–189. [Google Scholar] [CrossRef]
- Health Canada. Exposure Guidelines for Residential Indoor Air Quality; A Report of the Federal-Provincial Advisory Committee on Environmental and Occupational Health; Environmental Health Directorate, Health Protection Branch: Ottawa, ON, Canada, 1987.
- Climate Change: Atmospheric Carbon Dioxide|NOAA Climate.gov. Available online: https://www.climate.gov/news-features/understanding-climate/climate-change-atmospheric-carbon-dioxide (accessed on 12 September 2022).
- Norbäck, D.; Björnsson, E.; Janson, C.; Widström, J.; Boman, G. Asthmatic symptoms and volatile organic compounds, formaldehyde, and carbon dioxide in dwellings. Occup. Environ. Med. 1995, 52, 388–395. [Google Scholar] [CrossRef]
- Triche, E.W.; Belanger, K.; Beckett, W.S.; Bracken, M.B.; Holford, T.R.; Gent, J.F.; Jankun, T.; McSharry, J.-E.; Leaderer, B.P. Infant respiratory symptoms associated with indoor heating sources. Am. J. Respir. Crit. Care Med. 2002, 166, 1105–1111. [Google Scholar] [CrossRef]
- Triche, E.W.; Belanger, K.; Bracken, M.B.; Beckett, W.S.; Holford, T.R.; Gent, J.F.; McSharry, J.-E.; Leaderer, B.P. Indoor Heating Sources and Respiratory Symptoms in Nonsmoking Women. Epidemiology 2005, 16, 377–384. [Google Scholar] [CrossRef]
- Franklin, P.J. Indoor air quality and respiratory health of children. Paediatr. Respir. Rev. 2007, 8, 281–286. [Google Scholar] [CrossRef]
- Moore, J.; Goffin, P.; Meyer, M.; Lundrigan, P. Managing in-home environments through sensing, annotating, and visualizing air quality data. Proc. ACM Interactive, Mobile, Wearable Ubiquitous Technol. 2018, 2, 1–28. [Google Scholar] [CrossRef]
- Hattori, S.; Miura, T.; Ichikawa, R.; Sawai, D. In-Home Behavioral Observation Method Employing Internet of Things Sensors for Barrier Investigation of Energy Saving Activities. In Proceedings of the 13th International Conference on Ubiquitous Computing and Ambient Intelligence, Toledo, Spain, 2–5 December 2019. [Google Scholar]
- Tiersen, F.; Batey, P.; Harrison, M.J.; Naar, L.; Serban, A.I.; Daniels, S.J.; Calvo, R.A. Smart home sensing and monitoring in households with dementia: User-centered design approach. JMIR Aging 2021, 4, e27047. [Google Scholar] [CrossRef] [PubMed]
- Perera, M.S.; Halgamuge, M.N.; Samarakody, R.; Mohammad, A. Internet of Things in Healthcare: A Survey of Telemedicine Systems Used for Elderly People. In IoT in Healthcare and Ambient Assisted Living; Marques, G., Bhoi, A.K., Albuquerque, V.H.C., Hareesha, K.S., Eds.; Springer: Singapore, 2019; pp. 69–88. [Google Scholar]
- Rashidi, P.; Mihailidis, A. A survey on ambient-assisted living tools for older adults. IEEE J. Biomed. Health Inform. 2013, 17, 579–590. [Google Scholar] [CrossRef] [PubMed]
- Dey, N.; Ashour, A.S.; Shi, F.; Fong, S.J.; Sherratt, R.S. Developing residential wireless sensor networks for ECG healthcare monitoring. IEEE Trans. Consum. Electron. 2017, 63, 442–449. [Google Scholar] [CrossRef]
- Krupitzer, C.; Sztyler, T.; Edinger, J.; Breitbach, M.; Stuckenschmidt, H.; Becker, C. Hips do lie! Position-aware mobile fall detection system. In Proceedings of the IEEE International Conference on Pervasive Computing and Communications, Athens, Greece, 19–23 March 2018. [Google Scholar]
- Table of Old and New Energy Conservation Standard Area Classifications. Available online: https://www.mlit.go.jp/jutakukentiku/shoenehou_assets/img/library/chiikikubun-sinkyuu.pdf (accessed on 12 September 2022). (In Japanese).
