Novel Method to Assess Endothelial Function via Monitoring of Perfusion Response to Local Heating by Imaging Photoplethysmography
Abstract
1. Introduction
2. Materials and Methods
2.1. Participants and Study Protocol
2.2. Measuring System
2.3. Data Processing
2.4. Statistical Analysis
3. Results
3.1. Dependence on the Heat-Exposure Duration
- Maximum of the relative perfusion () during the first five minutes after the beginning of the heating, which indicates the perfusion enhancement;
- Initial skin temperature ();
- Difference in the skin temperature between the heating plateau and initial temperature ();
- Integral sum of the perfusion enhancement from the beginning of heating to the seventh minute (). This parameter is shown in Figure 4 as an area shaded with yellow;
- Integral sum of the perfusion enhancement from the 7th to the 20th minute of heating (), which is shown by an area shaded with lilac in Figure 4;
- Half-decay time of the perfusion index (), which indicates the rate of decrease in perfusion after the heating is turned off. The definition of is illustrated in Figure 4.
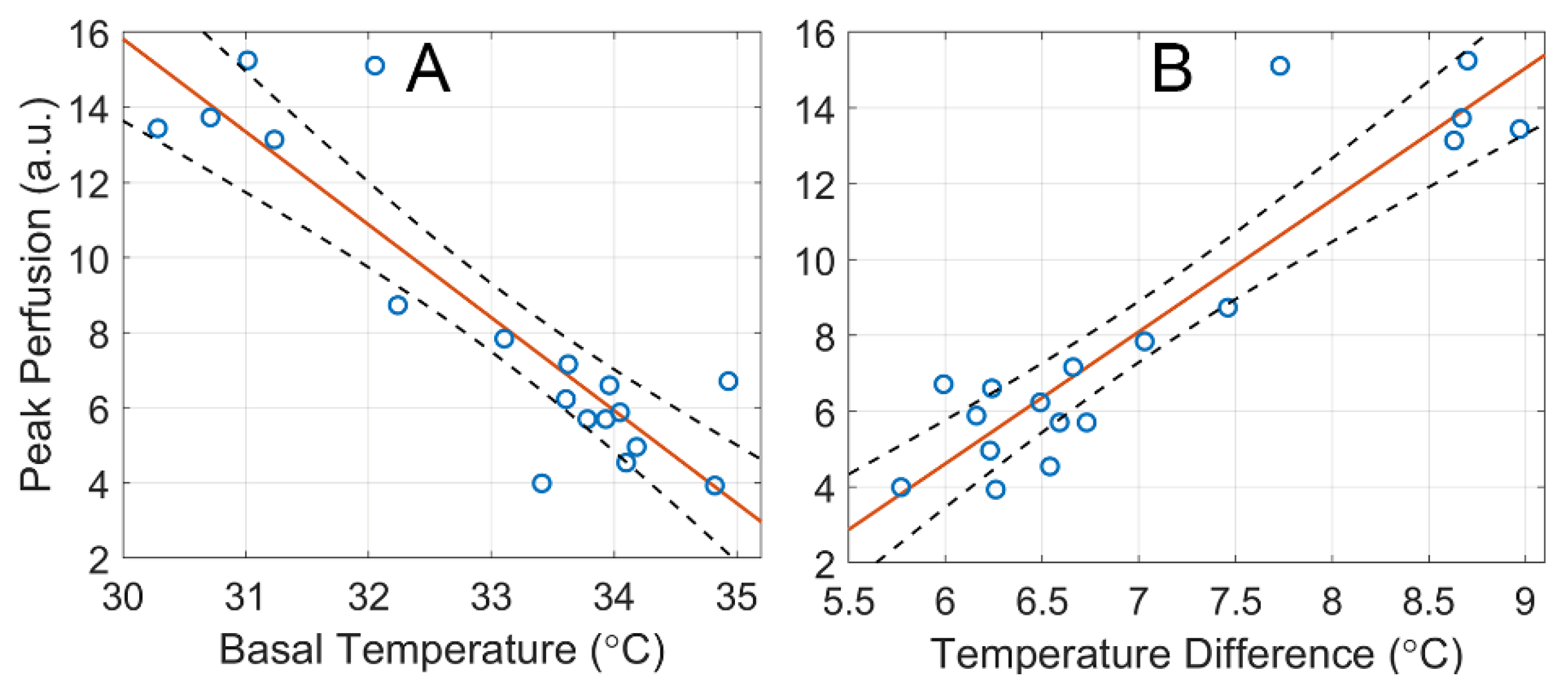
3.2. Effect of Initial Temperature and Temperature Difference
4. Discussion
5. Conclusions
Author Contributions
Funding
Institutional Review Board Statement
Informed Consent Statement
Data Availability Statement
Conflicts of Interest
References
- Gimbrone, M.A.; Garcia-Cardena, G. Endothelial cell dysfunction and the pathobiology of atherosclerosis. Circ. Res. 2016, 118, 620–636. [Google Scholar] [CrossRef] [PubMed]
- Mackman, N.; Tilley, R.E.; Key, N.S. Role of the Extrinsic Pathway of Blood Coagulation in Hemostasis and Thrombosis. Arterioscler. Thromb. Vasc. Biol. 2007, 27, 1687–1693. [Google Scholar] [CrossRef]
- Libby, P.; Ridker, P.M.; Maseri, A. Inflammation and Atherosclerosis. Circulation 2002, 105, 1135–1143. [Google Scholar] [CrossRef] [PubMed]
- Cushman, M.; Lemaitre, R.N.; Kuller, L.H.; Psaty, B.M.; Macy, E.M.; Sharrett, A.R.; Tracy, R.P. Fibrinolytic Activation Markers Predict Myocardial Infarction in the Elderly. Arterioscler. Thromb. Vasc. Biol. 1999, 19, 493–498. [Google Scholar] [CrossRef]
- Brunner, H.; Cockcroft, J.R.; Deanfield, J.; Donald, A.; Ferrannini, E.; Halcox, J.; Kiowski, W.; Lüscher, T.F.; Mancia, G.; Natali, A.; et al. Endothelial function and dysfunction. Part II: Association with cardiovascular risk factors and diseases. A statement by the Working Group on Endothelins and Endothelial Factors of the European Society of Hypertension. J. Hypertens. 2005, 23, 233–246. [Google Scholar] [CrossRef] [PubMed]
