Acceleration of Intrusion Detection in Encrypted Network Traffic Using Heterogeneous Hardware †
Abstract
1. Introduction
- We generate signatures for intrusion detection using strictly packet metadata extracted from packet headers, making our engine suitable for encrypted network traffic. More specifically, we focus on packet payload size and packet direction.
- Aiming to advance the state-of-the-art, we propose and present the implementation of a signature-based intrusion detection engine tailored for packet metadata and not packet contents. Current state-of-the-art techniques examine only the feasibility of classifying traffic using packet metadata, without offering a real traffic inspection engine implementation.
- We evaluate our work in two parts: the (i) signature quality and (ii) pattern matching engine performance. Current state-of-the-art techniques examine only the accuracy of the proposed analysis techniques.
- We extend the most popular string searching algorithm, Aho–Corasick, to also support integers, for packet metadata matching. To improve the processing throughput of the intrusion detection engine, we use off-the-shelf GPUs and a commodity CPU.
2. Encrypted Traffic Signatures
2.1. Encrypted Traffic Signature Generation
Fine-Grained Signatures
2.2. Ground-Truth Dataset Manipulation
3. Intrusion Detection Engine
3.1. Automaton
3.2. Implementing with OpenCL
3.3. Packet Processing Parallelization
4. Evaluation
4.1. Signature Quality
4.2. Performance Micro-Benchmarks
4.2.1. Automaton Properties
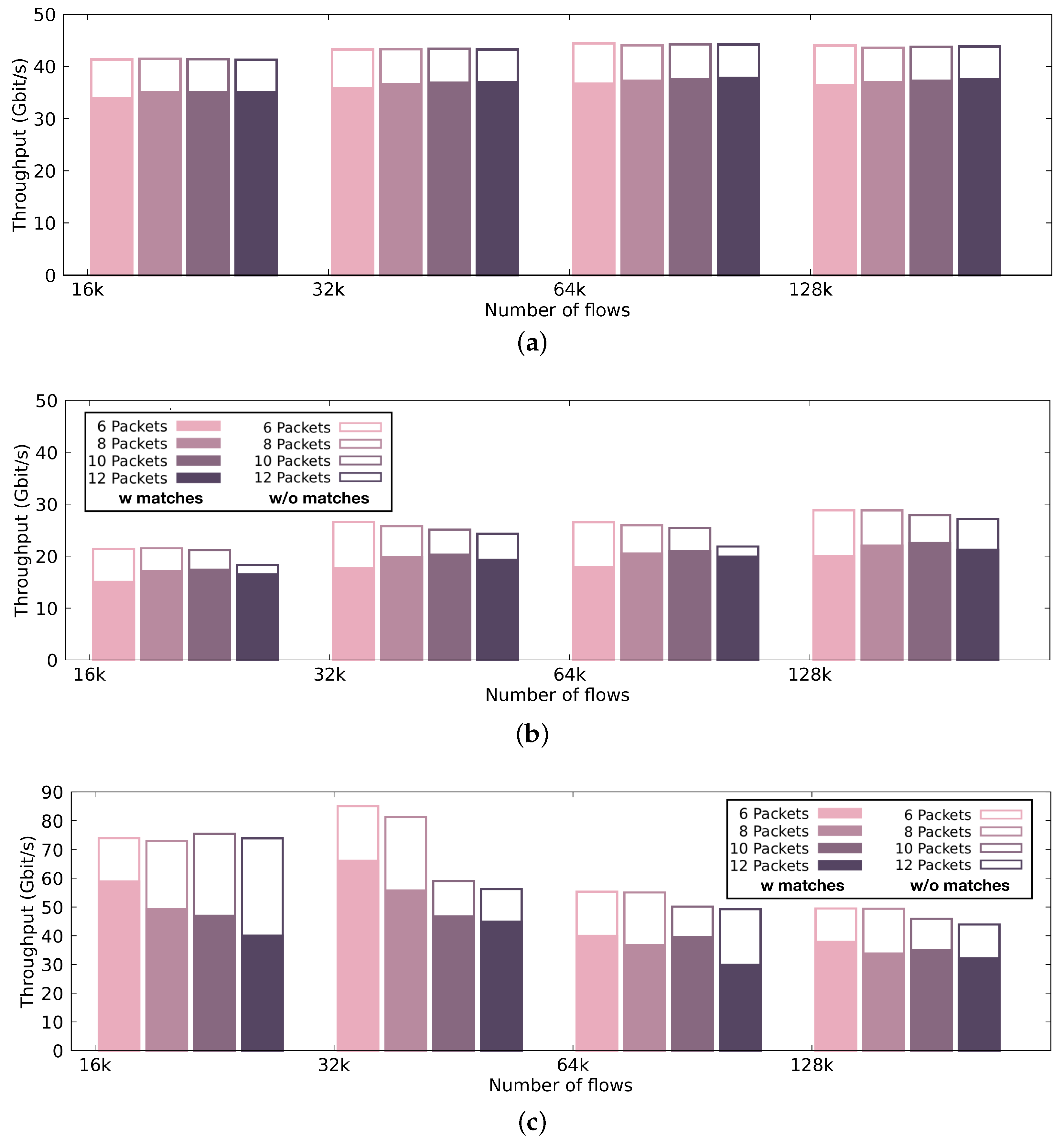
4.2.2. Throughput
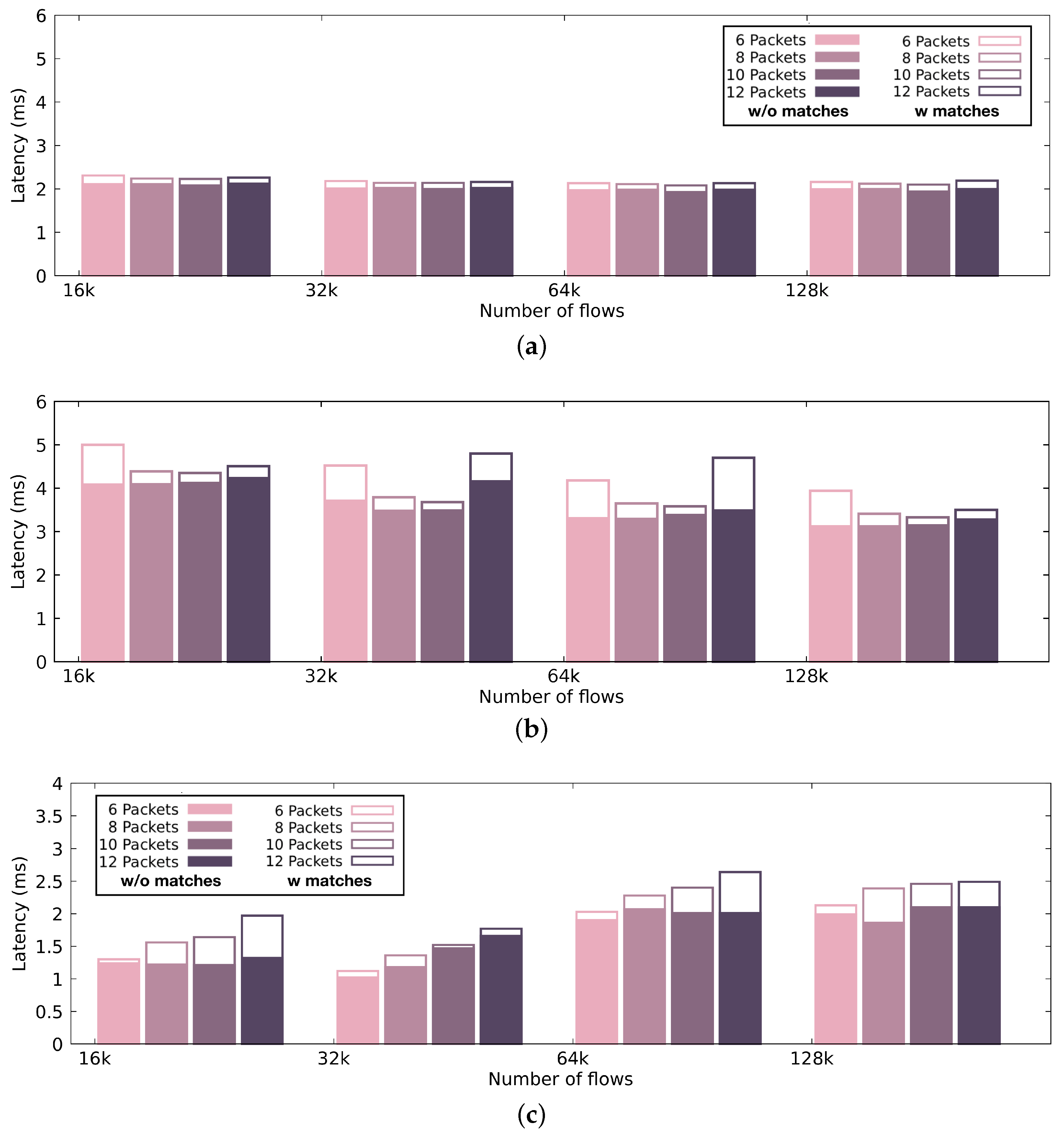
4.2.3. Latency
5. Related Work
Traffic Analysis Resistance
6. Conclusions
Author Contributions
Funding
Institutional Review Board Statement
Informed Consent Statement
Data Availability Statement
Acknowledgments
Conflicts of Interest
References
- Managing Encrypted Traffic with Symantec Solutions. Available online: https://www.symantec.com/content/dam/symantec/docs/solution-briefs/ssl-visibility-en.pdf (accessed on 11 July 2019).
