DDQN with Prioritized Experience Replay-Based Optimized Geographical Routing Protocol of Considering Link Stability and Energy Prediction for UANET
Abstract
:1. Introduction
- We introduce a link-stability evaluation indicator, which uses the variance of distance between nodes over a period of time to measure the degree of link stability for decreasing high mobility caused packet loss.
- We use the ARIMA model to predict the neighbor nodes’ residual energy to prevent premature node death, which can achieve energy balance and decrease packet loss.
- A double deep Q network with prioritized experience replay is used to assist in making routing decisions efficiently. We take geographical location, residual energy, and link stability into account when selecting the next hop. According to the above-considered factors, a more appropriate reward function is designed to make the algorithm converge more quickly.
- We conducted extensive experiments and analyzed various performance metrics to verify the advantages of our proposed protocol, The results show that network performance of DSEGR in terms of packet delivery rate and convergence rate is better than the compared routing protocols.
2. Related Work
2.1. Conventional Routing Protocol
2.2. Heuristic Routing Protocols
2.3. Reinforcement Learning Based Routing Protocol
3. System Model
3.1. Link Stability Model
3.2. ARIMA-Based Residual Energy Prediction Model
4. Proposed Routing Protocol
4.1. Sensor Phase
4.2. Routing Decision Learning Phase
4.2.1. Markov Decision Process
4.2.2. DDQN with Prioritized Experience Relay Algorithm
4.3. Routing Decision Phase
| Algorithm 1 DSEGR routing protocol |
|
5. Simulation Results and Discussion
5.1. Simulation Environment and Performance Metrics
5.2. Convergence Analysis
5.3. Effects of the Nodes’ Movement Speed
5.4. Effects of the Node Density
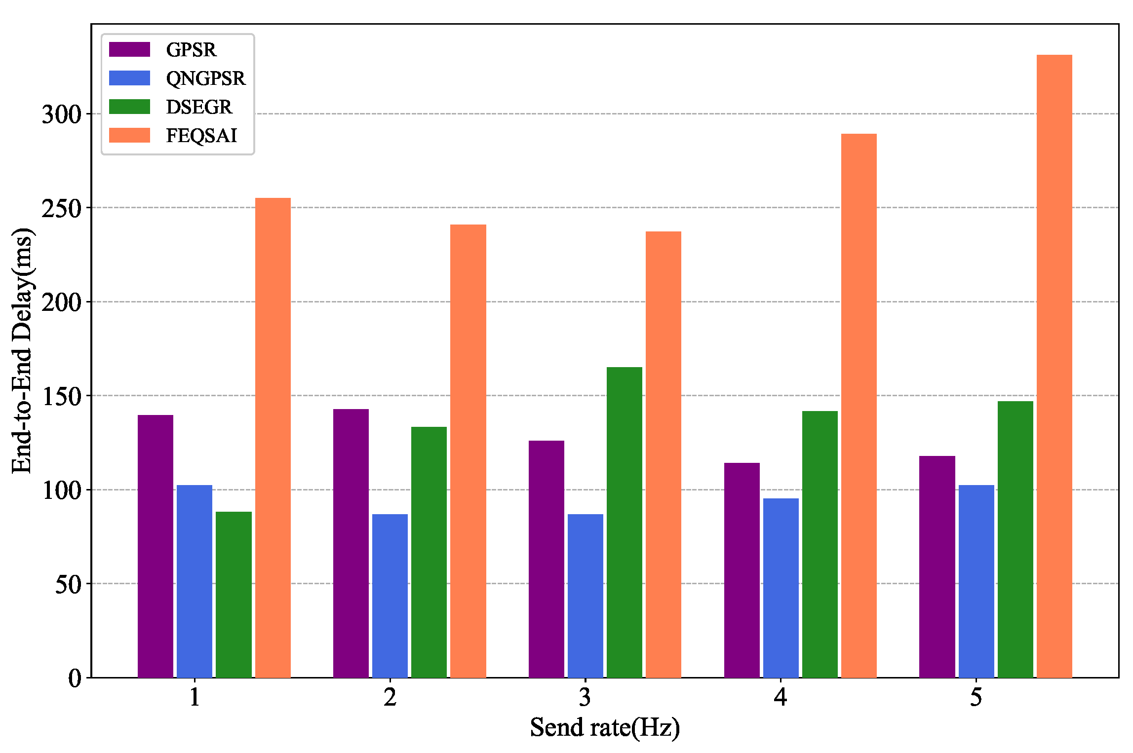
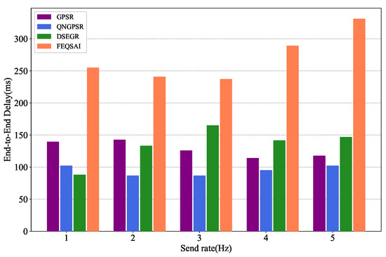
5.5. Effects of Packet Send Rate
5.6. Effects of Initial Energy
6. Conclusions
Author Contributions
Funding
Institutional Review Board Statement
Informed Consent Statement
Data Availability Statement
Conflicts of Interest
References
- Lin, Z.; Liu, H.H.; Wotton, M. Kalman filter-based large-scale wildfire monitoring with a system of UAVs. IEEE T. Ind. Electron. 2018, 66, 606–615. [Google Scholar] [CrossRef]
- Liu, Y.; Liu, Z.; Shi, J.; Wu, G.; Chen, C. Optimization of base location and patrol routes for unmanned aerial vehicles in border intelligence, surveillance, and reconnaissance. J. Adv. Transport. 2019, 2019, 9063232. [Google Scholar] [CrossRef] [Green Version]
- Saif, A.; Dimyati, K.; Noordin, K.A.; Shah, N.S.M.; Abdullah, Q.; Mukhlif, F. Unmanned aerial vehicles for post-disaster communication networks. In Proceedings of the 2020 IEEE 10th International Conference on System Engineering and Technology (ICSET), Shah Alam, Malaysia, 9 November 2020; pp. 273–277. [Google Scholar]
- Kim, J.; Kim, S.; Ju, C.; Son, H.I. Unmanned aerial vehicles in agriculture: A review of perspective of platform, control, and applications. IEEE Access 2019, 7, 105100–105115. [Google Scholar] [CrossRef]