- Celermajer, D.S.; Sorensen, K.E.; Georgakopoulos, D.; Bull, C.; Thomas, O.; Robinson, J.; Deanfield, J.E. Cigarette smoking is associated with dose-related and potentially reversible impairment of endothelium-dependent dilation in healthy young adults. Circulation 1993, 88, 2149–2155. [Google Scholar] [CrossRef] [PubMed]
- Spieker, L.E.; Sudano, I.; Hürlimann, D.; Lerch, P.G.; Lang, M.G.; Binggeli, C.; Corti, R.; Ruschitzka, F.; Lüscher, T.F.; Noll, G. High-Density Lipoprotein Restores Endothelial Function in Hypercholesterolemic Men. Circulation 2002, 105, 1399–1402. [Google Scholar] [CrossRef] [PubMed]
- Mäkimattila, S.; Virkamäki, A.; Groop, P.-H.; Cockcroft, J.; Utriainen, T.; Fagerudd, J.; Yki-Järvinen, H. Chronic Hyperglycemia Impairs Endothelial Function and Insulin Sensitivity Via Different Mechanisms in Insulin-Dependent Diabetes Mellitus. Circulation 1996, 94, 1276–1282. [Google Scholar] [CrossRef]
- Steinberg, H.O.; Chaker, H.; Leaming, R.; Johnson, A.; Brechtel, G.; Baron, A.D. Obesity/insulin resistance is associated with endothelial dysfunction. Implications for the syndrome of insulin resistance. J. Clin. Investig. 1996, 97, 2601–2610. [Google Scholar] [CrossRef] [PubMed]
- Ludmer, P.L.; Selwyn, A.P.; Shook, T.L.; Wayne, R.R.; Mudge, G.H.; Alexander, R.W.; Ganz, P. Paradoxical Vasoconstriction Induced by Acetylcholine in Atherosclerotic Coronary Arteries. N. Engl. J. Med. 1986, 315, 1046–1051. [Google Scholar] [CrossRef] [PubMed]
- Gibson, C.M.; Cannon, C.P.; Daley, W.L.; Dodge, J.T.; Alexander, B.; Marble, S.J.; McCabe, C.H.; Raymond, L.; Fortin, T.; Poole, W.K.; et al. TIMI Frame Count: A Quantitative Method of Assessing Coronary Artery Flow. Circulation 1996, 93, 879–888. [Google Scholar] [CrossRef] [PubMed]
- Schindler, T.H.; Schelbert, H.R.; Alessandra, Q.; Vasken, D. Cardiac PET Imaging for the Detection and Monitoring of Coronary Artery Disease and Microvascular Health. JACC Cardiovasc. Imaging 2010, 3, 623–640. [Google Scholar] [CrossRef] [PubMed]
- Celermajer, D.S.; Sorensen, K.E.; Gooch, V.M.; Spiegelhalter, D.J.; Miller, O.I.; Sullivan, I.D.; Lloyd, J.K.; Deanfield, J.E. Non-invasive detection of endothelial dysfunction in children and adults at risk of atherosclerosis. Lancet 1992, 340, 1111–1115. [Google Scholar] [CrossRef]
- Kuvin, J.T.; Patel, A.R.; Sliney, K.A.; Pandian, N.G.; Sheffy, J.; Schnall, R.P.; Karas, R.H.; Udelson, J.E. Assessment of peripheral vascular endothelial function with finger arterial pulse wave amplitude. Am. Heart J. 2003, 146, 168–174. [Google Scholar] [CrossRef]