- Fernandez-Aguera, J.; Dominguez-Amarillo, S.; Alonso, C.; Martin-Consuegra, F. Thermal comfort and indoor air quality in low-income housing in Spain: The influence of airtightness and occupant behaviour. Energy Build. 2019, 199, 102–114. [Google Scholar] [CrossRef]










| Country | Value | Target |
|---|---|---|
| Canada | 1000 ppm | Residence |
| Finland | 1200 ppm | Residence, office, school |
| France | 1000 ppm | School and office |
| Germany | 1500 ppm | School |
| Holland | 1000–1500 ppm | Residence |
| Japan | 1000 ppm | Buildings over a certain size |
| Korea | 1000 ppm | Residence, office, school |
| New Zealand | 1000 ppm | School |
| Norway | 1000 ppm | School |
| United States | <700 ppm above outdoor level | Indoor |
| ID | House | Structure | Year Built | # of Occupants | Heating Appliances in the Living Room |
|---|---|---|---|---|---|
| 1 | Apartment | RC | 1999 | 3 | Elec. heater |
| 2 | Apartment | RC | 2003 | 5 | AC (Air Conditioner), floor heating |
| 3 | Apartment | RC | 2002 | 1 | AC |
| 4 | Apartment | RC | 2002 | 1 | AC |
| 5 | Apartment | Steel-framed | 1981 | 3 | AC, elec. heating carpet |
| 6 | Apartment | RC | 2000 | 2 | AC, elec. heater |
| 7 | Apartment | RC | 1986 | 1 | AC, elec. heater |
| 8 | Apartment | Wooden | 1966 | 1 | AC |
| 9 | Detached | Wooden | 2011 | 5 | Floor heating |
| 10 | Detached | Wooden | 2012 | 3 | AC, floor heating |
| 11 | Detached | Wooden | 2013 | 4 | AC, kotatsu (table over an electric heater) |
| 12 | Detached | Wooden | 1975 | 5 | AC, Central AC |
| 13 | Detached | Wooden | 2021 | 2 | AC |
| 14 | Detached | Wooden | 1989 | 4 | AC, floor heating, elec. heater |
| 15 | Detached | Wooden | 1987 | 2 | Gas heater |
| 16 | Detached | Steel-framed | 2014 | 2 | Gas heater, kotatsu |
| 17 | Detached | Wooden | 1990 | 4 | Gas heater, AC |
| 18 | Detached | Wooden | 2010 | 4 | Kerosene heater, AC, heating carpet |
| 19 | Detached | Wooden | 1964 | 2 | Kerosene heater, AC, elec. heater, kotatsu |
| 20 | Detached | Wooden | 1988 | 2 | Gas heater |
| 21 | Detached | Wooden | 1979 | 3 | Gas heater, floor heating |
| 22 | Detached | Wooden | 1975 | 3 | Kerosene heater, AC, kotatsu |
| 23 | Detached | RC | 2000 | 4 | Gas heater, AC |
| 24 | Detached | Wooden | 1997 | 3 | Kerosene heater, AC, elec. heater |
| Day | 2020 | 2021 | ||||
|---|---|---|---|---|---|---|
| Oct. | Nov. | Dec. | Jan. | Feb. | Mar. | |
| 1 | 19.5 | 14.3 | 10.2 | 4.4 | 7.2 | 11.8 |
| 2 | 21.0 | 15.6 | 8.2 | 4.8 | 8.8 | 13.5 |
| 3 | 21.7 | 14.8 | 8.1 | 3.7 | 6.2 | 7.4 |
| 4 | 22.0 | 13.7 | 9.2 | 5.8 | 7.0 | 9.0 |
| 5 | 21.7 | 13.4 | 6.6 | 6.0 | 7.1 | 11.8 |
| 6 | 21.0 | 12.8 | 8.2 | 5.3 | 8.9 | 13.8 |
| 7 | 18.3 | 15.5 | 9.7 | 6.3 | 9.9 | 7.8 |
| 8 | 14.7 | 17.3 | 11.4 | 2.4 | 6.1 | 6.6 |
| 9 | 14.5 | 13.5 | 9.8 | 2.9 | 4.7 | 9.6 |
| 10 | 16.0 | 11.9 | 9.3 | 2.6 | 6.7 | 12.0 |
| 11 | 19.8 | 11.9 | 10.2 | 2.3 | 8.7 | 9.9 |