- Haider, S.K.; Jiang, A.; Almogren, A.; Rehman, A.U.; Ahmed, A.; Khan, W.U.; Hamam, H. Energy efficient UAV flight path model for cluster head selection in next-generation wireless sensor networks. Sensors 2021, 21, 8445. [Google Scholar] [CrossRef] [PubMed]
- Peng, J.; Gao, H.; Liu, L.; Li, N.; Xu, X. Tbm: An efficient trajectory-based multicast routing protocol for sparse UAV networks. In Proceedings of the 2020 IEEE 22nd International Conference on High Performance Computing and Communications; IEEE 18th International Conference on Smart City; IEEE 6th International Conference on Data Science and Systems (HPCC/SmartCity/DSS), Cuvu, Fiji, 14–16 December 2020; pp. 867–872. [Google Scholar]
- Zhang, M.; Dong, C.; Feng, S.; Guan, X.; Chen, H.; Wu, Q. Adaptive 3d routing protocol for flying ad hoc networks based on prediction-driven q-learning. China Commun. 2022, 19, 302–317. [Google Scholar] [CrossRef]
- Jacquet, P.; Muhlethaler, P.; Clausen, T.; Laouiti, A.; Qayyum, A.; Viennot, L. Optimized link state routing protocol for ad hoc networks. In Proceedings of the IEEE International Multi Topic Conference, 2001. IEEE INMIC 2001. Technology for the 21st Century, Lahore, Pakistan, 30 December 2001; pp. 62–68. [Google Scholar]
- Perkins, C.E.; Royer, E.M. Ad-hoc on-demand distance vector routing. In Proceedings of the WMCSA’99. Second IEEE Workshop on Mobile Computing Systems and Applications, New Orleans, LA, USA, 25–26 February 1999; pp. 90–100. [Google Scholar]
- Sinha, P.; Krishnamurthy, S.V.; Dao, S. Scalable unidirectional routing with zone routing protocol (zrp) extensions for mobile ad-hoc networks. In Proceedings of the 2000 IEEE Wireless Communications and Networking Conference. Conference Record (Cat. No. 00TH8540), Chicago, IL, USA, 23–28 September 2000; Volume 3, pp. 1329–1339. [Google Scholar]
- Karp, B.; Kung, H.-T. GPSR: Greedy perimeter stateless routing for wireless networks. In Proceedings of the 6th Annual International Conference on Mobile Computing and Networking, Boston, MA, USA, 6–11 August 2000; pp. 243–254. [Google Scholar]
- Wu, Q.; Zeng, Y.; Zhang, R. Joint trajectory and communication design for multi-UAV enabled wireless networks. IEEE Trans. Wirel. Commun. 2018, 17, 2109–2121. [Google Scholar] [CrossRef] [Green Version]
- Lin, L.; Sun, Q.; Wang, S.; Yang, F. A geographic mobility prediction routing protocol for ad hoc UAV network. In Proceedings of the 2012 IEEE Globecom Workshops, Anaheim, CA, USA, 3–7 December 2012; pp. 1597–1602. [Google Scholar]
- Alsaqour, R.; Kamal, S.; Abdelhaq, M.; Jeroudi, Y.A. Genetic algorithm routing protocol for mobile ad hoc network. Cmc-Comput. Mater. Contin. 2021, 68, 941–960. [Google Scholar] [CrossRef]
- Biradar, A.; Thool, R.C. Reliable genetic algorithm based intelligent routing for manet. In Proceedings of the 2014 World Congress on Computer Applications and Information Systems (WCCAIS), Hammamet, Tunisia, 17–19 January 2014; pp. 1–8. [Google Scholar]
- Ramamoorthy, R.; Thangavelu, M. An enhanced hybrid ant colony optimization routing protocol for vehicular ad-hoc networks. J. Ambient. Humaniz. Comput. 2021, 1–32. [Google Scholar] [CrossRef]
