A Study on sEMG-Based Motor Variability and Functional Connectivity of the Upper Limb Depending on Weight Distributions in a Handle of a Cordless Stick-Type Vacuum Cleaner
Abstract
1. Introduction
2. Materials and Methods
2.1. Participants
2.2. Mock-Up
2.3. EMG Measurement
2.4. Experimental Design
2.5. Data Analysis
3. Results
3.1. Muscle Activity
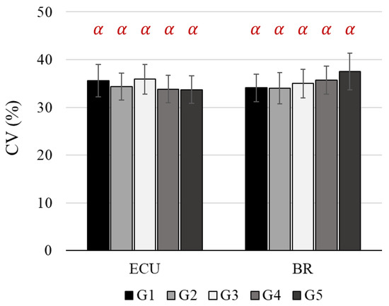
3.2. Motor Variability
3.3. Functional Connectivity
4. Discussion
4.1. Muscle Activity
4.2. Motor Variability
4.3. Functional Connectivity
4.4. Implications and Limitations
5. Conclusions
Author Contributions
Funding
Institutional Review Board Statement
Informed Consent Statement
Data Availability Statement
Acknowledgments
Conflicts of Interest
References
- Reportocean, Cordless Vacuum Cleaner Market Growth 2022: Industry Size, Share, Trends, Upcoming Demand, Business Opportunities, Forecast 2030. Available online: https://blackswanzine.com/cordless-vacuum-cleaner-market-growth-2022-industry-size-share-trends-upcoming-demand-business-opportunities-forecast-2030/ (accessed on 19 May 2022).
- Chin, T. The 10 Best Stick Vacuums to Take the Suck Out of Spring Cleaning. Available online: https://www.gearpatrol.com/home/g39107990/best-stick-vacuums/ (accessed on 19 May 2022).
- Mortram, K.; Mendelsohn, H. 12 Best Cordless Vacuum Cleaners to Buy, from Dyson to Hoover. Available online: https://www.goodhousekeeping.com/uk/product-reviews/house-garden/g685066/the-top-5-best-stick-vacuums/ (accessed on 19 May 2022).
- Arizton Advisory and Intelligence, The Global Cordless Vacuum Cleaner Market Size to Reach USD 9736.98 Million by 2026, Growing at a CAGR of 10.39% during the Period 2021–2026. Available online: https://www.arizton.com/market-reports/cordless-vacuum-cleaner-market-size/ (accessed on 19 May 2022).
- Peysakhovich, R. 49+ Vacuum Cleaner Industry Statistics & Trends for 2022. Available online: https://www.getonedesk.com/vacuum-cleaner-statistics (accessed on 19 May 2022).
- Kang, E.; Yu, H.; Chang, J. Effects of Weight Distribution in a Handle of a Cordless Stick-Type Vacuum Cleaner: Muscle Activity and Subjective Discomfort of the Upper Limb. Int. J. Ind. Ergon. 2020, 80, 103054. [Google Scholar] [CrossRef]
- Lee, W.; Lin, J.H.; Howard, N.; Bao, S. Methods for measuring physical workload among commercial cleaners: A scoping review. Int. J. Ind. Ergon. 2022, 90, 103319. [Google Scholar] [CrossRef]
- Chang, J.; Freivalds, A.; Sharkey, N.A.; Kong, Y.-K.; Mike Kim, H.; Sung, K.; Kim, D.-M.; Jung, K. Investigation of Index Finger Triggering Force Using a Cadaver Experiment: Effects of Trigger Grip Span, Contact Location, and Internal Tendon Force. Appl. Ergon. 2017, 65, 183–190. [Google Scholar] [CrossRef]
- Freivalds, A. Biomechanics of the Upper Limbs: Mechanics, Modeling and Musculoskeletal Injuries, 2nd ed.; CRC Press: Boca Raton, FL, USA, 2011. [Google Scholar]
- Choi, S.; Shin, G. Effects of the Center of Mass of a Stick Vacuum Cleaner on the Muscle Activities of the Upper Extremity during Floor Vacuuming. Appl. Ergon. 2018, 70, 1–5. [Google Scholar] [CrossRef] [PubMed]
- Kamble, A.; Deshmukh, R. Household Vacuum Cleaners Market by Product (Upright, Canister, Central, Drum, Wet/Dry, Robotic, Others), by Type (Corded, Cordless), by Sales Type (Online, Offline), and Region: Global Opportunity Analysis and Industry Forecast, 2022–2031. Available online: https://www.alliedmarketresearch.com/household-vacuum-cleaners-market/ (accessed on 19 May 2022).