- The Rapid Growth of SSL Encryption: The Dark Side of SSL That Today’s Enterprise Can’t Ignore. Available online: https://www.fortinet.com/content/dam/fortinet/assets/white-papers/WP-The-Rapid-Growth-Of-SSL-Encryption.pdf (accessed on 11 July 2019).
- Rizzo, L.; Carbone, M.; Catalli, G. Transparent acceleration of software packet forwarding using netmap. In Proceedings of the 2012 Proceedings IEEE INFOCOM, Orlando, FL, USA, 25–30 March 2012; pp. 2471–2479. [Google Scholar]
- Application Layer Packet Classifier for Linux. Available online: http://l7-filter.sourceforge.net/ (accessed on 7 December 2019).
- Conti, M.; Mancini, L.V.; Spolaor, R.; Verde, N.V. Analyzing android encrypted network traffic to identify user actions. IEEE Trans. Inform. Forensics Secur. 2016, 11, 114–125. [Google Scholar] [CrossRef]
- Papadogiannaki, E.; Halevidis, C.; Akritidis, P.; Koromilas, L. OTTer: A Scalable High-Resolution Encrypted Traffic Identification Engine. In Proceedings of the International Symposium on Research in Attacks, Intrusions, and Defenses, Heraklion, Greece, 10–12 September 2018; Springer: Cham, Switzerland, 2018; pp. 315–334. [Google Scholar]
- Rosner, N.; Kadron, I.B.; Bang, L.; Bultan, T. Profit: Detecting and Quantifying Side Channels in Networked Applications. 2019. Available online: https://www.ndss-symposium.org/about/ (accessed on 4 February 2021).
- Vasiliadis, G.; Koromilas, L.; Polychronakis, M.; Ioannidis, S. GASPP: A GPU-Accelerated Stateful Packet Processing Framework. In Proceedings of the 2014 USENIX Annual Technical Conference, Philadelphia, PA, USA, 19–20 June 2014; pp. 321–332. [Google Scholar]
- Vasiliadis, G.; Polychronakis, M.; Ioannidis, S. MIDeA: A Multi-Parallel Intrusion Detection Architecture. In Proceedings of the 18th ACM Conference on Computer and Communications Security, Chicago, IL, USA, 17–21 October 2011. [Google Scholar]
- Papadogiannaki, E.; Koromilas, L.; Vasiliadis, G.; Ioannidis, S. Efficient software packet processing on heterogeneous and asymmetric hardware architectures. IEEE/ACM Trans. Netw. 2017, 25, 1593–1606. [Google Scholar] [CrossRef]
- Go, Y.; Jamshed, M.A.; Moon, Y.; Hwang, C.; Park, K. APUNet: Revitalizing GPU as Packet Processing Accelerator. In Proceedings of the 14th USENIX Symposium on Networked Systems Design and Implementation (NSDI 17), Boston, MA, USA, 27–29 March 2017; pp. 83–96. [Google Scholar]
- Kim, J.; Jang, K.; Lee, K.; Ma, S.; Shim, J.; Moon, S. NBA (network balancing act): A high-performance packet processing framework for heterogeneous processors. In Proceedings of the Tenth European Conference on Computer Systems, Bordeaux, France, 21–24 April 2015; p. 22. [Google Scholar]
- The UNSW-NB15 Dataset. Available online: https://www.unsw.adfa.edu.au/unsw-canberra-cyber/cybersecurity/ADFA-NB15-Datasets/ (accessed on 6 November 2019).
