Study on Quantum Radar Detection Probability Based on Flying-Wing Stealth Aircraft
Abstract
:1. Introduction
2. Theory of Detection Probability on Quantum Radar
2.1. The Concept and Simplified Expression of the Quantum Radar Cross Section
2.2. Expression of Detection Probability Combined with Quantum Radar
3. Research Methods
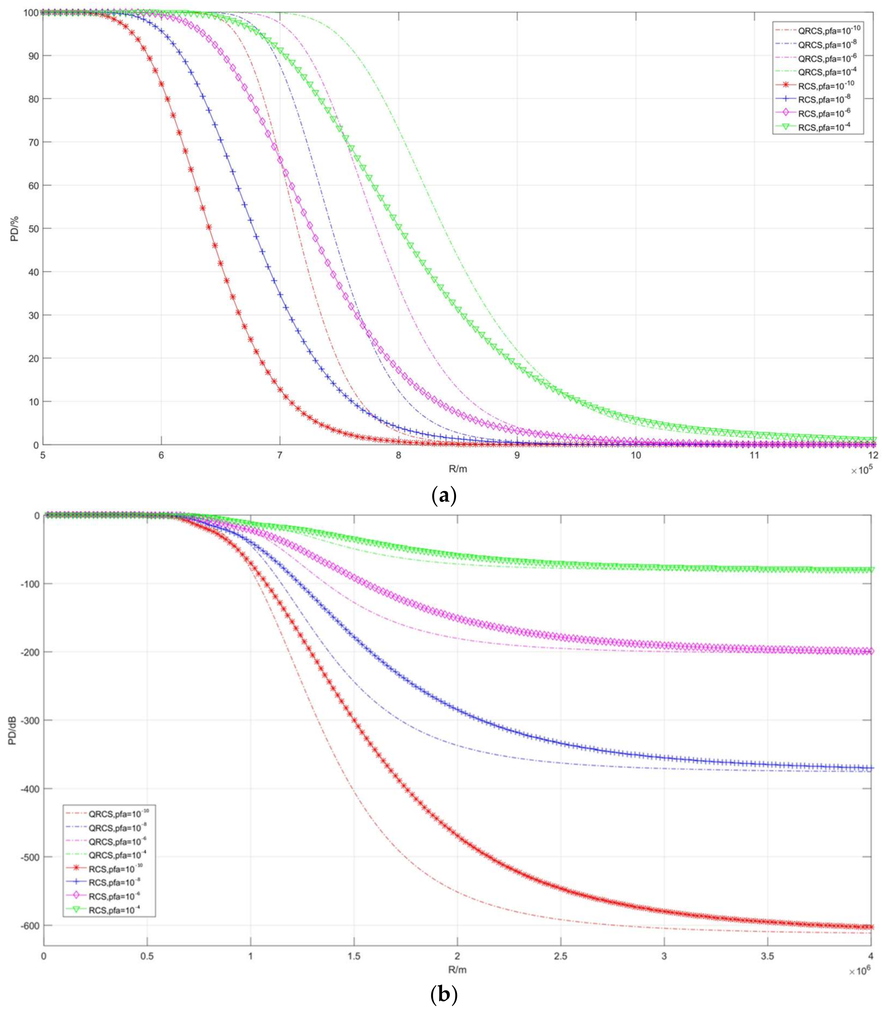
4. Simulation Results
4.1. Verification for a Typical 3D Target
4.2. Parameters’ Influence on Detection Probability of Quantum Radar
4.2.1. Effect of Frequency on Detection Probability
4.2.2. Effect of Detection Probability between the Distance of Target and Radar
4.2.3. The Effect of QRCS and RCS on Detection Probability
4.3. Quantum Detection Probability of a Stealth Aircraft in the Horizontal Plane and with Conventional Radar
4.3.1. Distance
4.3.2. Radar Aperture Area
4.3.3. Frequency
4.4. Detection Probability in the 4π Direction of the Quantum Radar and Conventional Radar for Stealth Aircraft
4.4.1. Distance
4.4.2. Aperture
5. Conclusions
- The detection probability of the conventional radar and the quantum radar is positively correlated with RCS, QRCS, frequency, and radar aperture area, while being negatively correlated with distance.
- Since the characteristics of the QRCS and RCS of the stealth aircraft at various azimuth angles are significantly different, the detection probabilities of the quantum radar and the conventional radar at different azimuth angles are significantly different. Additionally, the difference of the quantum detection probability at different altitude angles is smaller than that of the conventional detection probability.
