BER Performance Analysis of Non-Coherent Q-Ary Pulse Position Modulation Receivers on AWGN Channel
Abstract
:1. Introduction
2. System Model
2.1. Structure of PPM Signal
2.2. Suboptimal Noncoherent PPM Receiver
- Start symbol decision;
- Envelope value sampling starts from time slot ;
- Compare the sampling value with the threshold value ;
- If the sampling value exceeds the threshold value, the pulse is considered to be in the first time slot, the information represented by the first time slot is output and the current symbol decision ends;
- If the sampling value is less than the threshold value, it is considered that the pulse is not in this time slot, and the envelope value of the next time slot is sampled and compared with the threshold value;
- This continues until the sampling value of the time slot exceeds the threshold value, the information represented by the kth time slot is output and the current symbol decision is ended;
- In particular, if the sampling values from slot 1 to slot are less than the threshold value, we agree that this symbol outputs the information represented by slot and end the current decision.
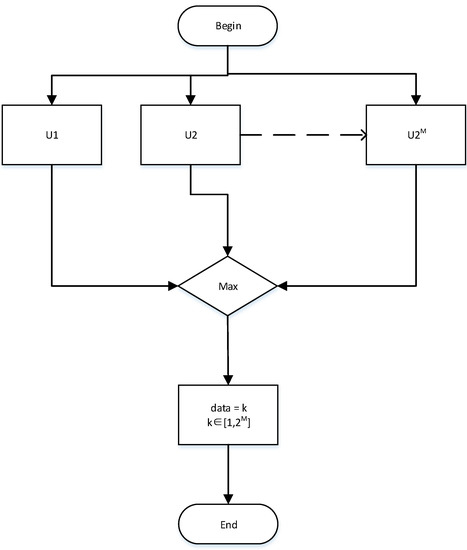
2.3. Optimal Noncoherent PPM Receiver
- Start symbol decision;
- Sample the envelope values of time slots ;
- Select the maximum time slot in the sampling values , , ⋯, ; determine the time slot where the signal is located; and output data k;
- End decision.
3. Performance Analysis
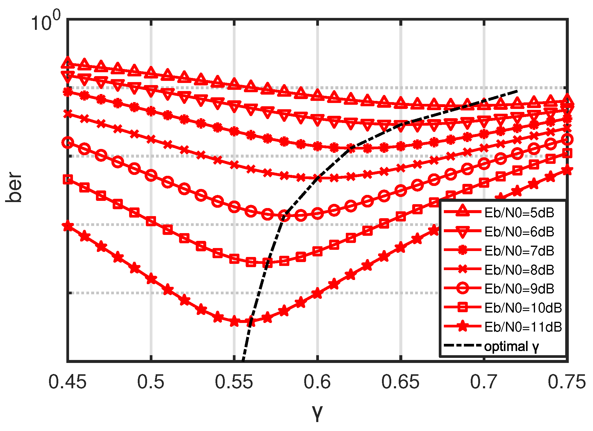
3.1. Performance of Suboptimal Receiver
3.2. Performance of Optimal Receiver
4. Simulations
4.1. BER Performance of Suboptimal Receiver
4.2. BER Performance of Optimal Receiver
4.3. Comparison between the Numerical and Theoretical Results
4.4. BER Performance in Rayleigh Fading Channel
5. Conclusions
Author Contributions
Funding
Institutional Review Board Statement
Informed Consent Statement
Data Availability Statement
Conflicts of Interest
References
- Lu, Y.; Liu, H.; Zhou, Q.; Ma, J.; Wei, Y.; Li, Q. A Smooth Evolution to Next Generation PON Based on Pulse Position Modulation (PPM). IEEE Photon. Technol. Lett. 2015, 27, 173–176. [Google Scholar]
- Shiu, D.S.; Kahn, J. Differential pulse-position modulation for power-efficient optical communication. IEEE Trans. Commun. 1999, 47, 1201–1210. [Google Scholar] [CrossRef] [Green Version]
- Ohtsuki, T. Performance analysis of atmospheric optical PPM CDMA systems. J. Lightw. Technol. 2003, 21, 406–411. [Google Scholar] [CrossRef]
- Scarano, G.; Petroni, A.; Biagi, M.; Cusani, R. Blind Fractionally Spaced Channel Equalization for Shallow Water PPM Digital Communications Links. Sensors 2019, 19, 4604. [Google Scholar] [CrossRef] [Green Version]
- Guo, Y.; Kong, M.; Alkhazragi, O.; Sun, X.; Sait, M.; Ng, T.K.; Ooi, B.S. Diffused-Line-of-Sight Communication for Mobile and Fixed Underwater Nodes. IEEE Photon. J. 2020, 12, 1–13. [Google Scholar] [CrossRef]
- Riter, S. Threshold Performance of Suboptimum PPM Receivers. IEEE Trans. Aerosp. Electron. Syst. 1970, AES-6, 257–259. [Google Scholar] [CrossRef]
- Khan, M.G.; Sallberg, B.; Nordberg, J.; Claesson, I. Robust Weighted Non-Coherent Receiver for Impulse Radio UWB PPM Signals. IEEE Commun. Lett. 2011, 15, 614–616. [Google Scholar] [CrossRef]