| 12 | 21.5 | 10.2 | 11.4 | 3.4 | 7.8 | 12.7 |
| 13 | 22.1 | 13.7 | 9.9 | 5.8 | 10.4 | 11.1 |
| 14 | 20.3 | 14.7 | 8.5 | 7.9 | 12.3 | 12.5 |
| 15 | 16.8 | 13.4 | 6.1 | 6.6 | 11.4 | 12.9 |
| 16 | 16.1 | 14.7 | 4.6 | 10.0 | 10.6 | 14.5 |
| 17 | 12.7 | 15.2 | 4.3 | 6.1 | 7.6 | 13.7 |
| 18 | 14.3 | 15.8 | 6.1 | 4.3 | 4.3 | 12.3 |
| 19 | 13.1 | 19.1 | 5.8 | 4.4 | 6.9 | 12.9 |
| 20 | 15.6 | 21.9 | 4.4 | 3.9 | 10.2 | 14.1 |
| 21 | 16.0 | 16.6 | 5.3 | 4.8 | 13.9 | 16.7 |
| 22 | 17.4 | 15.0 | 5.6 | 8.7 | 14.9 | 12.1 |
| 23 | 16.8 | 15.5 | 7.7 | 6.4 | 11.0 | 10.8 |
| 24 | 17.3 | 11.8 | 8.0 | 4.3 | 6.4 | 13.8 |
| 25 | 15.5 | 10.5 | 8.7 | 7.6 | 6.6 | 14.5 |
| 26 | 16.2 | 12.8 | 6.4 | 7.5 | 8.7 | 14.5 |
| 27 | 16.7 | 11.6 | 7.8 | 10.3 | 5.7 | 13.7 |
| 28 | 16.6 | 11.8 | 8.5 | 4.4 | 6.6 | 16.5 |
| 29 | 17.3 | 10.1 | 8.7 | 5.3 | - | 17.5 |
| 30 | 14.9 | 9.9 | 6.9 | 4.1 | - | 17.8 |
| 31 | 13.8 | - | 3.4 | 5.4 | - | 17.9 |
| ID | Q7: Concernabout Ventilation | Q8: How Well Is Your House Ventilated? | Q9-10: Frequency of Ventilation | Q11: Frequency of Cleaning the Ventilation Filter | |
|---|---|---|---|---|---|
| Spring/Autumn | Summer/Winter | ||||
| 1 | Strongly interested | More or less done | Always | About once a day | About once every few months |
| 2 | Strongly interested | More or less done | Always | Almost never | Not at all |
| 3 | Not interested at all | Not done at all | Almost never | Almost never | Not sure |
| 4 | Strongly interested | Not much done | Almost never | Almost never | Not sure |
| 5 | Slightly interested | More or less done | About once every few hours | About once every few hours | Not sure |
| 6 | Slightly interested | Well done enough | About once every few hours | About once every few hours | Not at all |
| 7 | Strongly interested | More or less done | About once every few hours | About once every few hours | Not sure |
| 8 | Strongly interested | More or less done | At least once an hour | At least once an hour | About once every few months |
| 9 | Strongly interested | More or less done | Always | Almost never | About once every few months |
| 10 | Not very interested | More or less done | About once a day | About once a day | About once a year |
| 11 | Not very interested | Not much done | About once a day | Almost never | Not sure |
| 12 | Not very interested | More or less done | About once a day | Almost never | Not at all |
| 13 | Slightly interested | More or less done | About once every few hours | About once every few hours | About once a year |
| 14 | Strongly interested | Well done enough | Always | Always | Not at all |
| 15 | Strongly interested | Not much done | About once every few hours | About once a day | Not sure |
| 16 | Slightly interested | Well done enough | About once every few hours | About once every few hours | Not sure |
| 17 | Slightly interested | Well done enough | Always | Almost never | Not at all |