- Malar, A.; Kowsigan, M.; Krishnamoorthy, N.; Karthick, S.; Prabhu, E.; Venkatachalam, K. Multi constraints applied energy efficient routing technique based on ant colony optimization used for disaster resilient location detection in mobile ad-hoc network. J. Ambient. Humaniz. Comput. 2021, 12, 4007–4017. [Google Scholar] [CrossRef]
- Shilova, Y.; Kavalerov, M.; Bezukladnikov, I. Full echo q-routing with adaptive learning rates: A reinforcement learning approach to network routing. In Proceedings of the 2016 IEEE NW Russia Young Researchers in Electrical and Electronic Engineering Conference (EIConRusNW), St. Petersburg, Russia, 2–3 February 2016; pp. 341–344. [Google Scholar]
- Liu, J.; Wang, Q.; He, C.; Xu, Y. Ardeep: Adaptive and reliable routing protocol for mobile robotic networks with deep reinforcement learning. In Proceedings of the 2020 IEEE 45th Conference on Local Computer Networks (LCN), Sydney, NSW, Australia, 16–19 November 2020; pp. 465–468. [Google Scholar]
- Arafat, M.Y.; Moh, S. A Q-learning-based topology-aware routing protocol for flying ad hoc networks. IEEE Internet Things 2022, 9, 1985–2000. [Google Scholar] [CrossRef]
- Liu, J.; Wang, Q.; He, C.; Jaffrès-Runser, K.; Xu, Y.; Li, Z.; Xu, Y. Qmr: Q-learning based multi-objective optimization routing protocol for flying ad hoc networks. Comput. Commun. 2020, 150, 304–316. [Google Scholar] [CrossRef]
- Minhas, H.I.; Ahmad, R.; Ahmed, W.; Waheed, M.; Alam, M.M.; Gul, S.T. A reinforcement learning routing protocol for UAV aided public safety networks. Sensors 2021, 21, 4121. [Google Scholar] [CrossRef] [PubMed]
- Tan, X.; Zuo, Z.; Su, S.; Guo, X.; Sun, X.; Jiang, D. Performance analysis of routing protocols for UAV communication networks. IEEE Access 2020, 8, 92212–92224. [Google Scholar] [CrossRef]
- Rosati, S.; Krużelecki, K.; Heitz, G.; Floreano, D.; Rimoldi, B. Dynamic routing for flying ad hoc networks. IEEE Trans. Veh. Technol. 2015, 65, 1690–1700. [Google Scholar] [CrossRef] [Green Version]
- Zheng, Y.; Wang, Y.; Li, Z.; Dong, L.; Jiang, Y.; Zhang, H. A mobility and load aware olsr routing protocol for UAV mobile ad-hoc networks. In Proceedings of the 2014 International Conference on Information and Communications Technologies (ICT 2014), Nanjing, China, 15–17 May 2014. [Google Scholar]
- He, D.; Sun, W.; Shi, L. The novel mobility models based on spiral line for aerial backbone networks. IEEE Access 2020, 8, 11297–11314. [Google Scholar] [CrossRef]
- Ko, Y.-B.; Vaidya, N.H. Location-aided routing (lar) in mobile ad hoc networks. Wirel. Netw. 2000, 6, 307–321. [Google Scholar] [CrossRef]
- Jing, Z.; Binbin, S.; Wei, F.; Chengmin, W. Gpsr protocol perimeter forwarding optimization algorithm based on game model in UAV network. In Proceedings of the 2021 International Conference on Computer Technology and Media Convergence Design (CTMCD), Sanya, China, 23–25 April 2021; pp. 148–153. [Google Scholar]