- Abou-Rjeily, C. On the Design of Maximal-Rate Shape-Preserving 2 × 2 and 3 × 3 Space-Time Codes for Noncoherent Energy-Detection-Based PPM Communications. IEEE Trans. Wirel. Commun. 2017, 16, 7432–7445. [Google Scholar] [CrossRef]
- Hamkins, J. Handbook of Computer Networks: Key Concepts, Data Transmission, and Digital and Optical Networks; John Wiley & Sons: New York, NY, USA, 2008. [Google Scholar]
- Rulkov, N.; Sushchik, M.; Tsimring, L.; Volkovskii, A. Digital communication using chaotic-pulse-position modulation. IEEE Trans. Circuits Syst. I 2001, 48, 1436–1444. [Google Scholar] [CrossRef]
- Sharma, S.; Hong, Y. UWB Receiver via Deep Learning in MUI and ISI Scenarios. IEEE Trans. Veh. Technol. 2020, 69, 3496–3499. [Google Scholar] [CrossRef]
- Paszek, K.; Grzechca, D.; Becker, A. Design of the UWB Positioning System Simulator for LOS/NLOS Environments. Sensors 2021, 21, 4757. [Google Scholar] [CrossRef]
- Singh, P.; Kim, B.W.; Jung, S.Y. TH-PPM with non-coherent detection for multiple access in electromagnetic wireless nanocommunications. Nano Commun. Netw. 2018, 17, 1–13. [Google Scholar] [CrossRef]
- Yan, K.; Cheng, S.; Wu, H.C.; Xiao, H.; Zhang, X. Analysis and Rectification of the Asynchronous Sampling Effect in the Pulse-Position Modulation Systems. IEEE Sens. J. 2020, 20, 4189–4199. [Google Scholar] [CrossRef]
- Cariolaro, G.; Pierobon, G. Theory of quantum pulse position modulation and related numerical problems. IEEE Trans. Commun. 2010, 58, 1213–1222. [Google Scholar] [CrossRef] [Green Version]
- Lee, Y.; Kang, H.; Lee, M.; Kim, T.h. A Study on the Effect of Interference on Time Hopping Binary PPM Impulse Radio System. In Proceedings of the 2005 International Conference on Advances in Intelligent Computing—Volume Part II, Hefei, China, 23–26 August 2005; Springer: Berlin/Heidelberg, Germany, 2005; pp. 665–674. [Google Scholar]
- Liu, W.; Huang, K.; Zhou, X.; Durrani, S. Full-Duplex Backscatter Interference Networks Based on Time-Hopping Spread Spectrum. IEEE Trans. Wirel. Commun. 2017, 16, 4361–4377. [Google Scholar] [CrossRef]
- Kim, J.; Van Nguyen, B.; Jung, H.; Kim, K. TH-NRDCSK: A Non-Coherent Time Hopping Chaotic System for Anti-Jamming Communications. IEEE Access 2019, 7, 144710–144719. [Google Scholar] [CrossRef]
- Ramirez-Mireles, F. Performance of ultrawideband SSMA using time hopping and M-ary PPM. IEEE J. Sel. Areas Commun. 2001, 19, 1186–1196. [Google Scholar] [CrossRef]
- Hu, B.; Beaulieu, N. Accurate evaluation of multiple-access performance in TH-PPM and TH-BPSK UWB systems. IEEE Trans. Commun. 2004, 52, 1758–1766. [Google Scholar] [CrossRef]
- Ata, Y.; Gökçe, M.C.; Baykal, Y. M-ary pulse position modulation performance with adaptive optics corrections in atmospheric turbulence. J. Mod. Opt. 2020, 67, 563–568. [Google Scholar] [CrossRef]
- Miyazawa, T.; Sasase, I. BER Performance Analysis of Spectral Phase-Encoded Optical Atmospheric PPM-CDMA Communication Systems. J. Lightw. Technol. 2007, 25, 2992–3000. [Google Scholar] [CrossRef]
- Elmirghani, J.; Cryan, R. Performance analysis of self-synchronized optically preamplified PPM. J. Lightw. Technol. 1995, 13, 923–932. [Google Scholar] [CrossRef]