- Deanfield, J.; Donald, A.; Ferri, C.; Giannattasio, C.; Halcox, J.; Halligan, S.; Lerman, A.; Mancia, G.; Oliver, J.J.; Pessina, A.C.; et al. Endothelial function and dysfunction. Part I: Methodological issues for assessment in the different vascular beds: A statement by the Working Group on Endothelin and Endothelial Factors of the European Society of Hypertension. J. Hypertens. 2005, 23, 7–17. [Google Scholar] [CrossRef]
- Vizzardi, E.; Gavazzoni, M.; Della Pina, P.; Bonadei, I.; Regazzoni, V.; Sciatti, E.; Trichaki, E.; Raddino, R.; Metra, M. Noninvasive Assessment of Endothelial Function: The Classic Methods and the New Peripheral Arterial Tonometry. J. Investig. Med. 2014, 62, 856–864. [Google Scholar] [CrossRef]
- Minson, C.T.; Berry, L.T.; Joyner, M.J. Nitric oxide and neurally mediated regulation of skin blood flow during local heating. J. Appl. Physiol. 2001, 91, 1619–1626. [Google Scholar] [CrossRef]
- Charkoudian, N.; Eisenach, J.H.; Atkinson, J.L.D.; Fealey, R.D.; Joyner, M.J. Effects of chronic sympathectomy on locally mediated cutaneous vasodilation in humans. J. Appl. Physiol. 2002, 92, 685–690. [Google Scholar] [CrossRef][Green Version]
- Cracowski, J.-L.; Minson, C.T.; Salvat-Melis, M.; Halliwill, J.R. Methodological issues in the assessment of skin microvascular endothelial function in humans. Trends Pharmacol. Sci. 2006, 27, 503–508. [Google Scholar] [CrossRef]
- Roberts, K.A.; van Gent, T.; Hopkins, N.D.; Jones, H.; Dawson, E.A.; Draijer, R.; Carter, H.H.; Atkinson, C.L.; Green, D.J.; Thijssen, D.H.J.; et al. Reproducibility of four frequently used local heating protocols to assess cutaneous microvascular function. Microvasc. Res. 2017, 112, 65–71. [Google Scholar] [CrossRef] [PubMed]
- Minson, C.T. Thermal provocation to evaluate microvascular reactivity in human skin. J. Appl. Physiol. 2010, 109, 1239–1246. [Google Scholar] [CrossRef] [PubMed]
- Brunt, V.E.; Minson, C.T. Cutaneous thermal hyperemia: More than skin deep. J. Appl. Physiol. 2011, 111, 5–7. [Google Scholar] [CrossRef] [PubMed]
- Wong, B.J.; Fieger, S.M. Transient receptor potential vanilloid type-1 (TRPV-1) channels contribute to cutaneous thermal hyperaemia in humans. J. Physiol. 2010, 588, 4317–4326. [Google Scholar] [CrossRef] [PubMed]
- Kellogg, D.L.; Zhao, J.L.; Wu, Y. Endothelial nitric oxide synthase control mechanisms in the cutaneous vasculature of humans in vivo. Am. J. Physiol. Circ. Physiol. 2008, 295, H123–H129. [Google Scholar] [CrossRef] [PubMed]