- When the distance between target and radar is short and the vertical angle is low, the detection probability of the quantum radar is more advantageous than that of the conventional radar. In contrast, when the distance between target and radar is longer, and the vertical angle is higher, the conventional radar shows more advantages in target detection.
- For the flying-wing stealth aircraft, the quantum detection probability at 0–360° azimuth angle is significantly different from that of the conventional radar. The conventional detection probability peaks at the angle perpendicular to the edge, and the difference between different azimuth angles is large, while there is a slight difference between the quantum detection probability at different azimuth angles.
Author Contributions
Funding
Conflicts of Interest
References
- Giovannetti, V.; Lloyd, S.; Maccone, L. Quantum-enhanced measurements: Beating the standard quantum limit. Science 2004, 306, 1330–1336. [Google Scholar] [CrossRef] [PubMed]
- Sang, J.H. Aircraft Stealth Technology; Aviation Industry Press: Beijing, China, 2015. [Google Scholar]
- Ji, J.Z.; Huang, P.L.; Ma, Y.P.; Zhang, S.J. Stealth Principle; Beihang University Press: Beijing, China, 2018. [Google Scholar]
- Malik, M.; Magaña-Loaiza, O.S.; Boyd, R.W. Quantum-secured imaging. Appl. Phys. Lett. 2012, 101, 241103. [Google Scholar] [CrossRef]
- Lanzagorta, M. Quantum radar cross section. In Proceedings of the SPIE Photonics Europe 2010, Brussels, Belgium, 12–16 April 2010; Volume 77270K. [Google Scholar]
- Brandsema, M.J.; Narayanan, R.M.; Lanzagorta, M. Design considerations for quantum radar implementation. In Proceedings of the SPIE Conference on Radar Sensor Technology XVIII, Baltimore, MD, USA, 29 May 2014; Volume 90770T. [Google Scholar]
- Brandsema, M.J.; Narayanan, R.M.; Lanzagorta, M. Analytical formulation of the quantum electromagnetic cross section. In Proceedings of the SPIE Conference on Radar Sensor Technology XX, Baltimore, MD, USA, 12 May 2016; Volume 98291H. [Google Scholar]
- Brandsema, M.; Narayanan, R.; Lanzagorta, M. Theoretical and computational analysis of the quantum radar cross section for simple geometric targets. In Quantum Information Science; Springer: Berlin/Heidelberg, Germany, 2017. [Google Scholar]
- Lin, Y. Calculation of quantum radar scattering cross section of flat structures. Guid. Fuze 2014, 35, 50–53. [Google Scholar]
- Liu, K.; Xiao, H.T.; Fan, H.Q.; Fu, Q. Analysis of quantum radar cross section and its influence on target detection performance. IEEE Photonics Technol. Lett. 2014, 26, 1146–1149. [Google Scholar]
- Liu, K.; Xiao, H.T.; Fan, H.Q. Analysis and simulation of quantum radar cross section. Chin. Phys. Lett. 2014, 31, 034202. [Google Scholar] [CrossRef]
- Fang, C.H. The simulation and analysis of quantum radar cross section for three-dimensional convex targets. IEEE Photonics J. 2018, 10, 7500308. [Google Scholar] [CrossRef]
- Fang, C.; Tan, H.; Liu, Q.-F.; Tao, L.; Xiao, L.; Chen, Y.; Hua, L. The calculation and analysis of the bistatic quantum radar cross section for the typical 2-D plate. IEEE Photonics J. 2018, 10, 7500614. [Google Scholar] [CrossRef]
- Kun, C.H.E.N.; Shuxin, C.; Dewei, W.; Xi, W.; Mi, S. Analysis of quantum radar cross section of curved surface target. ACTA Opt. Sin. 2016, 36, 1227002-1. [Google Scholar]
- Wu, Z.L.; Wang, T.; Chang, H.W.; Feng, G.Y. Modeling and Simulation of Detection Probability on Search Radar. Fire Control Command Control 2018, 43, 1002-0640. [Google Scholar]