- Papadogiannaki, E.; Deyannis, D.; Ioannidis, S. Head (er) Hunter: Fast Intrusion Detection using Packet Metadata Signatures. In Proceedings of the 2020 IEEE 25th International Workshop on Computer Aided Modeling and Design of Communication Links and Networks (CAMAD), Pisa, Italy, 14–16 September 2020; pp. 1–6. [Google Scholar]
- Moustafa, N.; Slay, J. UNSW-NB15: A comprehensive data set for network intrusion detection systems (UNSW-NB15 network data set). In Proceedings of the 2015 Military Communications and Information Systems Conference (MilCIS), Canberra, Australia, 10–12 November 2015; pp. 1–6. [Google Scholar]
- Aho, A.V.; Corasick, M.J. Efficient string matching: An aid to bibliographic search. Commun. ACM 1975, 18, 333–340. [Google Scholar] [CrossRef]
- Shen, J.; Fang, J.; Sips, H.; Varbanescu, A.L. Performance Traps in OpenCL for CPUs. In Proceedings of the 2013 21st Euromicro International Conference on Parallel, Distributed, and Network-Based Processing, Belfast, UK, 17 February–1 March 2013. [Google Scholar]
- Dobrescu, M.; Egi, N.; Argyraki, K.; Chun, B.G.; Fall, K.; Iannaccone, G.; Knies, A.; Manesh, M.; Ratnasamy, S. RouteBricks: Exploiting Parallelism to Scale Software Routers. In Proceedings of the 22nd ACM Symposium on Operating Systems Principles, Big Sky, MT, USA, 11–14 October 2009. [Google Scholar]
- Han, S.; Jang, K.; Park, K.; Moon, S. PacketShader: A GPU-accelerated software router. In Proceedings of the SIGCOMM, Conference on Applications, Technologies, Architectures, and Protocols for Computer Communications, New Delhi, India, 30 August–3 September 2010. [Google Scholar]
- The Snort IDS/IPS. Available online: https://www.snort.org/ (accessed on 8 July 2019).
- Suricata Open Source IDS/IPS/NSM Engine. Available online: https://www.suricata-ids.org/ (accessed on 8 July 2019).
- The Zeek Network Security Monitor. Available online: https://www.zeek.org/ (accessed on 8 July 2019).
- Vasiliadis, G.; Antonatos, S.; Polychronakis, M.; Markatos, E.P.; Ioannidis, S. Gnort: High Performance Network Intrusion Detection Using Graphics Processors. In Proceedings of the 11th International Symposium on Recent Advances in Intrusion Detection, Cambridge, MA, USA, 15–17 September 2008. [Google Scholar]
- Taylor, V.F.; Spolaor, R.; Conti, M.; Martinovic, I. Robust smartphone app identification via encrypted network traffic analysis. IEEE Trans. Inform. Forensics Secur. 2017, 13, 63–78. [Google Scholar] [CrossRef]
- Mirsky, Y.; Doitshman, T.; Elovici, Y.; Shabtai, A. Kitsune: An ensemble of autoencoders for online network intrusion detection. arXiv 2018, arXiv:1802.09089. [Google Scholar]
- Vasiliadis, G.; Polychronakis, M.; Antonatos, S.; Markatos, E.P.; Ioannidis, S. Regular Expression Matching on Graphics Hardware for Intrusion Detection. In Proceedings of the 12th International Symposium on Recent Advances in Intrusion Detection, Saint-Malo, France, 23–25 September 2009. [Google Scholar]
- Huang, N.F.; Hung, H.W.; Lai, S.H.; Chu, Y.M.; Tsai, W.Y. A gpu-based multiple-pattern matching algorithm for network intrusion detection systems. In Proceedings of the 22nd International Conference on Advanced Information Networking and Applications-Workshops (Aina Workshops 2008), Okinawa, Japan, 25–28 March 2008; pp. 62–67. [Google Scholar]
- Smith, R.; Goyal, N.; Ormont, J.; Sankaralingam, K.; Estan, C. Evaluating GPUs for network packet signature matching. In Proceedings of the 2009 IEEE International Symposium on Performance Analysis of Systems and Software, Boston, MA, USA, 26–28 April 2009; pp. 175–184. [Google Scholar]
- Paxson, V.; Sommer, R.; Weaver, N. An architecture for exploiting multi-core processors to parallelize network intrusion prevention. In Proceedings of the 2007 IEEE Sarnoff Symposium, Princeton, NJ, USA, 30 April–2 May 2007; pp. 1–7. [Google Scholar]