- Prophecy Market Insights, Global Cordless Vacuum Cleaner Market is Estimated to be US$ 30.9 Bn by 2030 with a CAGR of 10.40% during the Forecast Period—By PMI. Available online: https://www.globenewswire.com/news-release/2022/02/03/2378649/0/en/Global-Cordless-Vacuum-Cleaner-Market-is-estimated-to-be-US-30-9-Bn-by-2030-with-a-CAGR-of-10-40-during-the-forecast-period-By-PMI.html/ (accessed on 19 May 2022).
- Qin, D.; Dong, Z.; Liu, Y.; Wang, D.; Qin, S. How Does the COM Position of a Vacuum Cleaner Affect Muscle Activities while Vacuuming? In Proceedings of the 3rd International Conference on Human Interaction and Emerging Technologies: Future Applications, Paris, France, 27–29 August 2020; pp. 344–350. [Google Scholar] [CrossRef]
- Latash, M.L.; Scholz, J.P.; Schöner, G. Motor Control Strategies Revealed in the Structure of Motor Variability. Exerc. Sport Sci. Rev. 2002, 30, 26–31. [Google Scholar] [CrossRef] [PubMed]
- Srinivasan, D.; Mathiassen, S.E. Motor Variability in Occupational Health and Performance. Clin. Biomech. 2012, 27, 979–993. [Google Scholar] [CrossRef] [PubMed]
- Madeleine, P. On Functional Motor Adaptations: From the Quantification of Motor Strategies to the Prevention of Musculoskeletal Disorders in the Neck–Shoulder Region. Acta Physiol. 2010, 199, 1–46. [Google Scholar] [CrossRef] [PubMed]
- Mathiassen, S.E.; Möller, T.; Forsman, M. Variability in Mechanical Exposure within and between Individuals Performing a Highly Constrained Industrial Work Task. Ergonomics 2003, 46, 800–824. [Google Scholar] [CrossRef]
- Skurvydas, A.; Brazaitis, M.; Kamandulis, S. Prolonged Muscle Damage Depends on Force Variability. Int. J. Sports Med. 2010, 31, 77–81. [Google Scholar] [CrossRef]
- Mathiassen, S.E. Diversity and Variation in Biomechanical Exposure: What Is It, and Why Would We like to Know? Appl. Ergon. 2006, 37, 419–427. [Google Scholar] [CrossRef] [PubMed]
- Rodriguez, A.C.; Barrero, L.H. Job Rotation: Effects on Muscular Activity Variability. Appl. Ergon. 2017, 60, 83–92. [Google Scholar] [CrossRef]
- Tat, J.; Holmes, M.W.; Keir, P.J. Cycle to Cycle Variability in a Repetitive Upper Extremity Task. Ergonomics 2014, 57, 1405–1415. [Google Scholar] [CrossRef]
- Côté, J.N.; Raymond, D.; Mathieu, P.A.; Feldman, A.G.; Levin, M.F. Differences in Multi-Joint Kinematic Patterns of Repetitive Hammering in Healthy, Fatigued and Shoulder-Injured Individuals. Clin. Biomech. 2005, 20, 581–590. [Google Scholar] [CrossRef] [PubMed]
- Fuller, J.R.; Fung, J.; Côté, J.N. Time-Dependent Adaptations to Posture and Movement Characteristics during the Development of Repetitive Reaching Induced Fatigue. Exp. Brain Res. 2011, 211, 133–143. [Google Scholar] [CrossRef] [PubMed]
