Evaluation of a Dielectric-Only Transmitarray for Generating Multi-Focusing Near-Field Spots Using a Cluster of Feeds in the Ka-Band
Abstract
1. Introduction
2. Near-Field Multi-Focusing Spot Generation
3. Near-Field Scanning Transmitarray Feed by a Cluster
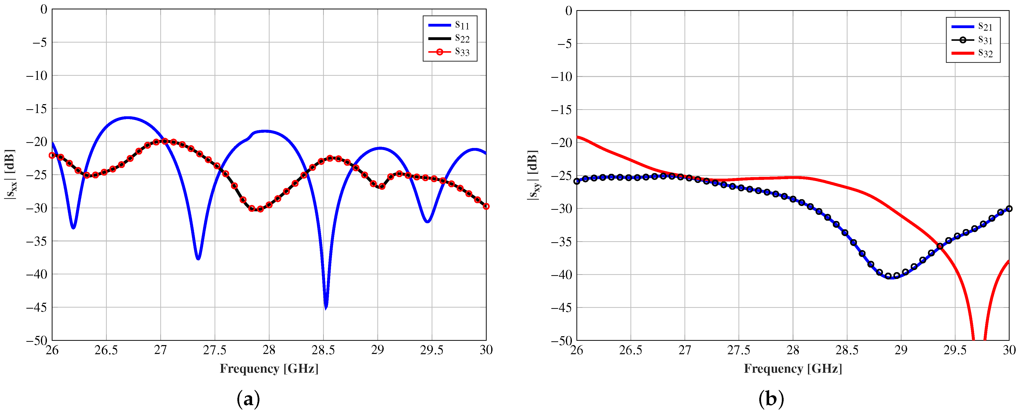
3.1. Antenna Optics and Feed Cluster
3.2. Near-Field Focused Transmitarray
4. All Dielectric Unit Cell
4.1. Working Principle
4.2. Phase Response Control with Air Inclusions
4.3. Lens Design
5. Experimental Validation
6. Conclusions
Author Contributions
Funding
Institutional Review Board Statement
Informed Consent Statement
Data Availability Statement
Conflicts of Interest
References
- Chou, H.; Hung, T.; Wang, N.; Chou, H.; Tung, C.; Nepa, P. Design of a Near-Field Focused Reflectarray Antenna for 2.4 GHz RFID Reader Applications. IEEE Trans. Antennas Propag. 2011, 59, 1013–1018. [Google Scholar] [CrossRef]
- Buffi, A.; Serra, A.A.; Nepa, P. A Focused Planar Microstrip Array for 2.4 GHz RFID Readers. IEEE Trans. Antennas Propag. 2010, 58, 1536–1544. [Google Scholar] [CrossRef]
- Bayat, N.; Mojabi, P. On the Use of Focused Incident Near-Field Beams in Microwave Imaging. Sensors 2018, 18, 3127. [Google Scholar] [CrossRef] [PubMed]
- Li, P.; Qu, S.; Yang, S. Two-Dimensional Imaging Based on Near-Field Focuseed Array Antenna. IEEE Antennas Wirel. Propag. Lett. 2019, 18, 274–278. [Google Scholar] [CrossRef]
- Loane, J.T.; Lee, S. Gain optimization of a near-field focusing array for hyperthermia applications. IEEE Trans. Microw. Theory Tech. 1989, 37, 1629–1635. [Google Scholar] [CrossRef]
- Underwood, H.R.; Peterson, A.F.; Magin, R.L. Electric-field distribution near rectangular microstrip radiators for hyperthermia heating: Theory versus experment in water. IEEE Trans. Biomed. Eng. 1992, 39, 146–153. [Google Scholar] [CrossRef]
- Buffi, A.; Nepa, P.; Manara, G. Design Criteria for Near-Field-Focused Planar Arrays. IEEE Trans. Antennas Propag. 2012, 54, 40–50. [Google Scholar] [CrossRef]
- Malyuskin, O.; Fusco, V. Near Field Focusing Using Phase Conjugating Impedance Loaded Wire Lens. IEEE Trans. Antennas Propag. 2010, 58, 2884–2893. [Google Scholar] [CrossRef]
- Martinez-de-Rioja, D.; Florencio, R.; Martinez-de-Rioja, E.; Arrebola, M.; Encinar, J.A.; Boix, R.R. Dual-Band Reflectarray to Generate Two Spaced Beams in Orthogonal Circular Polarization by Variable Rotation Technique. IEEE Trans. Antennas Propag. 2020, 68, 4617–4626. [Google Scholar] [CrossRef]