- Vallentin, M.; Sommer, R.; Lee, J.; Leres, C.; Paxson, V.; Tierney, B. The NIDS cluster: Scalable, stateful network intrusion detection on commodity hardware. In Proceedings of the International Workshop on Recent Advances in Intrusion Detection, Gold Goast, Australia, 5–7 September 2007; Springer: Berlin/Heidelberg, Germany, 2007; pp. 107–126. [Google Scholar]
- Clark, C.; Lee, W.; Schimmel, D.; Contis, D.; Koné, M.; Thomas, A. A hardware platform for network intrusion detection and prevention. In Proceedings of the 3rd Workshop on Network Processors and Applications (NP3), Madrid, Spain, 14–18 February 2004. [Google Scholar]
- Meiners, C.R.; Patel, J.; Norige, E.; Torng, E.; Liu, A.X. Fast regular expression matching using small TCAMs for network intrusion detection and prevention systems. In Proceedings of the 19th USENIX conference on Security, USENIX Association, Washington, DC, USA, 11–13 August 2010; p. 8. [Google Scholar]
- Sourdis, I.; Pnevmatikatos, D. Pre-decoded CAMs for efficient and high-speed NIDS pattern matching. In Proceedings of the 12th Annual IEEE Symposium on Field-Programmable Custom Computing Machines, Napa, CA, USA, 20–23 April 2004; pp. 258–267. [Google Scholar]
- Yu, F.; Katz, R.H.; Lakshman, T.V. Gigabit rate packet pattern-matching using TCAM. In Proceedings of the IEEE 12th IEEE International Conference on Network Protocols, Berlin, Germany, 8 October 2004; pp. 174–183. [Google Scholar]
- Sonchack, J.; Michel, O.; Aviv, A.J.; Keller, E.; Smith, J.M. Scaling Hardware Accelerated Network Monitoring to Concurrent and Dynamic Queries with *Flow. In Proceedings of the USENIX Annual Technical Conference, Boston, MA, USA, 11–13 July 2018; pp. 823–835. [Google Scholar]
- Wang, Z. Deep learning-based intrusion detection with adversaries. IEEE Access 2018, 6, 38367–38384. [Google Scholar] [CrossRef]
- Kim, J.; Kim, J.; Thu, H.L.T.; Kim, H. Long short term memory recurrent neural network classifier for intrusion detection. In Proceedings of the IEEE 2016 International Conference on Platform Technology and Service (PlatCon), Jeju, Korea, 15–17 February 2016; pp. 1–5. [Google Scholar]
- Sommer, R.; Paxson, V. Outside the closed world: On using machine learning for network intrusion detection. In Proceedings of the IEEE 2010 IEEE Symposium on Security and Privacy, Berkeley, CA, USA, 16–19 May 2010; pp. 305–316. [Google Scholar]
- Shone, N.; Ngoc, T.N.; Phai, V.D.; Shi, Q. A deep learning approach to network intrusion detection. IEEE Trans. Emerg. Top. Comput. Intell. 2018, 2, 41–50. [Google Scholar] [CrossRef]
- Tang, T.A.; Mhamdi, L.; McLernon, D.; Zaidi, S.A.R.; Ghogho, M. Deep learning approach for network intrusion detection in software defined networking. In Proceedings of the IEEE 2016 International Conference on Wireless Networks and Mobile Communications (WINCOM), Fez, Morocco, 26–29 October 2016; pp. 258–263. [Google Scholar]
- Niyaz, Q.; Sun, W.; Javaid, A.Y. A deep learning based DDoS detection system in software-defined networking (SDN). arXiv 2016, arXiv:1611.07400. [Google Scholar] [CrossRef]
- Anderson, B.; McGrew, D. Machine learning for encrypted malware traffic classification: Accounting for noisy labels and non-stationarity. In Proceedings of the 23rd ACM SIGKDD International Conference on Knowledge Discovery and Data Mining, Halifax, NS, Canada, 13–17 August 2017; pp. 1723–1732. [Google Scholar]
- Amoli, P.V.; Hamalainen, T.; David, G.; Zolotukhin, M.; Mirzamohammad, M. Unsupervised network intrusion detection systems for zero-day fast-spreading attacks and botnets. JDCTA Int. J. Digit. Content Technol. Appl. 2016, 10, 1–13. [Google Scholar]