- Madeleine, P.; Mathiassen, S.E.; Arendt-Nielsen, L. Changes in the Degree of Motor Variability Associated with Experimental and Chronic Neck–Shoulder Pain during a Standardised Repetitive Arm Movement. Exp. Brain Res. 2008, 185, 689–698. [Google Scholar] [CrossRef] [PubMed]
- Straker, L.; Burgess-Limerick, R.; Pollock, C.; Maslen, B. The Influence of Desk and Display Design on Posture and Muscle Activity Variability Whilst Performing Information Technology Tasks. Appl. Ergon. 2009, 40, 852–859. [Google Scholar] [CrossRef]
- Madeleine, P.; Voigt, M.; Mathiassen, S.E. The Size of Cycle-to-Cycle Variability in Biomechanical Exposure among Butchers Performing a Standardised Cutting Task. Ergonomics 2008, 51, 1078–1095. [Google Scholar] [CrossRef]
- Lomond, K.V.; Côté, J.N. Movement Timing and Reach to Reach Variability during a Repetitive Reaching Task in Persons with Chronic Neck/Shoulder Pain and Healthy Subjects. Exp. Brain Res. 2010, 206, 271–282. [Google Scholar] [CrossRef]
- Fedorowich, L.M.; Emery, K.; Gervasi, B.; Côté, J.N. Gender Differences in Neck/Shoulder Muscular Patterns in Response to Repetitive Motion Induced Fatigue. J. Electromyogr. Kinesiol. 2013, 23, 1183–1189. [Google Scholar] [CrossRef]
- Fedorowich, L.M.; Emery, K.; Côté, J.N. The Effect of Walking While Typing on Neck/Shoulder Patterns. Eur. J. Appl. Physiol. 2015, 115, 1813–1823. [Google Scholar] [CrossRef] [PubMed]
- Farias Zuniga, A.M.; Côté, J.N. Effects of Dual Monitor Computer Work Versus Laptop Work on Cervical Muscular and Proprioceptive Characteristics of Males and Females. Hum. Factors 2017, 59, 546–563. [Google Scholar] [CrossRef]
- Yoon, S.; Lefrançois-Daignault, T.; Côté, J.N. The Effect of Cycling While Typing on Patterns of Upper Body Muscle Activation. Hum. Factors 2021, 00187208211022147. [Google Scholar] [CrossRef] [PubMed]
- Castillo, C.S.M.; Vaidyanathan, R.; Atashzar, S.F. Synergistic Upper-limb Functional Muscle Connectivity using Acoustic Mechanomyography. IEEE. Trans. Biomed. Eng. 2022, in press. [Google Scholar] [CrossRef]
- Jeong, J.; Gore, J.C.; Peterson, B.S. Mutual Information Analysis of the EEG in Patients with Alzheimer’s Disease. Clin. Neurophysiol. 2001, 112, 827–835. [Google Scholar] [CrossRef]
- Johansen, T.I.; Samani, A.; Antle, D.M.; Côté, J.N.; Madeleine, P. Gender Effects on the Coordination of Subdivisions of the Trapezius Muscle during a Repetitive Box-Folding Task. Eur. J. Appl. Physiol. 2013, 113, 175–182. [Google Scholar] [CrossRef] [PubMed]
- Kojadinovic, I. Relevance Measures for Subset Variable Selection in Regression Problems Based on K-Additive Mutual Information. Comput. Stat. Data Anal. 2005, 49, 1205–1227. [Google Scholar] [CrossRef]
- Kawczyński, A.; Samani, A.; Mroczek, D.; Chmura, P.; Błach, W.; Migasiewicz, J.; Klich, S.; Chmura, J.; Madeleine, P. Functional Connectivity between Core and Shoulder Muscles Increases during Isometric Endurance Contractions in Judo Competitors. Eur. J. Appl. Physiol. 2015, 115, 1351–1358. [Google Scholar] [CrossRef]