- Cruz, C.C.; Fernandes, C.A.; Matos, S.A.; Costa, J.R. Synthesis of Shaped-Beam Radiation Patterns at Millimeter-Waves Using Transmit Arrays. IEEE Trans. Antennas Propag. 2020, 66, 4017–4024. [Google Scholar] [CrossRef]
- Chou, H.-T. Conformal Near-Field Focus Radiation From Phased Array of Antennas to Enhance Power Transfer Between Transmitting and Receiving Antennas. IEEE Trans. Antennas Propag. 2020, 68, 3567–3577. [Google Scholar] [CrossRef]
- Karimkashi, S.; Kishk, A.A. Focusing Properties of Fresnel Zone Plate Lens Antenna in the Near-Field Region. IEEE Trans. Antennas Propag. 2011, 59, 1481–1487. [Google Scholar] [CrossRef]
- Garcia-Marin, E.; Filipovic, D.S.; Masa-Campos, J.L.; Sanchez-Olivares, P. Low-cost lens antenna for 5G multi-beam communication. Microw. Opt. Technol. Lett. 2020, 62, 3611–3622. [Google Scholar] [CrossRef]
- Martinez-de-Rioja, E.; Encinar, J.A.; Florencio, R.; Tienda, C. 3D Bifocal Design Method for Dual-Reflectarray Configurations with Application to Multibeam Satellite Antennas in Ka-Band. IEEE Trans. Antennas Propag. 2019, 67, 450–460. [Google Scholar] [CrossRef]
- Martinez-de-Rioja, D.; Florencio, R.; Encinar, J.A.; Carrasco, E.; Boix, R.R. Dual-Frequency Reflectarray Cell to Provide Opposite Phase Shift in Dual Circular Polarization With Application in Multibeam Satellite Antennas. IEEE Antennas Wirel. Propag. Lett. 2019, 18, 1591–1595. [Google Scholar] [CrossRef]
- Matos, S.A.; Lima, E.B.; Silva, J.S.; Costa, J.R.; Fernandes, C.A.; Fonseca, N.J.; Mosig, J.R. High Gain Dual-Band Beam-Steering Transmit Array for Satcom Terminals at Ka-Band. IEEE Trans. Antennas Propag. 2017, 65, 3528–3539. [Google Scholar] [CrossRef]
- Massaccesi, A.; Dassano, G.; Pirinoli, P. Beam Scanning Capabilities of a 3D-Printed Perforated Dielectric Transmitarray. Electronics 2019, 8, 379. [Google Scholar] [CrossRef]
- Liu, S.L.; Lin, X.Q.; Zhu, Z.B. Ka-band multi-focus and pattern manipulation in near-field based on three-dimensional printed transmit-array antenna. IET Microwaves Antennas Propag. 2020, 14, 510–514. [Google Scholar] [CrossRef]
- Arrebola, M.; Encinar, J.A.; Barba, M. Multifed Printed Reflectarray With Three Simultaneous Shaped Beams for LMDS Central Station Antenna. IEEE Trans. Antennas Propag. 2008, 56, 1518–1527. [Google Scholar] [CrossRef]
- CST Microwave Studio [October 2017]. Computer Simulation Technology. Available online: http://www.cst.com (accessed on 8 January 2021).