- Sherry, J.; Lan, C.; Popa, R.A.; Ratnasamy, S. Blindbox: Deep packet inspection over encrypted traffic. ACM SIGCOMM Comput. Commun. Rev. 2015, 45, 213–226. [Google Scholar] [CrossRef]
- Fadlullah, Z.M.; Taleb, T.; Ansari, N.; Hashimoto, K.; Miyake, Y.; Nemoto, Y.; Kato, N. Combating against attacks on encrypted protocols. In Proceedings of the IEEE 2007 IEEE International Conference on Communications, Glasgow, UK, 24–28 June 2007; pp. 1211–1216. [Google Scholar]
- Taleb, T.; Fadlullah, Z.M.; Hashimoto, K.; Nemoto, Y.; Kato, N. Tracing back attacks against encrypted protocols. In Proceedings of the ACM 2007 international Conference on Wireless Communications and Mobile Computing, Honolulu, HI, USA, 12–16 August 2007; pp. 121–126. [Google Scholar]
- Kilic, F.; Eckert, C. iDeFEND: Intrusion detection framework for encrypted network data. In Proceedings of the International Conference on Cryptology and Network Security, Marrakesh, Morocco, 10–12 December 2015; Springer: Berlin/Heidelberg, Germany, 2015; pp. 111–118. [Google Scholar]
- Goh, V.T.; Zimmermann, J.; Looi, M. Experimenting with an intrusion detection system for encrypted networks. Int. J. Bus. Intell. Data Min. 2010, 5, 172–191. [Google Scholar] [CrossRef]
- Goh, V.T.; Zimmermann, J.; Looi, M. Intrusion detection system for encrypted networks using secret-sharing schemes. In Proceedings of the 2nd International Cryptology Conference 2010, Melaka, Malaysia, 9 June–1 July 2010. [Google Scholar]
- Joglekar, S.P.; Tate, S.R. Protomon: Embedded monitors for cryptographic protocol intrusion detection and prevention. In Proceedings of the IEEE International Conference on Information Technology: Coding and Computing 2004, Las Vegas, NV, USA, 5–7 April 2004; Volume 1, pp. 81–88. [Google Scholar]
- Hellemons, L.; Hendriks, L.; Hofstede, R.; Sperotto, A.; Sadre, R.; Pras, A. SSHCure: A flow-based SSH intrusion detection system. In Proceedings of the IFIP International Conference on Autonomous Infrastructure, Management and Security, Luxembourg, 4–8 June 2012; Springer: Berlin/Heidelberg, Germany, 2012; pp. 86–97. [Google Scholar]
- Foroushani, V.A.; Adibnia, F.; Hojati, E. Intrusion detection in encrypted accesses with SSH protocol to network public servers. In Proceedings of the IEEE 2008 International Conference on Computer and Communication Engineering, Kuala Lumpur, Malaysia, 13–15 May 2008; pp. 314–318. [Google Scholar]
- Lotfollahi, M.; Siavoshani, M.J.; Zade, R.S.H.; Saberian, M. Deep packet: A novel approach for encrypted traffic classification using deep learning. Soft Comput. 2017, 24, 1999–2012. [Google Scholar] [CrossRef]
- Conti, M.; Mancini, L.V.; Spolaor, R.; Verde, N.V. Can’t you hear me knocking: Identification of user actions on android apps via traffic analysis. In Proceedings of the ACM 5th ACM Conference on Data and Application Security and Privacy, San Antonio, TX, USA, 2–4 March 2015; pp. 297–304. [Google Scholar]
- Taylor, V.F.; Spolaor, R.; Conti, M.; Martinovic, I. Appscanner: Automatic fingerprinting of smartphone apps from encrypted network traffic. In Proceedings of the 2016 IEEE European Symposium on Security and Privacy (EuroS&P), Saarbrucken, Germany, 21–24 March 2016; pp. 439–454. [Google Scholar]
- Symantec Encrypted Traffic Management. Available online: https://www.symantec.com/products/encrypted-traffic-management (accessed on 11 April 2019).
- Cisco Encrypted Traffic Analytics. Available online: https://www.cisco.com/c/en/us/solutions/enterprise-networks/enterprise-network-security/eta.html (accessed on 11 April 2019).
- Wright, C.V.; Coull, S.E.; Monrose, F. Traffic Morphing: An Efficient Defense against Statistical Traffic Analysis. Volume 9. Available online: https://www.ndss-symposium.org/ndss2009/ (accessed on 4 February 2021).
