Characterization of Tensile Stress-Dependent Directional Magnetic Incremental Permeability in Iron-Cobalt Magnetic Sheet: Towards Internal Stress Estimation through Non-Destructive Testing
Abstract
:1. Introduction
2. Experimental Setup
2.1. Description of the Specimens
2.2. Description of the Experimental Setup
2.3. Magnetic Sensors
2.4. Experimental Process
- A similar tensile stress sequence was run in the second phase but combined with directional magnetic incremental permeability measurements. For each tensile stress level, a set of ten Z(Hsurf) curves were plotted (for different values of angle q from 0 to π/2 rad with a Δq = π/18 rad step).
3. Experimental Results
3.1. Ba(Hsurf) Hysteresis Cycles
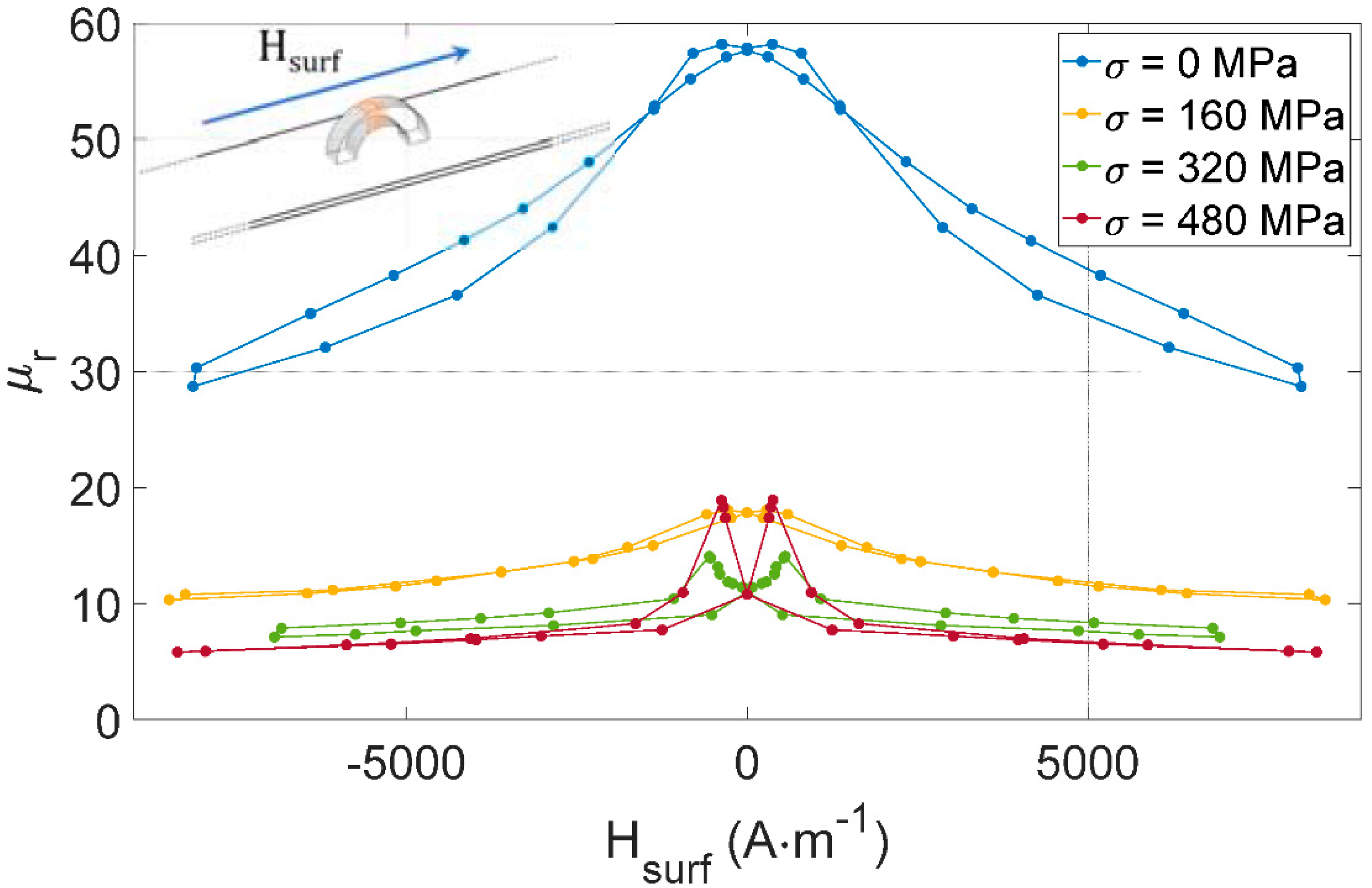
3.2. Directional Incremental Permeability Z(Hsurf)
3.2.1. Magnetic Incremental Permeability
- A low-frequency (quasi-static), high amplitude magnetic excitation, that provides a bias magnetization;
- A high-frequency, low amplitude magnetic excitation, allowing the measurement of the relative magnetic incremental permeability as:
3.2.2. Z(Hsurf) Butterfly Loops
3.2.3. From Z to the FeCo μMIP
3.2.4. From μMIP to Ba MIP(Hsurf) Hysteresis Cycles
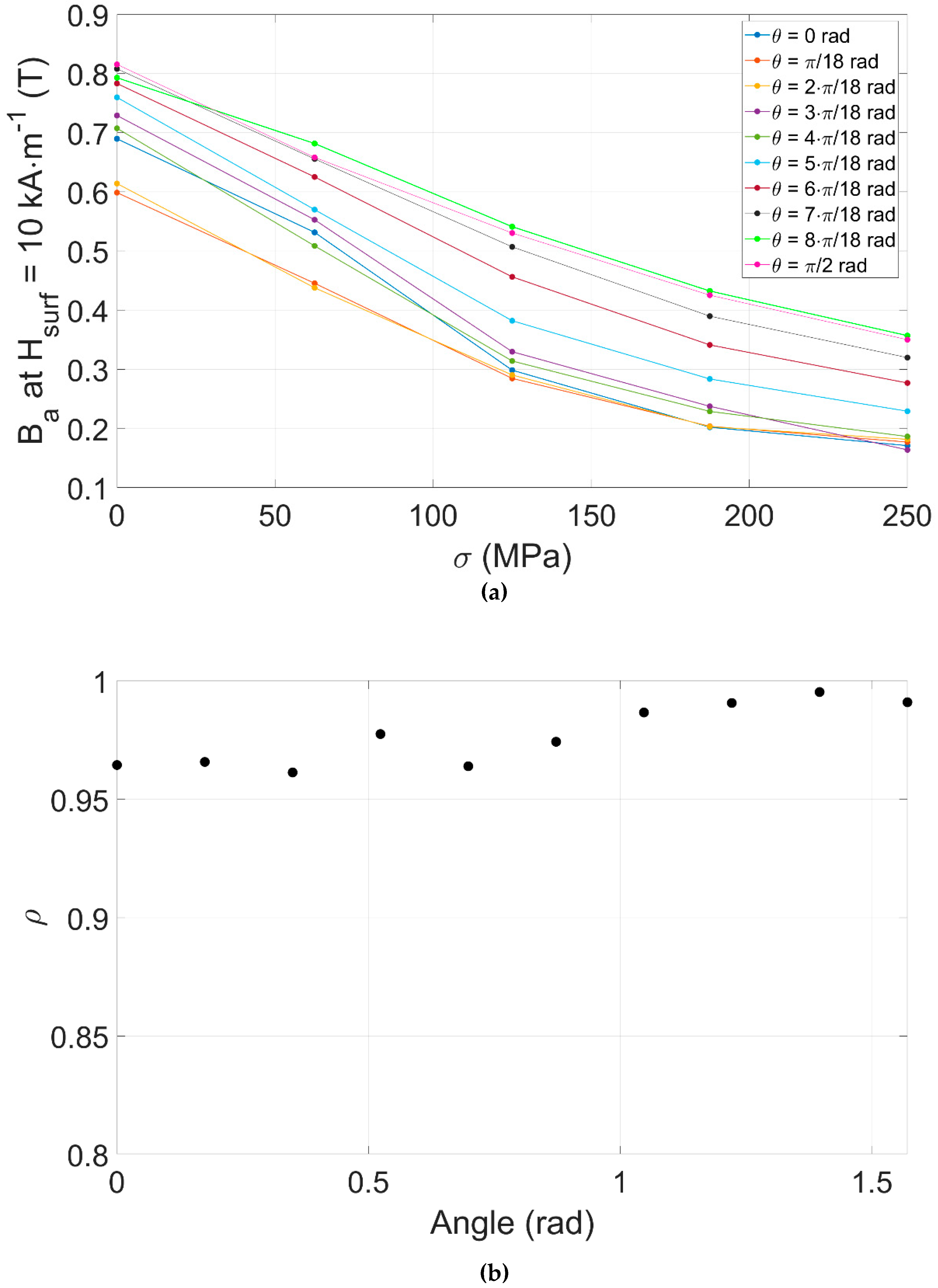
3.2.5. Directional Ba MIP(Hsurf) Hysteresis Loop
4. Discussion
- Structure and kinetics of the magnetic domains (10−4–10−6 m):
- Domain walls bulging (reversible, in the low excitation range);