| 18 | Slightly interested | Well done enough | Always | About once every few hours | Not at all |
| 19 | Slightly interested | More or less done | Always | About once every few hours | Not at all |
| 20 | Slightly interested | More or less done | About once a day | About once a day | About once a year |
| 21 | Slightly interested | Not much done | About once every few hours | About once every few hours | Not at all |
| 22 | Slightly interested | Not much done | About once a day | Always | About once a year |
| 23 | Slightly interested | Not much done | About once a day | About once every few hours | About once a year |
| 24 | Strongly interested | Not much done | About once a day | Almost never | Not at all |
| Q12: Why do you want to ventilate the room? | |
|---|---|
| Answer | # of Responses |
| To bring fresh air. | 22 |
| To adjust the indoor temperature. | 5 |
| It’s good for health. | 3 |
| To prevent colds and other infectious diseases. | 7 |
| To prevent condensation and mildew on windows. | 8 |
| The room smells bad. | 11 |
| Q13: Why do you think it is not necessary to ventilate the room? | |
|---|---|
| Answer | # of Responses |
| Because the air outside is so polluted. | 0 |
| Because it’s cold (or hot) when ventilated. | 19 |
| Because it’ s already ventilated. | 2 |
| Because I’m using an air purifier. | 1 |
| Because some of us have hay fever. | 4 |
| Because some of us have respiratory problems. | 0 |
| I’ve never considered that I don’t need to ventilate. | 4 |
Publisher’s Note: MDPI stays neutral with regard to jurisdictional claims in published maps and institutional affiliations. |
© 2022 by the authors. Licensee MDPI, Basel, Switzerland. This article is an open access article distributed under the terms and conditions of the Creative Commons Attribution (CC BY) license (https://creativecommons.org/licenses/by/4.0/).
Share and Cite
Hattori, S.; Iwamatsu, T.; Miura, T.; Tsutsumi, F.; Tanaka, N. Investigation of Indoor Air Quality in Residential Buildings by Measuring CO2 Concentration and a Questionnaire Survey. Sensors 2022, 22, 7331. https://doi.org/10.3390/s22197331
Hattori S, Iwamatsu T, Miura T, Tsutsumi F, Tanaka N. Investigation of Indoor Air Quality in Residential Buildings by Measuring CO2 Concentration and a Questionnaire Survey. Sensors. 2022; 22(19):7331. https://doi.org/10.3390/s22197331
Chicago/Turabian StyleHattori, Shunichi, Toshiya Iwamatsu, Teruhisa Miura, Fujio Tsutsumi, and Nobuyuki Tanaka. 2022. "Investigation of Indoor Air Quality in Residential Buildings by Measuring CO2 Concentration and a Questionnaire Survey" Sensors 22, no. 19: 7331. https://doi.org/10.3390/s22197331
APA StyleHattori, S., Iwamatsu, T., Miura, T., Tsutsumi, F., & Tanaka, N. (2022). Investigation of Indoor Air Quality in Residential Buildings by Measuring CO2 Concentration and a Questionnaire Survey. Sensors, 22(19), 7331. https://doi.org/10.3390/s22197331