- Zhai, E.; Wolinsky, D.I.; Chen, R.; Syta, E.; Teng, C.; Ford, B. AnonRep: Towards Tracking-Resistant Anonymous Reputation; NSDI: Reston, VA, USA, 2016; pp. 583–596. [Google Scholar]
- Yu, L.; Wang, Q.; Barrineau, G.; Oakley, J.; Brooks, R.R.; Wang, K.C. TARN: A SDN-based Traffic Analysis Resistant Network Architecture. arXiv 2017, arXiv:1709.00782. [Google Scholar]
- Chen, C.; Asoni, D.E.; Perrig, A.; Barrera, D.; Danezis, G.; Troncoso, C. TARANET: Traffic-Analysis Resistant Anonymity at the NETwork layer. arXiv 2018, arXiv:1802.08415. [Google Scholar]
- Luo, X.; Zhou, P.; Chan, E.W.; Lee, W.; Chang, R.K.; Perdisci, R. HTTPOS: Sealing Information Leaks with Browser-Side Obfuscation of Encrypted Flows. Available online: https://www.ndss-symposium.org/ndss2009/ (accessed on 4 February 2021).
- Dyer, K.P.; Coull, S.E.; Ristenpart, T.; Shrimpton, T. Peek-a-boo, i still see you: Why efficient traffic analysis countermeasures fail. In Proceedings of the IEEE 2012 IEEE Symposium on Security and Privacy, San Francisco, CA, USA, 20–23 May 2012; pp. 332–346. [Google Scholar]
- Frolov, S.; Wustrow, E. The use of TLS in Censorship Circumvention. In Proceedings of the NDSS, Network and Distributed Systems Security (NDSS) Symposium 2019, San Diego, CA, USA, 24–27 February 2019. [Google Scholar]
- Wang, T.; Goldberg, I. Walkie-talkie: An efficient defense against passive website fingerprinting attacks. In Proceedings of the 26th USENIX Security Symposium (USENIX Security 17), Vancouver, BC, Canada, 16–18 August 2017; pp. 1375–1390. [Google Scholar]
- Wolinsky, D.I.; Corrigan-Gibbs, H.; Ford, B.; Johnson, A. Dissent in Numbers: Making Strong Anonymity Scale. In Proceedings of the Symposium on Operating Systems Design and Implementation OSDI, Carlsbad, CA, USA, 11–13 July 2012; pp. 179–182. [Google Scholar]
- Corrigan-Gibbs, H.; Boneh, D.; Mazières, D. Riposte: An anonymous messaging system handling millions of users. In Proceedings of the 2015 IEEE Symposium on Security and Privacy (SP), San Jose, CA, USA, 17–21 May 2015; pp. 321–338. [Google Scholar]
- Van Den Hooff, J.; Lazar, D.; Zaharia, M.; Zeldovich, N. Vuvuzela: Scalable private messaging resistant to traffic analysis. In Proceedings of the ACM 25th Symposium on Operating Systems Principles, Monterey, CA, USA, 5–7 October 2015; pp. 137–152. [Google Scholar]
- Kwon, A.; Corrigan-Gibbs, H.; Devadas, S.; Ford, B. Atom: Horizontally scaling strong anonymity. In Proceedings of the ACM 26th Symposium on Operating Systems Principles, Shanghai, China, 28–31 October 2017; pp. 406–422. [Google Scholar]
- Le Blond, S.; Choffnes, D.; Caldwell, W.; Druschel, P.; Merritt, N. Herd: A scalable, traffic analysis resistant anonymity network for VoIP systems. ACM SIGCOMM Comput. Commun. Rev. 2015, 45, 639–652. [Google Scholar] [CrossRef]
- Dingledine, R.; Mathewson, N.; Syverson, P. Tor: The Second-Generation Onion Router; Technical Report; Naval Research Lab: Washington, DC, USA, 2004. [Google Scholar]









| Direction | Signature Specification |
|---|---|
| Src → Dst | 64,100,109,109,109,5 |
| Src ↔ Dst | 64,−0,100,−100,109,−30,109,… |
| Direction | Signature Specification |
|---|---|
| Src → Dst | 64–69,100,109{2–3},5 |
| Src ↔ Dst | 64–69,−0,100,−100,109,−30,109,… |
| Name | Description |
|---|---|
| srcip | Source IP address |
| sport | Source port number |
| dstip | Destination IP address |
| dsport | Destination port number |
| proto | Transaction protocol |
| state | Protocol state |
| dur | Record total duration |
| sbytes | Source to destination bytes sent |
| dbytes | Destination to source bytes sent |
| service | e.g., http, ftp, smtp, ssh, dns |
| sload | Source bits per second |
| dload | Destination bits per second |