- Brunt, V.E.; Minson, C.T. KCa channels and epoxyeicosatrienoic acids: Major contributors to thermal hyperaemia in human skin. J. Physiol. 2012, 590, 3523–3534. [Google Scholar] [CrossRef] [PubMed]
- Roustit, M.; Cracowski, J.-L. Assessment of endothelial and neurovascular function in human skin microcirculation. Trends Pharmacol. Sci. 2013, 34, 373–384. [Google Scholar] [CrossRef] [PubMed]
- Lapitan, D.; Rogatkin, D. Optical incoherent technique for noninvasive assessment of blood flow in tissues: Theoretical model and experimental study. J. Biophotonics 2021, 14, e202000459. [Google Scholar] [CrossRef] [PubMed]
- Mamontov, O.V.; Shcherbinin, A.V.; Romashko, R.V.; Kamshilin, A.A. Intraoperative imaging of cortical blood flow by camera-based photoplethysmography at green light. Appl. Sci. 2020, 10, 6192. [Google Scholar] [CrossRef]
- Kukel, I.; Trumpp, A.; Plötze, K.; Rost, A.; Zaunseder, S.; Matschke, K.E.; Rasche, S. Contact-free optical assessment of changes in the chest wall perfusion after coronary artery bypass grafting by imaging photoplethysmography. Appl. Sci. 2020, 10, 6537. [Google Scholar] [CrossRef]
- Lyubashina, O.A.; Mamontov, O.V.; Volynsky, M.A.; Zaytsev, V.V.; Kamshilin, A.A. Contactless assessment of cerebral autoregulation by photoplethysmographic imaging at green illumination. Front. Neurosci. 2019, 13, 1235. [Google Scholar] [CrossRef]
- Volynsky, M.A.; Mamontov, O.V.; Osipchuk, A.V.; Zaytsev, V.V.; Sokolov, A.Y.; Kamshilin, A.A. Study of cerebrovascular reactivity to hypercapnia by imaging photoplethysmography to develop a method for intraoperative assessment of the brain functional reserve. Biomed. Opt. Express 2022, 13, 184–196. [Google Scholar] [CrossRef] [PubMed]
- Magerl, W.; Treede, R.D. Heat-evoked vasodilatation in human hairy skin: Axon reflexes due to low-level activity of nociceptive afferents. J. Physiol. 1996, 497, 837–848. [Google Scholar] [CrossRef] [PubMed]
- Moço, A.V.; Stuijk, S.; de Haan, G. Ballistocardiographic artifacts in PPG imaging. IEEE Trans. Biomed. Eng. 2016, 63, 1804–1811. [Google Scholar] [CrossRef] [PubMed]
- Sidorov, I.S.; Volynsky, M.A.; Kamshilin, A.A. Influence of polarization filtration on the information readout from pulsating blood vessels. Biomed. Opt. Express 2016, 7, 2469–2474. [Google Scholar] [CrossRef] [PubMed]
- Kamshilin, A.A.; Krasnikova, T.V.; Volynsky, M.A.; Miridonov, S.V.; Mamontov, O.V. Alterations of blood pulsations parameters in carotid basin due to body position change. Sci. Rep. 2018, 8, 13663. [Google Scholar] [CrossRef]