- Costa, R.; Rosario, D.; Cerqueira, E.; Santos, A. Enhanced connectivity for robust multimedia transmission in UAV networks. In Proceedings of the 2014 IFIP Wireless Days (WD), Rio de Janeiro, Brazil, 12–14 November 2014; pp. 1–6. [Google Scholar]
- Urquiza-Aguiar, L.; Tripp-Barba, C.; Igartua, M.A. A geographical heuristic routing protocol for vanets. Sensors 2016, 16, 1567. [Google Scholar] [CrossRef] [Green Version]
- Yu, Y.; Ru, L.; Chi, W.; Liu, Y.; Yu, Q.; Fang, K. Ant colony optimization based polymorphism-aware routing algorithm for ad hoc UAV network. Multimed. Tools Appl. 2016, 75, 14451–14476. [Google Scholar] [CrossRef]
- Zhao, B.; Ding, Q. Route discovery in flying ad-hoc network based on bee colony algorithm. In Proceedings of the 2019 IEEE International Conference on Artificial Intelligence and Computer Applications (ICAICA), Dalian, China, 29–31 March 2019; pp. 364–368. [Google Scholar]
- Patel, J.; El-Ocla, H. Energy efficient routing protocol in sensor networks using genetic algorithm. Sensors 2021, 21, 7060. [Google Scholar] [CrossRef]
- Boyan, J.; Littman, M. Packet routing in dynamically changing networks: A reinforcement learning approach. In Proceedings of the 7th NIPS Conference, Denver, CO, USA; 1993; Volume 6, pp. 671–678. Available online: https://proceedings.neurips.cc/paper/1993/file/4ea06fbc83cdd0a06020c35d50e1e89a-Paper.pdf (accessed on 14 May 2022).
- Littman, M.; Boyan, J. A Distributed Reinforcement learning scheme for network routing. In Proceedings of the International Workshop on Applications of Neural Networks to Telecommunications, Princeton, NJ, USA, 18–20 October 1993; Psychology Press: London, UK, 1993; p. 45. [Google Scholar]
- Mutombo, V.K.; Shin, S.Y.; Hong, J. Ebr-rl: Energy balancing routing protocol based on reinforcement learning for wsn. In Proceedings of the 36th Annual ACM Symposium on Applied Computing, Virtual, Korea, 22–26 March 2021; pp. 1915–1920. [Google Scholar]
- da Costa, L.A.L.; Kunst, R.; de Freitas, E.P. Q-FANET: Improved q-learning based routing protocol for FANETs. Comput. Netw. 2021, 198, 108379. [Google Scholar] [CrossRef]
- Li, R.; Li, F.; Li, X.; Wang, Y. Qgrid: Q-learning based routing protocol for vehicular ad hoc networks. In Proceedings of the 2014 IEEE 33rd International Performance Computing and Communications Conference (IPCCC), Austin, TX, USA, 5–7 December 2014; pp. 1–8. [Google Scholar]
- Jung, W.-S.; Yim, J.; Ko, Y.-B. Qgeo: Q-learning-based geographic ad hoc routing protocol for unmanned robotic networks. IEEE Commun. Lett. 2017, 21, 2258–2261. [Google Scholar] [CrossRef]
- Zheng, Z.; Sangaiah, A.K.; Wang, T. Adaptive communication protocols in flying ad hoc network. IEEE Commun. Mag. 2018, 56, 136–142. [Google Scholar] [CrossRef]
- Rovira-Sugranes, A.; Afghah, F.; Qu, J.; Razi, A. Fully-echoed q-routing with simulated annealing inference for flying adhoc networks. IEEE Trans. Netw. Sci. Eng. 2021, 8, 2223–2234. [Google Scholar] [CrossRef]
- Lyu, N.; Song, G.; Yang, B.; Cheng, Y. Qngpsr: A q-network enhanced geographic ad-hoc routing protocol based on gpsr. In Proceedings of the 2018 IEEE 88th Vehicular Technology Conference (VTC-Fall), Chicago, IL, USA, 27–30 August 2018; pp. 1–6. [Google Scholar]