| spkts | Source to destination packet count |
| dpkts | Destination to source packet count |
| attack_cat | Name of attack |
| label | 0 for benign, 1 for attack records |
| Packet Sequence Length | |||||
|---|---|---|---|---|---|
| Direction | 4 | 6 | 8 | 10 | 12 |
| Source → Destination | 100% | 93% | 69% | 63% | 54% |
| Destination → Source | 100% | 55% | 37% | 30% | 30% |
| Source ↔ Destination | 100% | 100% | 97% | 74% | 61% |
| Packet Sequence Length | |||||
|---|---|---|---|---|---|
| Direction | 4 | 6 | 8 | 10 | 12 |
| Source → Destination | 100% | 89% | 89% | 89% | 87% |
| Destination → Source | 100% | 98% | 74% | 70% | 68% |
| Source ↔ Destination | 100% | 100% | 89% | 86% | 82% |
| Packet Sequence Length | |||||
|---|---|---|---|---|---|
| Direction | 4 | 6 | 8 | 10 | 12 |
| Source → Destination | 100% | 61% | 49% | 44% | 10% |
| Destination → Source | 100% | 50% | 26% | 14% | 13% |
| Source ↔ Destination | 100% | 100% | 72% | 27% | 15% |
| Packet Sequence Length | |||||
|---|---|---|---|---|---|
| Direction | 4 | 6 | 8 | 10 | 12 |
| Source → Destination | 0.8% | 0.7% | 0.6% | 0.2% | 0.1% |
| Destination → Source | 0.7% | 0.5% | 0.05% | 0% | 0% |
| Source ↔ Destination | 0.8% | 0.8% | 0.6% | 0.2% | 0% |
| Packet Sequence Length | |||||
|---|---|---|---|---|---|
| Direction | 4 | 6 | 8 | 10 | 12 |
| Source → Destination | 62% | 0.9% | 0.7% | 0.3% | 0% |
| Destination → Source | 65% | 15% | 0.1% | 0.5% | 0.3% |
| Source ↔ Destination | 63% | 63% | 0.11% | 0.1% | 0% |
| Packet Sequence Length | |||||
|---|---|---|---|---|---|
| Direction | 4 | 6 | 8 | 10 | 12 |
| Source → Destination | 62% | 43% | 30% | 21% | 18% |
| Destination → Source | 65% | 15% | 10% | 0.5% | 0.3% |
| Source ↔ Destination | 63% | 63% | 27% | 0% | 0% |
| Offline Analysis | Encrypted Traffic | Online Inspection | Performance Efficiency | Details | |
|---|---|---|---|---|---|
| Snort [20], Suricata [21], Zeek/Bro [22] | ✓ | ∘ | ✓ | ∘ | Signature/Anomaly-based, Payload inspection, Network security |
| Gnort [23], MIDeA [9] | ∘ | — | ✓ | ✓ | Signature-based, Payload inspection Network security, GPU-acceleration |
| Conti et. al [5], Taylor et. al [24], Profit [7] | ✓ | ✓ | — | — | ML-based, Network analytics |
| OTTer [6] | ✓ | ✓ | ✓ | ✓ | Signature-based, Pattern mining, Network analytics |
| Profit [7] | ✓ | ✓ | — | — | ML-based, Network analytics |
| Kitsune [25] | ✓ | ✓ | ✓ | — | Neural Network, Network security |
| HeaderHunter | ✓ | ✓ | ✓ | ✓ | Signature-based, Network security, GPU-acceleration |
Publisher’s Note: MDPI stays neutral with regard to jurisdictional claims in published maps and institutional affiliations. |
© 2021 by the authors. Licensee MDPI, Basel, Switzerland. This article is an open access article distributed under the terms and conditions of the Creative Commons Attribution (CC BY) license (http://creativecommons.org/licenses/by/4.0/).
Share and Cite
Papadogiannaki, E.; Ioannidis, S. Acceleration of Intrusion Detection in Encrypted Network Traffic Using Heterogeneous Hardware. Sensors 2021, 21, 1140. https://doi.org/10.3390/s21041140
Papadogiannaki E, Ioannidis S. Acceleration of Intrusion Detection in Encrypted Network Traffic Using Heterogeneous Hardware. Sensors. 2021; 21(4):1140. https://doi.org/10.3390/s21041140
Chicago/Turabian StylePapadogiannaki, Eva, and Sotiris Ioannidis. 2021. "Acceleration of Intrusion Detection in Encrypted Network Traffic Using Heterogeneous Hardware" Sensors 21, no. 4: 1140. https://doi.org/10.3390/s21041140
APA StylePapadogiannaki, E., & Ioannidis, S. (2021). Acceleration of Intrusion Detection in Encrypted Network Traffic Using Heterogeneous Hardware. Sensors, 21(4), 1140. https://doi.org/10.3390/s21041140