- Irreversible domain wall motions (middle excitation range);
- Nucleation and annihilation (high range);
- Orientation and amplitude of atomic magnetic moments (10−11–10−9 m):
- Magnetization rotation (high and very high magnetic excitation).
- Human scale mechanisms:
- Macroscopic eddy currents
- Coercivity Hc MIP;
- Remanence Br MIP;
- Ba MIP(Hsurf) Hysteresis area;
- Ba MIP at Hsurf = 2 kA·m−1;
- Ba MIP at Hsurf = 10 kA·m−1.
5. Conclusions
Author Contributions
Funding
Institutional Review Board Statement
Informed Consent Statement
Data Availability Statement
Acknowledgments
Conflicts of Interest
References
- Dorn-Gomba, L.; Ramoul, J.; Reimers, J.; Emadi, A. Power electronic converters in electric aircraft: Current status, challenges, and emerging technologies. IEEE Trans. Transp. Electrif. 2020, 6, 1648–1664. [Google Scholar] [CrossRef]
- Ram, B.S.; Paul, A.K.; Kulkarni, S.V. Soft magnetic materials and their applications in transformers. J. Magn. Magn. Mater. 2021, 537, 168210. [Google Scholar] [CrossRef]
- Turgut, Z.; Huang, M.Q.; Horwath, J.C.; Hinde, R.; Kubicki, J.; Fingers, R.T. Effect of tensile stress and texture on magnetic properties of FeCo laminates. IEEE Trans. Magn. 2004, 40, 2742–2744. [Google Scholar] [CrossRef]
- Savary, M.; Hubert, O.; Helbert, A.L.; Baudin, T.; Waeckerlé, T. Magnetostrictive and magnetic effects in Fe-27% Co laminations. AIP Adv. 2017, 8, 047711. [Google Scholar] [CrossRef] [Green Version]