- Allen, J. Photoplethysmography and its application in clinical physiological measurement. Physiol. Meas. 2007, 28, R1–R39. [Google Scholar] [CrossRef] [PubMed]
- Lima, A.P.; Bakker, J. Noninvasive monitoring of peripheral perfusion. Intensive Care Med. 2005, 31, 1316–1325. [Google Scholar] [CrossRef]
- Kyriacou, P.A.; Shafqat, K.; Pal, S. Pilot investigation of photoplethysmographic signals and blood oxygen saturation values during blood pressure cuff-induced hypoperfusion. Measurement 2009, 42, 1001–1005. [Google Scholar] [CrossRef]
- Barcroft, H.; Edholm, O.G. The effect of temperature on blood flow and deep temperature in the human forearm. J. Physiol. 1943, 102, 5–20. [Google Scholar] [CrossRef]
- Johnson, J.M.; Kellogg, D.L. Local thermal control of the human cutaneous circulation. J. Appl. Physiol. 2010, 109, 1229–1238. [Google Scholar] [CrossRef]
- Kamshilin, A.A.; Nippolainen, E.; Sidorov, I.S.; Vasilev, P.V.; Erofeev, N.P.; Podolian, N.P.; Romashko, R.V. A new look at the essence of the imaging photoplethysmography. Sci. Rep. 2015, 5, 10494. [Google Scholar] [CrossRef]
- Roustit, M.; Blaise, S.; Millet, C.; Cracowski, J.-L. Reproducibility and methodological issues of skin post-occlusive and thermal hyperemia assessed by single-point laser Doppler flowmetry. Microvasc. Res. 2010, 79, 102–108. [Google Scholar] [CrossRef]
- Fallow, B.A.; Tarumi, T.; Tanaka, H. Influence of skin type and wavelength on light wave reflectance. J. Clin. Monit. Comput. 2013, 27, 313–317. [Google Scholar] [CrossRef]
- Anderson, R.R.; Parrish, J.A. The optics of human skin. J. Invest. Dermatol. 1981, 77, 13–19. [Google Scholar] [CrossRef]
- Kvernmo, H.D.; Stefanovska, A.; Kirkebøen, K.A.; Kvernebo, K. Oscillations in the Human Cutaneous Blood Perfusion Signal Modified by Endothelium-Dependent and Endothelium-Independent Vasodilators. Microvasc. Res. 1999, 57, 298–309. [Google Scholar] [CrossRef]







| Subject ID | Age, Years | Height, cm | Weight, kg | Body Mass Index, kg/m2 |
|---|---|---|---|---|
| A | 47 | 183 | 78 | 23 |
| B | 39 | 184 | 87 | 26 |
| C | 38 | 177 | 88 | 28 |
| D | 50 | 168 | 78 | 28 |
| E | 52 | 168 | 73 | 26 |
| F | 39 | 183 | 112 | 33 |
| ID | Heating (min) | |||||
|---|---|---|---|---|---|---|
| A | 5.5 | 6.7 | 5.7 | 21.7 | 22.7 | 38.1 |
| B | 8.3 | 7.7 | 15.1 | 9.8 | 70.7 | 90.5 |
| C | 5.8 | 6.0 | 6.7 | 17.0 | 30.8 | 68.4 |
| D | 8.6 | 6.3 | 3.9 | 24.1 | 16.5 | 31.7 |
| E | 4.9 | 8.7 | 13.7 | 20.1 | 60.0 | 99.8 |
| F | 4.7 | 7.5 | 8.7 | 22.5 | 34.2 | 46.8 |
| Mean ± SD | 7.1 ± 0.9 | 9.0 ± 4.1 | 19.2 ± 5.2 | 39 ± 23 | 63 ± 28 | |