- Madeleine, P.; Samani, A.; Binderup, A.T.; Stensdotter, A.K. Changes in the Spatio-Temporal Organization of the Trapezius Muscle Activity in Response to Eccentric Contractions. Scand. J. Med. Sci. Sports 2011, 21, 277–286. [Google Scholar] [CrossRef] [PubMed]
- Svendsen, J.H.; Samani, A.; Mayntzhusen, K.; Madeleine, P. Muscle Coordination and Force Variability during Static and Dynamic Tracking Tasks. Hum. Mov. Sci. 2011, 30, 1039–1051. [Google Scholar] [CrossRef]
- Madeleine, P.; Xie, Y.; Szeto, G.P.; Samani, A. Effects of Chronic Neck–Shoulder Pain on Normalized Mutual Information Analysis of Surface Electromyography during Functional Tasks. Clin. Neurophysiol. 2016, 127, 3110–3117. [Google Scholar] [CrossRef]
- Greiner, T.M. Hand Anthropometry of U.S. Army Personnel; Army Natick Research Development and Engineering Center: Natick, MA, USA, 1991. [Google Scholar]
- Eastman Kodak Company. Ergonomic Design for People at Work; Lifetime Learning Publications: Belmont, CA, USA, 1983; pp. 140–159. [Google Scholar]
- Chang, J.; Jung, K.; Lee, W.; You, H. Development of a Usability Evaluation Method Using Natural Product-Use Motion. Appl. Ergon. 2017, 60, 171–182. [Google Scholar] [CrossRef] [PubMed]
- Perotto, A.O. Anatomical Guide for the Electromyographer: The Limbs and Trunk, 5th ed.; Charles C Thomas Publisher: Springfield, IL, USA, 2011. [Google Scholar]
- Stegeman, D.F.; Hermens, H.J. Standards for surface electromyography: The European project (SENIAM). In Electromyography Application Areas and Parameters. In Proceedings of the 3rd General SENIAM Workshop on Surface Electromyography, Aachen, Germany, 15–16 May 1998; pp. 108–112. [Google Scholar]
- Caldwell, L.S.; Chaffin, D.B.; Dukes-Dobos, F.N.; Kroemer, K.H.E.; Laubach, L.L.; Snook, S.H.; Wasserman, D.E. A Proposed Standard Procedure for Static Muscle Strength Testing. Am. Ind. Hyg. Assoc. J. 1974, 35, 201–206. [Google Scholar] [CrossRef] [PubMed]
- Fedorowich, L.M.; Côté, J.N. Effects of Standing on Typing Task Performance and Upper Limb Discomfort, Vascular and Muscular Indicators. Appl. Ergon. 2018, 72, 121–127. [Google Scholar] [CrossRef] [PubMed]
- Konrad, P. The abc of emg. A Practical Introduction to Kinesiological Electromyography; Noraxon INC.: Scottsdale, AZ, USA, 2005. [Google Scholar]
- Eastough, D.; Edwards, M.G. Movement Kinematics in Prehension Are Affected by Grasping Objects of Different Mass. Exp. Brain Res. 2007, 176, 193–198. [Google Scholar] [CrossRef] [PubMed]
- Imrhan, S.N.; Ramakrishnan, U. The Effects of Arm Elevation, Direction of Pull and Speed of Pull on Isokinetic Pull Strength. Int. J. Ind. Ergon. 1992, 9, 265–273. [Google Scholar] [CrossRef]