- Hubert, O.; Chaabane, M.; Jumel, J.; Maurel, V.; Alves, F.; Bensalah, A.; Besbes, M.; Azoum, K.; Bouillault, F. A new experimental setup for the characterisation of magneto-mechanical behaviour of materials submitted to biaxial stresses. Application to Fe-Co alloys. Prz. Elektrotechniczny 2005, 81, 19–23. [Google Scholar]
- Szpunar, J.A.; Atherton, D.L. Magneto-striction and the effect of stress and texture. In Nondestructive Characterization of Materials II; Springer: Boston, MA, USA, 1978; pp. 577–584. [Google Scholar]
- Nabi, B.; Helbert, A.L.; Brisset, F.; Waeckerle, T.; Batonnet, R.; Baudin, T. Effect of the hot rolling on Goss development and magnetic induction in an advanced soft magnetic Fe–27% Co alloy. J. Alloys Compd. 2020, 834, 155149. [Google Scholar] [CrossRef]
- Ke, Y.; Wu, H.H.; Lan, S.; Jiang, H.; Ren, Y.; Liu, S.; Jiang, C. Tuning magnetostriction of Fe–Ga alloys via stress engineering. J. Alloys Compd. 2020, 822, 153687. [Google Scholar] [CrossRef]
- Jiang, G.U.O.; Haiyang, F.U.; Bo, P.A.N.; Renke, K.A.N.G. Recent progress of residual stress measurement methods: A review. Chin. J. Aeronaut. 2021, 34, 54–78. [Google Scholar]
- ASTM E837; Standard Test Method for Determining Residual Stresses by the Hole-Drilling Strain-Gauge Method. ASTM International: West Conshohocken, PA, USA, 2008.
