State Estimation for Coupled Reaction-Diffusion PDE Systems Using Modulating Functions
Abstract
1. Introduction
2. Estimation Problem Definition
2.1. Coupled Reaction-Advection-Diffusion PDE
2.2. Function Basis Expansion
2.3. Modulating Functions
3. Non-Asymptotic Observer Design for Coupled PDE System
3.1. Derivation of the Auxiliary System
3.2. Calculation of the Modulation Operators
- Define parameters for orthonormal basis calculation: approximation order N, function basis, weight function ;
- Gram–Schmidt procedure to obtain the orthonormal basis ;
- Create and solve auxiliary models (14) with initial condition and control scheme to achieve . The solution is ;
- Inverse time transformation (17) to obtain modulating functions .
- Measurement in the system;
- Calculation of the modulation kernels with (18);
- Decoupling of the coefficients with (19);
- Calculation of the states with (20).
4. Real-Time Implementation and Simulation Results
4.1. Example Problem Setup
4.2. Solution of the Problem
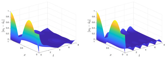
4.3. Simulations
5. Conclusions
Author Contributions
Funding
Institutional Review Board Statement
Informed Consent Statement
Data Availability Statement
Conflicts of Interest
Abbreviations
| PDE | Partial Differential Equation |
| ODE | Ordinary Differential Equation |
| MF | Modulating Function |
| SNR | Signal to Noise Ration |
| ISE | Integral Squared Error |
Appendix A
Appendix A.1. Unstable Coupled Reaction-Diffusion PDE




Appendix A.2. Coupled Reaction-Diffusion with Spatially Varying Coefficients PDE




References
- Elmetennani, S.; Laleg-Kirati, T.M. Bilinear reduced order approximate model of parabolic distributed solar collectors. Sol. Energy 2016, 131, 71–80. [Google Scholar] [CrossRef][Green Version]
- Aarsnes, U.J.F.; Di Meglio, F.; Shor, R.J. Avoiding stick slip vibrations in drilling through startup trajectory design. J. Process Control 2018, 70, 24–35. [Google Scholar] [CrossRef]
- Bresch-Pietri, D.; Krstic, M. Output-feedback adaptive control of a wave PDE with boundary anti-damping. Automatica 2014, 50, 1407–1415. [Google Scholar] [CrossRef]
- Laabissi, M.; Achhab, M.; Winkin, J.; Dochain, D. Trajectory analysis of nonisothermal tubular reactor nonlinear models. Syst. Control Lett. 2001, 42, 169–184. [Google Scholar] [CrossRef]
- Cameron, M.; Fomel, S.; Sethian, J. Inverse problem in seismic imaging. Proc. Appl. Math. Mech. 2007, 7, 1024803–1024804. [Google Scholar] [CrossRef]
- McAfee, M.; Kariminejad, M.; Weinert, A.; Huq, S.; Stigter, J.D.; Tormey, D. State Estimators in Soft Sensing and Sensor Fusion for Sustainable Manufacturing. Sustainability 2022, 14, 3635. [Google Scholar] [CrossRef]
- Orlov, Y.; Dochain, D. Discontinuous Feedback Stabilization of Minimum-Phase Semilinear Infinite-Dimensional Systems with Application to Chemical Tubular Reactor. IEEE Trans. Autom. Control 2002, 47, 1293–1304. [Google Scholar] [CrossRef]
- Orlov, Y.; Bentsman, J. Adaptive distributed parameter systems identification with enforceable identifiability conditions and reduced-order spatial differentiation. IEEE Trans. Autom. Control 2000, 45, 203–216. [Google Scholar] [CrossRef]
- Moireau, P.; Chapelle, D.; Tallec, P.L. Joint state and parameter estimation for distributed mechanical systems. Comput. Methods Appl. Mech. Eng. 2008, 197, 659–677. [Google Scholar] [CrossRef]
- Tang, S.; Xie, C. Stabilization for a coupled PDE–ODE control system. J. Frankl. Inst. 2011, 348, 2142–2155. [Google Scholar] [CrossRef]
- Yupanqui Tello, I.F.; Vande Wouwer, A.; Coutinho, D. A Concise Review of State Estimation Techniques for Partial Differential Equation Systems. Mathematics 2021, 9, 3180. [Google Scholar] [CrossRef]
- Baccoli, A.; Orlov, Y.; Pisano, A. On the boundary control of coupled reaction-diffusion equations having the same diffusivity parameters. In Proceedings of the 53rd IEEE Conference on Decision and Control, Los Angeles, CA, USA, 15–17 December 2014; pp. 5222–5228. [Google Scholar]
- Baccoli, A.; Pisano, A. Anticollocated Backstepping Observer Design for a Class of Coupled Reaction-Diffusion PDEs. J. Control Sci. Eng. 2015, 2015, 164274. [Google Scholar] [CrossRef]
- Pisano, A.; Baccoli, A.; Orlov, Y.; Usai, E. Boundary control of coupled reaction-advection-diffusion equations having the same diffusivity parameter. IFAC-PapersOnLine 2016, 49, 86–91. [Google Scholar] [CrossRef]
- Orlov, Y.; Pisano, A.; Pilloni, A.; Usai, E. Output Feedback Stabilization of Coupled Reaction-Diffusion Processes with Constant Parameters. SIAM J. Control Optim. 2017, 55, 4112–4155. [Google Scholar] [CrossRef]
- Vazquez, R.; Krstic, M. Boundary control of coupled reaction-diffusion systems with spatially-varying reaction. IFAC-PapersOnLine 2016, 49, 222–227. [Google Scholar] [CrossRef]
- Camacho-Solorio, L.; Vazquez, R.; Krstic, M. Boundary observer design for coupled reaction-diffusion systems with spatially-varying reaction. In Proceedings of the 2017 American Control Conference (ACC), Seattle, WA, USA, 24–26 May 2017; pp. 3159–3164. [Google Scholar]
- Camacho-Solorio, L.; Vazquez, R.; Krstic, M. Boundary observers for coupled diffusion—Reaction systems with prescribed convergence rate. Syst. Control Lett. 2020, 135, 104586. [Google Scholar] [CrossRef]
- Shinbrot, M. On the Analysis of Linear and Nonlinear Dynamical Systems from Transient-Response Data; Technical Note 3288; National Advisory Commitee for Aeronautics (NACA): Edwards, CA, USA, 1954. [Google Scholar]
- Shinbrot, M. On the analysis of linear and nonlinear systems. Trans. ASME 1957, 79, 547–551. [Google Scholar] [CrossRef]
- Asiri, S.; Laleg-Kirati, T.M. Modulating functions-based method for parameters and source estimation in one-dimensional partial differential equations. Inverse Probl. Sci. Eng. 2017, 25, 1191–1215. [Google Scholar] [CrossRef]
- Fischer, F.; Deutscher, J. Algebraic fault detection and isolation for parabolic distributed–parameter systems using modulation functions. IFAC-PapersOnLine 2016, 49, 162–167. [Google Scholar] [CrossRef]
- Ghaffour, L.; Noack, M.; Reger, J.; Laleg-Kirati, T.M. Non-asymptotic State Estimation of Linear Reaction Diffusion Equation using Modulating Functions. IFAC-PapersOnLine 2020, 53, 4196–4201. [Google Scholar] [CrossRef]
- Fischer, F.; Deutscher, J.; Laleg-Kirati, T.M. Source estimation for first order time-varying hyperbolic systems. In Proceedings of the 23rd International Symposium on Mathematical Theory of Networks and Systems Hong Kong University of Science and Technology, Hong Kong, China, 16–20 July 2018; pp. 78–84. [Google Scholar]
- Liu, B.N.; Boutat, D.; Liu, D.Y. Backstepping observer-based output feedback control for a class of coupled parabolic PDEs with different diffusions. Syst. Control Lett. 2016, 97, 61–69. [Google Scholar] [CrossRef]
- Liu, B. Boundary Observer-Based Output Feedback Control of Coupled Parabolic PDEs. Ph.D. Thesis, Institut National des Sciences Appliquées, Centre Val de Loire, France, 2018. [Google Scholar]