- Riemann, B.L.; Davis, S.E.; Huet, K.; Davies, G.J. Intersession Reliability of Upper Extremity Isokinetic Push-pull Testing. Int. J. Sports Phys. Ther. 2016, 11, 85–93. [Google Scholar]
- Hawkes, D.H.; Khaiyat, O.A.; Howard, A.J.; Kemp, G.J.; Frostick, S.P. Patterns of Muscle Coordination during Dynamic Glenohumeral Joint Elevation: An EMG Study. PLoS ONE 2019, 14, e0211800. [Google Scholar] [CrossRef]
- Paoli, A.; Marcolin, G.; Petrone, N. Influence of Different Ranges of Motion on Selective Recruitment of Shoulder Muscles in the Sitting Military Press: An Electromyographic Study. J. Strength Cond. Res. 2010, 24, 1578–1583. [Google Scholar] [CrossRef]
- Ciccarelli, M.; Straker, L.; Mathiassen, S.E.; Pollock, C. Variation in Muscle Activity Among Office Workers When Using Different Information Technologies at Work and Away from Work. Hum. Factors 2013, 55, 911–923. [Google Scholar] [CrossRef]
- Song, D.; Kim, E.; Bak, H.; Shin, G. Effect of Hand Loads on Upper Extremity Muscle Activity during Pushing and Pulling Motions. Appl. Ergon. 2021, 96, 103504. [Google Scholar] [CrossRef]
- Lear, L.J.; Gross, M.T. An Electromyographical Analysis of the Scapular Stabilizing Synergists During a Push-up Progression. J. Orthop. Sports Phys. Ther. 1998, 28, 146–157. [Google Scholar] [CrossRef] [PubMed]
- Park, S.-I.; Choi, Y.-K.; Lee, J.-H.; Kim, Y.-M. Effects of Shoulder Stabilization Exercise on Pain and Functional Recovery of Shoulder Impingement Syndrome Patients. J. Phys. Ther. Sci. 2013, 25, 1359–1362. [Google Scholar] [CrossRef] [PubMed][Green Version]
- Wochatz, M.; Rabe, S.; Wolter, M.; Engel, T.; Mueller, S.; Mayer, F. Muscle Activity of Upper and Lower Trapezius and Serratus Anterior during Unloaded and Maximal Loaded Shoulder Flexion and Extension. Int. Biomech. 2017, 4, 68–76. [Google Scholar] [CrossRef]
- Jain, R.; Meena, M.L.; Sain, M.K.; Dangayach, G.S. Impact of posture and upper-limb muscle activity on grip strength. Int. J. Occup. Saf. Ergon. 2019, 25, 614–620. [Google Scholar] [CrossRef] [PubMed]
- Mukaiyama, K.; Irie, K.; Takeda, M.; Yamashita, R.; Uemura, S.; Kanazawa, S.; Nagai-Tanima, M.; Aoyama, T. Load distribution and forearm muscle activity during cylinder grip at various grip strength values. Hand Surg. Rehabil. 2022, 41, 176–182. [Google Scholar] [CrossRef] [PubMed]






| Muscle | Electrode Location | MVC Protocol |
|---|---|---|
| Extensor Carpi Ulnaris | Just above the shaft of ulna | Wrist extension against dorsal resistance of hand with the upper arm straight down, the elbow flexed at 90°, the forearm pronated, and neutral wrist, in a seated position |
| Brachioradialis | Midway between biceps tendon and lateral epicondyle along flexor crease | Forearm flexion against a rigid resistance with the upper arm straight down and the elbow flexed at 90°, in a seated position |