- Pagliaro, P.; Prime, M.B.; Swenson, H.; Zuccarello, B. Measuring multiple residual-stress components using the contour method and multiple cuts. Exp. Mech. 2010, 50, 187–194. [Google Scholar] [CrossRef]
- Prime, M.B. Residual stress measurement by successive extension of a slot: The crack compliance method. Appl. Mech. Rev. 1999, 52, 75–96. [Google Scholar] [CrossRef] [Green Version]
- Hellier, C. Handbook of Non-Destructive Evaluation; McGraw-Hill: New York, NY, USA, 2003. [Google Scholar]
- Höller, P.; Hauk, V.; Dobmann, G.; Ruud, C.O.; Green, R.E. (Eds.) Non-Destructive Characterization of Materials, Proceedings of the 3rd International Symposium, Saarbrücken, Germany, 3–6 October 1988; Springer: Berlin/Heidelberg, Germany, 1988. [Google Scholar]
- Du, W.; Zhao, Y.; Roy, R.; Addepalli, S.; Tinsley, L. A review of miniaturised Non-destructive Testing technologies for in-situ inspections. Procedia Manuf. 2018, 16, 16–23. [Google Scholar] [CrossRef]
- Withers, P.J.; Bhadeshia, H.K.D.H. Residual stress. Part 1–measurement techniques. Mater. Sci. Technol. 2001, 17, 355–365. [Google Scholar] [CrossRef]
- Blodgett, M.P.; Nagy, P.B. Eddy current assessment of near-surface residual stress in shot-peened nickel-base superalloys. J. Non-Destr. Eval. 2004, 23, 107–123. [Google Scholar] [CrossRef] [Green Version]
- Su, F. Methodology for the Stress Measurement of Ferromagnetic Materials by Using Magneto Acoustic Emission. Exp. Mech. 2014, 54, 1431–1439. [Google Scholar] [CrossRef]
- Shibata, M.; Ono, K. Magnetomechanical acoustic emission—A new method for non-destructive stress measurement. NDT E Int. 1981, 14, 227–234. [Google Scholar] [CrossRef]
- Gauthier, J.; Krause, T.W.; Atherton, D.L. Measurement of residual stress in steel using the magnetic Barkhausen noise technique. NDT E Int. 1998, 31, 23–31. [Google Scholar] [CrossRef]
- Fagan, P.; Ducharne, B.; Daniel, L.; Skarlatos, A.; Domenjoud, M.; Reboud, C. Effect of stress on the magnetic Barkhausen noise energy cycles: A route for stress evaluation in ferromagnetic materials. Mater. Sci. Eng. B 2022, 278, 115650. [Google Scholar] [CrossRef]
- Stewart, D.M.; Stevens, K.J.; Kaiser, A.B. Magnetic Barkhausen noise analysis of stress in steel. Curr. Appl. Phys. 2004, 4, 308–311. [Google Scholar] [CrossRef]
- Wilson, J.W.; Tian, G.Y.; Moorthy, V.; Shaw, B.A. Magneto-acoustic emission and magnetic Barkhausen emission for case depth measurement in En36 gear steel. IEEE Trans. Magn. 2009, 45, 177–183. [Google Scholar] [CrossRef]
- Dobmann, G.; Altpeter, I.; Wolter, B.; Kern, R. Industrial applications of 3MA–micromagnetic multiparameter microstructure and stress analysis. Electromagn. Nondestr. Eval. 2008, 31, 18–25. [Google Scholar]