| Observer | |||
|---|---|---|---|
| MF | |||
| Backstepping | |||
| Backstepping |
| Advantages | Issues |
|---|---|
|
|
| Inaccuracies | Future Ideas |
|
|
Publisher’s Note: MDPI stays neutral with regard to jurisdictional claims in published maps and institutional affiliations. |
© 2022 by the authors. Licensee MDPI, Basel, Switzerland. This article is an open access article distributed under the terms and conditions of the Creative Commons Attribution (CC BY) license (https://creativecommons.org/licenses/by/4.0/).
Share and Cite
Pumaricra Rojas, D.; Noack, M.; Reger, J.; Pérez-Zúñiga, G. State Estimation for Coupled Reaction-Diffusion PDE Systems Using Modulating Functions. Sensors 2022, 22, 5008. https://doi.org/10.3390/s22135008
Pumaricra Rojas D, Noack M, Reger J, Pérez-Zúñiga G. State Estimation for Coupled Reaction-Diffusion PDE Systems Using Modulating Functions. Sensors. 2022; 22(13):5008. https://doi.org/10.3390/s22135008
Chicago/Turabian StylePumaricra Rojas, David, Matti Noack, Johann Reger, and Gustavo Pérez-Zúñiga. 2022. "State Estimation for Coupled Reaction-Diffusion PDE Systems Using Modulating Functions" Sensors 22, no. 13: 5008. https://doi.org/10.3390/s22135008
APA StylePumaricra Rojas, D., Noack, M., Reger, J., & Pérez-Zúñiga, G. (2022). State Estimation for Coupled Reaction-Diffusion PDE Systems Using Modulating Functions. Sensors, 22(13), 5008. https://doi.org/10.3390/s22135008