| Biceps Brachii | The bulk of the muscle in mid-arm | Elbow flexion against a rigid resistance with the shoulder flexed at 90° and the elbow flexed at 90°, in a kneeling position |
| Deltoid Middle | Halfway between the tip of the acromion and the deltoid tubercle | Shoulder abduction against a rigid resistance with the shoulder abducted at 90° in a seated position |
| Upper Trapezius | At angle of neck and shoulder | Shoulder elevation against rigid resistance |
| Group Number | Condition Number | Weight Assigned to Each Inner-Space (Unit: g) | |||
|---|---|---|---|---|---|
| Inner-Space A | Inner-Space B | Inner-Space C | Inner-Space D | ||
| G1 | 1 | 200 | 200 | 200 | 200 |
| G2 | 2 | 450 | 150 | 100 | 100 |
| 3 | 450 | 100 | 150 | 100 | |
| 4 | 450 | 100 | 100 | 150 | |
| G3 | 5 | 150 | 450 | 100 | 100 |
| 6 | 100 | 450 | 150 | 100 | |
| 7 | 100 | 450 | 100 | 150 | |
| G4 | 8 | 150 | 100 | 450 | 100 |
| 9 | 100 | 150 | 450 | 100 | |
| 10 | 100 | 100 | 450 | 150 | |
| G5 | 11 | 150 | 100 | 100 | 450 |
| 12 | 100 | 150 | 100 | 450 | |
| 13 | 100 | 100 | 150 | 450 | |
| Dependent Variable | Mean (Standard Error) | |||||
|---|---|---|---|---|---|---|
| Weight Distribution Group | ||||||
| G1 | G2 | G3 | G4 | G5 | ||
| %MVC (unit: %) | ECU | 13.0 (1.9) | 12.8 (1.8) | 12.6 (1.8) | 13.3 (1.8) | 14.3 (1.9) |
| BR | 10.6 (1.1) | 11.5 (1.2) | 11.2 (1.2) | 10.6 (1.2) | 10.6 (1.3) | |
| BB | 6.0 (0.8) | 6.6 (1.0) | 6.4 (0.9) | 5.9 (0.9) | 5.7 (0.9) | |
| DM | 13.5 (1.3) | 13.4 (1.2) | 13.0 (1.2) | 14.1 (1.3) | 14.4 (1.4) | |
| UT | 9.7 (1.9) | 10.6 (2.1) | 10.2 (2.0) | 10.4 (1.9) | 11.0 (2.1) | |
| CV (unit: %) | ECU | 35.6 (3.3) | 34.3 (2.8) | 35.9 (3.1) | 33.8 (2.9) | 33.7 (2.9) |
| BR | 34.1 (2.9) | 34.0 (3.2) | 35.0 (3.0) | 35.7 (3.0) | 37.5 (3.8) | |
| BB | 44.9 (3.4) | 45.4 (3.4) | 45.6 (3.3) | 46.4 (3.3) | 47.6 (3.7) | |
| DM | 44.3 (3.0) | 43.5 (3.3) | 44.3 (3.5) | 44.4 (3.4) | 43.3 (3.2) | |
| UT | 49.6 (3.9) | 50.6 (4.3) | 49.0 (4.1) | 49.7 (4.4) | 47.8 (4.7) | |
| NMI | ECU-BR | 0.089 (0.008) | 0.092 (0.008) | 0.090 (0.008) | 0.087 (0.008) | 0.091 (0.009) |
| ECU-BB | 0.062 (0.005) | 0.064 (0.006) | 0.062 (0.006) | 0.063 (0.006) | 0.064 (0.007) | |
| ECU-DM | 0.086 (0.007) | 0.084 (0.007) | 0.083 (0.007) | 0.087 (0.007) | 0.090 (0.008) | |
| ECU-UT | 0.074 (0.006) | 0.077 (0.007) | 0.075 (0.006) | 0.078 (0.006) | 0.080 (0.007) | |
| BR-BB | 0.065 (0.004) | 0.069 (0.005) | 0.069 (0.005) | 0.067 (0.005) | 0.065 (0.005) | |
| BR-DM | 0.082 (0.006) | 0.083 (0.006) | 0.082 (0.006) | 0.083 (0.006) | 0.083 (0.006) | |
| BR-UT | 0.072 (0.006) | 0.077 (0.006) | 0.075 (0.006) | 0.074 (0.006) | 0.075 (0.007) | |
| BB-DM | 0.076 (0.005) | 0.077 (0.005) | 0.076 (0.006) | 0.078 (0.006) | 0.077 (0.006) | |
| BB-UT | 0.068 (0.007) | 0.073 (0.007) | 0.071 (0.007) | 0.070 (0.007) | 0.069 (0.007) | |
| DM-UT | 0.090 (0.008) | 0.093 (0.008) | 0.090 (0.008) | 0.094 (0.008) | 0.094 (0.009) | |