- Stupakov, O.; Pal’a, J.; Takagi, T.; Uchimoto, T. Governing conditions of repeatable Barkhausen noise response. J. Magn. Magn. Mater. 2009, 321, 2956–2962. [Google Scholar] [CrossRef]
- Santa-aho, S.; Laitinen, A.; Sorsa, A.; Vippola, M. Barkhausen noise probes and modelling: A review. J. Nondestruct. Eval. 2019, 38, 94. [Google Scholar] [CrossRef] [Green Version]
- Capó Sánchez, J.; De Campos, M.F.; Padovese, L.R. Comparison between different experimental setups for measuring the magnetic Barkhausen noise in a deformed 1050 steel. J. Nondestruct. Eval. 2017, 36, 66. [Google Scholar] [CrossRef]
- Kouakeuo, S.N.; Deffo, Y.T.; Ducharne, B.; Morel, L.; Raulet, M.A.; Tsafack, P.; Garcia-Bravo, J.M.; Newell, B. Embedded printed magnetic needle probes sensor for the real-time control of the local induction state through a laminated magnetic core. J. Magn. Magn. Mater. 2020, 505, 166767. [Google Scholar] [CrossRef]
- Kouakeuo, S.N.; Ducharne, B.; Solignac, A.; Morel, L.; Raulet, M.A.; Toutsop, B.; Deffo, Y.T.; Tsafack, P. Non-invasive local magnetic hysteresis characterization of a ferromagnetic laminated core. J. Magn. Magn. Mater. 2021, 527, 167783. [Google Scholar] [CrossRef]
- Ducharne, B.; Deffo, Y.T.; Tsafack, P.; Kouakeuo, S.N. Directional magnetic Barkhausen noise measurement using the magnetic needle probe method. J. Magn. Magn. Mater. 2021, 519, 167453. [Google Scholar] [CrossRef]
- Li, K.; Li, L.; Wang, P.; Liu, J.; Shi, Y.; Zhen, Y.; Dong, S. A fast and non-destructive method to evaluate yield strength of cold-rolled steel via incremental permeability. J. Magn. Magn. Mater. 2020, 498, 166087. [Google Scholar] [CrossRef]
- Stevens, K.J. Stress dependence of ferromagnetic hysteresis loops for two grades of steel. NDT E Int. 2000, 33, 111–121. [Google Scholar] [CrossRef]
- IEC 60404-3; Magnetic Materials—Part 3: Methods of Measurement of the Magnetic Properties of Electrical Strip and Sheet by Means of a Single Sheet Tested. International Electrotechnical Commission: Geneva, Switzerland, 2010.
- Rekik, M. Mesure et modélisation du comportement magnéto-mécanique dissipatif des matériaux ferromagnétiques à haute limite élastique sous chargement multiaxial: Application aux génératrices à grandes vitesses pour l’aéronautique. Ph.D. Thesis, LMT ENS Cachan—Paris-Saclay Normal School, Gif-sur-Yvette, France, 2014. (In French). [Google Scholar]
- Gabi, Y.; Jacob, K.; Wolter, B.; Conrad, C.; Strass, B.; Grimm, J. Analysis of incremental and differential permeability in NDT via 3D-simulation and experiment. J. Magn. Magn. Mater. 2020, 505, 166695. [Google Scholar] [CrossRef]
- DIN 1324 Teil; Deutsches Institut für Normung e.V.: Elektromagnetisches Feld. DIN: Berlin, Germany, 2017.