| ID | Heating (min) | |||||
|---|---|---|---|---|---|---|
| A | 13.5 | 6.6 | 5.7 | 22.9 | 25.4 | 60.4 |
| B | 12.9 | 8.7 | 15.3 | 19.6 | 68.1 | 158.8 |
| C | 13.8 | 7.0 | 7.8 | 22.4 | 40.7 | 94.3 |
| D | 14.0 | 5.8 | 4.0 | 22.9 | 14.5 | 34.0 |
| E | 13.5 | 6.5 | 6.2 | 29.8 | 27.6 | 58.1 |
| F | 13.4 | 6.7 | 6.7 | 21.7 | 29.2 | 64.5 |
| Mean ± SD | 6.9 ± 0.9 | 7.7 ± 3.6 | 23.2 ± 3.5 | 34 ± 17 | 78 ± 40 | |
| ID | Heating (min) | |||||
|---|---|---|---|---|---|---|
| A | 19.0 | 6.5 | 4.5 | 37 | 19.1 | 41.9 |
| B | 18.0 | 9.0 | 13.4 | 15.7 | 56.1 | 113.7 |
| C | 18.9 | 6.2 | 6.6 | 28.7 | 29.9 | 77.2 |
| D | 18.9 | 6.2 | 5.9 | 20.2 | 22.3 | 54.4 |
| E | 18.2 | 8.6 | 13.1 | 20.7 | 62.0 | 139.0 |
| F | 18.9 | 6.2 | 5.0 | 28.5 | 22.1 | 57.6 |
| Mean ± SD | 7.1 ± 0.4 | 8.1 ± 3.7 | 25.1 ± 7.7 | 35 ± 17 | 81 ± 35 | |
Publisher’s Note: MDPI stays neutral with regard to jurisdictional claims in published maps and institutional affiliations. |
© 2022 by the authors. Licensee MDPI, Basel, Switzerland. This article is an open access article distributed under the terms and conditions of the Creative Commons Attribution (CC BY) license (https://creativecommons.org/licenses/by/4.0/).
Share and Cite
Kamshilin, A.A.; Zaytsev, V.V.; Belaventseva, A.V.; Podolyan, N.P.; Volynsky, M.A.; Sakovskaia, A.V.; Romashko, R.V.; Mamontov, O.V. Novel Method to Assess Endothelial Function via Monitoring of Perfusion Response to Local Heating by Imaging Photoplethysmography. Sensors 2022, 22, 5727. https://doi.org/10.3390/s22155727
Kamshilin AA, Zaytsev VV, Belaventseva AV, Podolyan NP, Volynsky MA, Sakovskaia AV, Romashko RV, Mamontov OV. Novel Method to Assess Endothelial Function via Monitoring of Perfusion Response to Local Heating by Imaging Photoplethysmography. Sensors. 2022; 22(15):5727. https://doi.org/10.3390/s22155727
Chicago/Turabian StyleKamshilin, Alexei A., Valeriy V. Zaytsev, Anzhelika V. Belaventseva, Natalia P. Podolyan, Maxim A. Volynsky, Anastasiia V. Sakovskaia, Roman V. Romashko, and Oleg V. Mamontov. 2022. "Novel Method to Assess Endothelial Function via Monitoring of Perfusion Response to Local Heating by Imaging Photoplethysmography" Sensors 22, no. 15: 5727. https://doi.org/10.3390/s22155727
APA StyleKamshilin, A. A., Zaytsev, V. V., Belaventseva, A. V., Podolyan, N. P., Volynsky, M. A., Sakovskaia, A. V., Romashko, R. V., & Mamontov, O. V. (2022). Novel Method to Assess Endothelial Function via Monitoring of Perfusion Response to Local Heating by Imaging Photoplethysmography. Sensors, 22(15), 5727. https://doi.org/10.3390/s22155727