- Chen, Y.-N.; Lyu, N.-Q.; Song, G.-H.; Yang, B.-W.; Jiang, X.-H. A traffic-aware q-network enhanced routing protocol based on gpsr for unmanned aerial vehicle ad-hoc networks. Front. Inf. Technol. Electron. Eng. 2020, 21, 1308–1320. [Google Scholar] [CrossRef]
- Hasselt, H.V.; Guez, A.; Silver, D. Deep reinforcement learning with double q-learning. In Proceedings of the AAAI Conference on Artificial Intelligence, Phoenix, AZ, USA, 12–17 February 2016; Volume 30. [Google Scholar]
- Schaul, T.; Quan, J.; Antonoglou, I.; Silver, D. Prioritized experience replay. arXiv 2015, arXiv:1511.05952. [Google Scholar]
















| Routing Protocol | Energy Management | Link Attribute Perception | Load Balance | Exploration | Quick Adaptation to High-Dynamic Scenarios | Adaptation to Large-Scale Networks | Network Application |
|---|---|---|---|---|---|---|---|
| GPSR [11] | × | × | × | × | ✓ | ✓ | MANET |
| QGEO [39] | × | ✓ | × | ✓ | × | × | Mobile robot networks |
| QNGPSR [42] | × | × | ✓ | ✓ | ✓ | ✓ | UANET |
| TQNGPSR [43] | × | × | ✓ | ✓ | ✓ | ✓ | UANET |
| FEQSAI [41] | ✓ | ✓ | × | ✓ | ✓ | × | FANET |
| DSEGR | ✓ | ✓ | ✓ | ✓ | ✓ | ✓ | UANET |
| Parameter | Value |
|---|---|
| Movable region | 2000 m × 2000 m |
| Number of UAVs | 40∼150 |
| UAV speed | 1∼20 m/s |
| Communication radius | 350 m |
| Initial energy | 400∼1200 J |
| 50 nJ/bit | |
| 10 pJ/bit/m2 | |
| 50 nJ/bit | |
| Hello interval | 0.5 s |
| Packet size | 1 KB |
| Buffer size | 32 KB |
| Communication radius | 350 m |
| Packet send rate | 1 Hz |
| Packet transmission rate | 1 Mbps |
| Experience relay pool size | 2000 |
| Learning rate | 0.001 |
| Discount factor | 0.9 |
| Packet size | 1 KB |
| Packet send rate | 1 Hz |
| 0.05 |
Publisher’s Note: MDPI stays neutral with regard to jurisdictional claims in published maps and institutional affiliations. |
© 2022 by the authors. Licensee MDPI, Basel, Switzerland. This article is an open access article distributed under the terms and conditions of the Creative Commons Attribution (CC BY) license (https://creativecommons.org/licenses/by/4.0/).
Share and Cite
Zhang, Y.; Qiu, H. DDQN with Prioritized Experience Replay-Based Optimized Geographical Routing Protocol of Considering Link Stability and Energy Prediction for UANET. Sensors 2022, 22, 5020. https://doi.org/10.3390/s22135020
Zhang Y, Qiu H. DDQN with Prioritized Experience Replay-Based Optimized Geographical Routing Protocol of Considering Link Stability and Energy Prediction for UANET. Sensors. 2022; 22(13):5020. https://doi.org/10.3390/s22135020
Chicago/Turabian StyleZhang, Yanan, and Hongbing Qiu. 2022. "DDQN with Prioritized Experience Replay-Based Optimized Geographical Routing Protocol of Considering Link Stability and Energy Prediction for UANET" Sensors 22, no. 13: 5020. https://doi.org/10.3390/s22135020
APA StyleZhang, Y., & Qiu, H. (2022). DDQN with Prioritized Experience Replay-Based Optimized Geographical Routing Protocol of Considering Link Stability and Energy Prediction for UANET. Sensors, 22(13), 5020. https://doi.org/10.3390/s22135020