| Dependent Variable | Ranking of Weight Distribution Groups | F(4, 68) | p-Value | |
|---|---|---|---|---|
| %MVC (unit: %) | ECU | G5 α, G4 α,β > G4 α,β, G1 β, G2 β, G3 β | 4.27 | 0.0038 |
| BR | G2, G3, G1, G5, G4 | 2.40 | 0.0583 | |
| BB | G2 α, G3 α,β, G1 α,β,γ > G3 α,β, G1 α,β,γ, G4 β,γ > G1 α,β,γ, G4 β,γ, G5 γ | 6.81 | 0.0001 | |
| DM | G5 α, G4 α,β, G1 α,β, G2 α,β > G4 α,β, G1 α,β, G2 α,β, G3 β | 3.65 | 0.0094 | |
| UT | G5, G2, G4, G3, G1 | 2.08 | 0.0931 | |
| CV (unit: %) | ECU | G3 α, G1 α, G2 α, G4 α, G5 α | 2.78 | 0.0335 |
| BR | G5 α, G4 α, G3 α, G1 α, G2 α | 2.67 | 0.0394 | |
| BB | G5, G4, G3, G2, G1 | 0.84 | 0.5017 | |
| DM | G4, G1, G3, G2, G5 | 0.43 | 0.7892 | |
| UT | G2, G4, G1, G3, G5 | 0.90 | 0.4680 | |
| NMI | ECU-BR | G2, G5, G3, G1, G4 | 1.10 | 0.3653 |
| ECU-BB | G5, G2, G4, G3, G1 | 1.06 | 0.3829 | |
| ECU-DM | G5 α, G4 α,β, G1 α,β > G4 α,β, G1 α,β, G2 β, G3 β | 4.89 | 0.0016 | |
| ECU-UT | G5 α, G4 α,β, G2 α,β > G4 α,β, G2 α,β, G3 β, G1 β | 3.23 | 0.0174 | |
| BR-BB | G2 α, G3 α, G4 α, G5 α, G1 α | 2.74 | 0.0356 | |
| BR-DM | G2, G4, G5, G1, G3 | 0.41 | 0.7989 | |
| BR-UT | G2, G3, G5, G4, G1 | 1.72 | 0.1562 | |
| BB-DM | G4, G2, G5, G3, G1 | 0.74 | 0.5654 | |
| BB-UT | G2 α, G3 α,β, G4 α,β, G5 α,β > G3 α,β, G4 α,β, G5 α,β, G1 β | 3.59 | 0.0102 | |
| DM-UT | G5, G4, G2, G1, G3 | 1.91 | 0.1184 | |
Publisher’s Note: MDPI stays neutral with regard to jurisdictional claims in published maps and institutional affiliations. |
© 2022 by the authors. Licensee MDPI, Basel, Switzerland. This article is an open access article distributed under the terms and conditions of the Creative Commons Attribution (CC BY) license (https://creativecommons.org/licenses/by/4.0/).
Share and Cite
Yu, H.; Kang, E.; Chang, J. A Study on sEMG-Based Motor Variability and Functional Connectivity of the Upper Limb Depending on Weight Distributions in a Handle of a Cordless Stick-Type Vacuum Cleaner. Sensors 2022, 22, 4835. https://doi.org/10.3390/s22134835
Yu H, Kang E, Chang J. A Study on sEMG-Based Motor Variability and Functional Connectivity of the Upper Limb Depending on Weight Distributions in a Handle of a Cordless Stick-Type Vacuum Cleaner. Sensors. 2022; 22(13):4835. https://doi.org/10.3390/s22134835
Chicago/Turabian StyleYu, Hayeon, Eunchae Kang, and Joonho Chang. 2022. "A Study on sEMG-Based Motor Variability and Functional Connectivity of the Upper Limb Depending on Weight Distributions in a Handle of a Cordless Stick-Type Vacuum Cleaner" Sensors 22, no. 13: 4835. https://doi.org/10.3390/s22134835
APA StyleYu, H., Kang, E., & Chang, J. (2022). A Study on sEMG-Based Motor Variability and Functional Connectivity of the Upper Limb Depending on Weight Distributions in a Handle of a Cordless Stick-Type Vacuum Cleaner. Sensors, 22(13), 4835. https://doi.org/10.3390/s22134835