- Liu, Z.Q.; Liang, L.J.; Hu, Q.Y.; Wang, C.Y. Evaluation on aircraft stealth performance based on radar detection probability. J. Harbin Inst. Technol. 2017, 49, 0367-6234. [Google Scholar]
- Brandsema, M.J. Formulation and Analysis of the Quantum Radar Cross Section. Ph.D. Thesis, The Pennsylvania State University, State College, PA, USA, 2017. [Google Scholar]
- Marco, L. Low-brightness quantum radar. In Radar Sensor Technology XIX; and Active and Passive Signatures VI, Proceedings of the SPIE Defense + Security, Baltimore, MD, USA, 21 May 2015; SPIE: Bellingham, WA, USA, 2015. [Google Scholar]
- Swerling, P. Probability of detection for fluctuating targets. IRE Trans. Inf. Theory 1960, 6, 269–308. [Google Scholar] [CrossRef]
- Marcum, J.I. A Statistical Theory of Target Detection by Pulsed Radar. IRE Trans. Inf. Theory 1960, 6, 59–267. [Google Scholar] [CrossRef]
- Barton, D.K. Modern Radar System Analysis; Artech House: Norwood, MA, USA, 1988. [Google Scholar]
- Lv, C.; Liu, X.J. Three-dimensional parametric design of complex structural parts of aircraft based on CATIA. Sci. Technol. Inf. 2015. [Google Scholar]
- Liu, W.C.; Yuan, W.; Zhang, Q. Research on method of CATIA structure modeling for manufacture. Aviat. Manuf. Technol. 2014, 5, 40–42. [Google Scholar]
- Fang, C.H. The simulation of quantum radar scattering for 3D cylindrical targets. In Proceedings of the 2018 IEEE International Conference on Computational Electromagnetics (ICCEM), Chengdu, China, 26–28 March 2018. [Google Scholar]































| R | 600 km | 800 km | 1000 km |
|---|---|---|---|
| PDQ/dB | −0.59 | −4.00 | −11.79 |
| PD/dB | −8.99 | −12.48 | −14.43 |
| R | 1200 km | 1400 km | 1800 km |
| PDQ/dB | −28.23 | −55.93 | −243.02 |
| PD/dB | −15.91 | −18.33 | −26.57 |
| Ar/m2 | 1.4 | 2.6 | 7.3 |
| PDQ/dB | −71.63 | −42.63 | −18.11 |
| PD/dB | −147.34 | −52.81 | −19.58 |
| Ar/m2 | 10.5 | 13.9 | 21.5 |
| PDQ/dB | −14.70 | −11.79 | −8.16 |
| PD/dB | −15.36 | −14.43 | −12.53 |
| 1.1GHz | 1.8 GHz | 2.9 GHz | 3.7 GHz | |
| PDQ/dB | −480.56 | −372.28 | −72.16 | −48.86 |
| PD/dB | −198.83 | −40.03 | −20.51 | −17.22 |
| 4.4 GHz | 5.5 GHz | 8.1 GHz | 10 GHz | |
| PDQ/dB | −16.16 | −10.89 | −3.92 | −1.83 |
| PD/dB | −14.94 | −14.39 | −11.49 | −9.20 |
| 1000 km | 1400 km | 1800 km | |
| PDQ/dB | −3.59 | −4.58 | −5.24 |
| PD/dB | −4.11 | −11.4 | −18.61 |
| 0.6 m2 | 2.7 m2 | 7.3 m2 | |
| PDQ/dB | −15.84 | −12.41 | −4.55 |
| PD/dB | −8.06 | −6.69 | −4.64 |
Publisher’s Note: MDPI stays neutral with regard to jurisdictional claims in published maps and institutional affiliations. |
© 2022 by the authors. Licensee MDPI, Basel, Switzerland. This article is an open access article distributed under the terms and conditions of the Creative Commons Attribution (CC BY) license (https://creativecommons.org/licenses/by/4.0/).
Share and Cite
Lu, S.; Meng, Z.; Huang, J.; Yi, M.; Wang, Z. Study on Quantum Radar Detection Probability Based on Flying-Wing Stealth Aircraft. Sensors 2022, 22, 5944. https://doi.org/10.3390/s22165944
Lu S, Meng Z, Huang J, Yi M, Wang Z. Study on Quantum Radar Detection Probability Based on Flying-Wing Stealth Aircraft. Sensors. 2022; 22(16):5944. https://doi.org/10.3390/s22165944
Chicago/Turabian StyleLu, Shaoze, Zhijun Meng, Jun Huang, Mingxu Yi, and Zeyang Wang. 2022. "Study on Quantum Radar Detection Probability Based on Flying-Wing Stealth Aircraft" Sensors 22, no. 16: 5944. https://doi.org/10.3390/s22165944
APA StyleLu, S., Meng, Z., Huang, J., Yi, M., & Wang, Z. (2022). Study on Quantum Radar Detection Probability Based on Flying-Wing Stealth Aircraft. Sensors, 22(16), 5944. https://doi.org/10.3390/s22165944