- Gupta, B.; Uchimoto, T.; Ducharne, B.; Sebald, G.; Miyazaki, T.; Takagi, T. Magnetic incremental permeability non-destructive evaluation of 12 Cr-Mo-WV Steel creep test samples with varied ageing levels and thermal treatments. NDT E Int. 2019, 104, 42–50. [Google Scholar] [CrossRef]
- Wolter, B.; Gabi, Y.; Conrad, C. Non-destructive testing with 3MA—An overview of principles and applications. Appl. Sci. 2019, 9, 1068. [Google Scholar] [CrossRef] [Green Version]
- Yashan, A.; Dobmann, G. using eddy current coil in the presence of magnetic hysteresis. Electromagn. Nondestruct. Eval. 2002, 6, 150. [Google Scholar]
- Matsumoto, T.; Uchimoto, T.; Takagi, T.; Dobmann, G.; Ducharne, B.; Oozono, S.; Yuya, H. Investigation of electromagnetic non-destructive evaluation of residual strain in low carbon steels using the eddy current magnetic signature (EC-MS) method. J. Magn. Magn. Mater. 2019, 479, 212–221. [Google Scholar] [CrossRef]
- Gupta, B.; Ducharne, B.; Uchimoto, T.; Sebald, G.; Miyazaki, T.; Takagi, T. Comparison of electromagnetic inspection methods for creep-degraded high chromium ferritic steels. NDT E Int. 2021, 118, 102399. [Google Scholar] [CrossRef]















| |||||
| C (Mass %) | Si | Mn | Co | V | Fe |
| <0.015 | <0.1 | <0.15 | 49 | 2 | Bal. |
| |||||
| Density (g·cm3) | Elect. Res. (μΩ·cm) | Exp. Coef. (·K−1) | Therm. Cond. (W·cm−1 K−1) | Curie Temp. (°C) | |
| 8.12 | 40 | 9 × 10−6 | 0.3 | 950 | |
| |||||
| Yield Strength (MPa) | Tens. Strength (MPa) | Young Mod. (GPa) | Hardness (HV10) | ||
| 1000 | 1345 | 250 | 300 | ||
| σ (MPa) | Hsurf (A·m−1) | μr MIP | μr Diff |
|---|---|---|---|
| – | 4500 | 37.5 | 40 |
| 160 | 4500 | 12 | 17 |
| 320 | 4500 | 9 | 10 |
| 480 | 4500 | 7 | 9 |
Publisher’s Note: MDPI stays neutral with regard to jurisdictional claims in published maps and institutional affiliations. |
© 2022 by the authors. Licensee MDPI, Basel, Switzerland. This article is an open access article distributed under the terms and conditions of the Creative Commons Attribution (CC BY) license (https://creativecommons.org/licenses/by/4.0/).
Share and Cite
Toutsop, B.; Ducharne, B.; Lallart, M.; Morel, L.; Tsafack, P. Characterization of Tensile Stress-Dependent Directional Magnetic Incremental Permeability in Iron-Cobalt Magnetic Sheet: Towards Internal Stress Estimation through Non-Destructive Testing. Sensors 2022, 22, 6296. https://doi.org/10.3390/s22166296
Toutsop B, Ducharne B, Lallart M, Morel L, Tsafack P. Characterization of Tensile Stress-Dependent Directional Magnetic Incremental Permeability in Iron-Cobalt Magnetic Sheet: Towards Internal Stress Estimation through Non-Destructive Testing. Sensors. 2022; 22(16):6296. https://doi.org/10.3390/s22166296
Chicago/Turabian StyleToutsop, Borel, Benjamin Ducharne, Mickael Lallart, Laurent Morel, and Pierre Tsafack. 2022. "Characterization of Tensile Stress-Dependent Directional Magnetic Incremental Permeability in Iron-Cobalt Magnetic Sheet: Towards Internal Stress Estimation through Non-Destructive Testing" Sensors 22, no. 16: 6296. https://doi.org/10.3390/s22166296
APA StyleToutsop, B., Ducharne, B., Lallart, M., Morel, L., & Tsafack, P. (2022). Characterization of Tensile Stress-Dependent Directional Magnetic Incremental Permeability in Iron-Cobalt Magnetic Sheet: Towards Internal Stress Estimation through Non-Destructive Testing. Sensors, 22(16), 6296. https://doi.org/10.3390/s22166296