- Garnett, J.C.M. Colors in metal glasses and in metallic films. Philos. Trans. R. Soc. A 1904, 23, 385–420. [Google Scholar]
- Sihvola, A.H.; Kong, J.A. Effective permittivity of dielectric mixtures. IEEE Trans. Geosc. Remote Sens. 1988, 26, 420–429. [Google Scholar] [CrossRef]
- Felício, J.M.; Fernandes, C.A.; Costa, J.R. Complex permittivity and anisotropy measurement of 3D-printed PLA at microwave and millimeter-waves. In Proceedings of the 2016 22nd International Conference on Applied Electromagnetics and Communications (ICECOM), Dubrovnik, Croatia, 19–21 September 2016; pp. 1–6. [Google Scholar]
- Vaquero, Á.F.; Pino, M.R.; Arrebola, M.; Matos, S.A.; Costa, J.R.; Fernandes, C.A. Bessel beam generation using dielectric planar lenses at millimeter frequencies. IEEE Access 2020, 8, 216185–216196. [Google Scholar] [CrossRef]
- Nepa, P.; Buffi, A. Near-Field-Focused Microwave Antennas: Near-field shaping and implementation. IEEE Antennas Propag. Mag. 2017, 59, 42–53. [Google Scholar] [CrossRef]















| Feed | |||||
|---|---|---|---|---|---|
| 0 | |||||
| 0 | 0 | 0 | 0 | 0 | |
| Feed ( (deg)) | Simulations | Measurements | ||
|---|---|---|---|---|
| Maximum (mm) | (mm) | Maximum (mm) | (mm) | |
| 85 | ||||
| Work | Type of Antenna | Scanning (S) or Multi-Focusing (MF) | Far-Field (FF) or Near-Field (NF) | Technique | Unit Cell | Range | Frequency |
|---|---|---|---|---|---|---|---|
| [13] | Lens | S | FF | Multiport feeder | Dielectric | 50 | 24–28 GHz |
| [16] | TA | S | FF | In-plane feeder displacement | Metal dielectric stacks | 100 | 20 and 30 GHz |
| [17] | TA | S | FF | Transmitarray rotation | Dielectric | 54 | 30 GHz |
| [12] | FZP | S | NF | In-plane feeder displacement | Metallic rings | N.A. | 32 GHz |
| [18] | TA | MF | NF | Aperture division with different focus points | Dielectric | Only 4 spots | 35 GHz |
| This work | TA | MF/S | NF | Cluster of feeders | Dielectric | 40 | 26–30 GHz |
Publisher’s Note: MDPI stays neutral with regard to jurisdictional claims in published maps and institutional affiliations. |
© 2021 by the authors. Licensee MDPI, Basel, Switzerland. This article is an open access article distributed under the terms and conditions of the Creative Commons Attribution (CC BY) license (http://creativecommons.org/licenses/by/4.0/).
Share and Cite
Vaquero, Á.F.; Pino, M.R.; Arrebola, M.; Matos, S.A.; Costa, J.R.; Fernandes, C.A. Evaluation of a Dielectric-Only Transmitarray for Generating Multi-Focusing Near-Field Spots Using a Cluster of Feeds in the Ka-Band. Sensors 2021, 21, 422. https://doi.org/10.3390/s21020422
Vaquero ÁF, Pino MR, Arrebola M, Matos SA, Costa JR, Fernandes CA. Evaluation of a Dielectric-Only Transmitarray for Generating Multi-Focusing Near-Field Spots Using a Cluster of Feeds in the Ka-Band. Sensors. 2021; 21(2):422. https://doi.org/10.3390/s21020422
Chicago/Turabian StyleVaquero, Álvaro F., Marcos Rodríguez Pino, Manuel Arrebola, Sérgio A. Matos, Jorge R. Costa, and Carlos A. Fernandes. 2021. "Evaluation of a Dielectric-Only Transmitarray for Generating Multi-Focusing Near-Field Spots Using a Cluster of Feeds in the Ka-Band" Sensors 21, no. 2: 422. https://doi.org/10.3390/s21020422
APA StyleVaquero, Á. F., Pino, M. R., Arrebola, M., Matos, S. A., Costa, J. R., & Fernandes, C. A. (2021). Evaluation of a Dielectric-Only Transmitarray for Generating Multi-Focusing Near-Field Spots Using a Cluster of Feeds in the Ka-Band. Sensors, 21(2), 422. https://doi.org/10.3390/s21020422