- Fujiwara, Y. Self-Synchronizing Pulse Position Modulation With Error Tolerance. IEEE Trans. Inf. Theory 2013, 59, 5352–5362. [Google Scholar] [CrossRef]
- Bernard, S. Digital Communications—Fundamentals and Applications, 2nd ed.; Publishing House of Electronics Industry: Beijing, China, 2015. [Google Scholar]
- Gelli, G.; Verde, F. Two-stage interference-resistant adaptive periodically time-varying CMA blind equalization. IEEE Trans. Signal Process. 2002, 50, 662–672. [Google Scholar] [CrossRef]
- Gelli, G.; Paura, L.; Verde, F. A two-stage CMA-based receiver for blind joint equalization and multiuser detection in high data-rate DS-CDMA systems. IEEE Trans. Wirel. Commun. 2004, 3, 1209–1223. [Google Scholar] [CrossRef]
- Morosi, S.; Bianchi, T.; Gei, F. Frequency domain multi-user receivers for IEEE 802.15.4a short-range communication network. Trans. Emerg. Tel. Tech. 2013, 24, 545–551. [Google Scholar] [CrossRef]
- Miao, M.; Wang, L.; Katz, M.; Xu, W. Hybrid Modulation Scheme Combining PPM With Differential Chaos Shift Keying Modulation. IEEE Wirel. Commun. Lett. 2019, 8, 340–343. [Google Scholar] [CrossRef] [Green Version]









| (dB) | 0 | 1 | 2 | 3 | 4 | 5 | 6 | 7 | 8 | 9 | 10 | 11 | 12 |
|---|---|---|---|---|---|---|---|---|---|---|---|---|---|
| Binary (%) | 2.1 | 3.6 | 3.1 | 0.7 | 3.1 | 4.5 | 0.3 | 1.2 | 0.3 | 3.9 | 1.3 | 2.8 | 0.4 |
| 4-ary (%) | 0.4 | 1.7 | 1.4 | 3.8 | 0.3 | 2.7 | 2.5 | 1.8 | 1.5 | 1.3 | 1.4 | 6.8 | 7.6 |
| 8-ary (%) | 4.8 | 0.3 | 0.5 | 4.1 | 3.1 | 5.1 | 0.3 | 3.0 | 3.6 | 1.8 | 20.7 | / | / |
| (dB) | 0 | 1 | 2 | 3 | 4 | 5 | 6 | 7 | 8 | 9 | 10 | 11 | 12 |
|---|---|---|---|---|---|---|---|---|---|---|---|---|---|
| Binary (%) | 0.4 | 0.4 | 1.2 | 1.4 | 1.6 | 1.2 | 0.3 | 1.2 | 0.9 | 1.4 | 0.5 | 0.2 | 0.1 |
| 4-ary (%) | 0.9 | 1.1 | 0.8 | 2.1 | 1.0 | 1.2 | 2.4 | 1.1 | 1.8 | 0.3 | 0.3 | 0.7 | 1.2 |
| 8-ary (%) | 1.5 | 0.7 | 1.3 | 1.0 | 1.2 | 0.6 | 1.1 | 1.0 | 0.1 | 1.1 | 3.2 | / | / |
| (dB) | 0 | 1 | 2 | 3 | 4 | 5 | 6 | 7 | 8 | 9 | 10 | 11 | 12 |
|---|---|---|---|---|---|---|---|---|---|---|---|---|---|
| Binary (%) | 1.6 | 0.9 | 2.2 | 1.1 | 1.5 | 2.3 | 2.7 | 1.3 | 3.5 | 3.7 | 1.5 | 2.3 | 5.4 |
| 4-ary (%) | 2.5 | 3.3 | 0.8 | 1.9 | 2.5 | 2.6 | 0.9 | 1.5 | 6.1 | 9.3 | / | / | / |
| 8-ary (%) | 2.3 | 1.5 | 2.3 | 0.7 | 2.5 | 1.7 | 3.5 | 4.6 | 17.9 | / | / | / | / |
| (dB) | 0 | 1 | 2 | 3 | 4 | 5 | 6 | 7 | 8 | 9 | 10 | 11 | 12 |
|---|---|---|---|---|---|---|---|---|---|---|---|---|---|
| Binary (%) | 0.5 | 1.5 | 0.2 | 1.0 | 1.2 | 0.9 | 0.5 | 2.1 | 0.7 | 0.8 | 1.1 | 0.3 | 0.5 |
| 4-ary (%) | 1.2 | 0.6 | 0.9 | 0.5 | 1.5 | 2.1 | 1.7 | 0.9 | 1.3 | 0.8 | / | / | / |
| 8-ary (%) | 0.4 | 1.2 | 2.2 | 1.4 | 0.8 | 1.3 | 0.9 | 1.3 | 1.6 | / | / | / | / |
Publisher’s Note: MDPI stays neutral with regard to jurisdictional claims in published maps and institutional affiliations. |
© 2021 by the authors. Licensee MDPI, Basel, Switzerland. This article is an open access article distributed under the terms and conditions of the Creative Commons Attribution (CC BY) license (https://creativecommons.org/licenses/by/4.0/).
Share and Cite
Shi, X.; Sun, Y.; Tian, J.; Chen, M.; Liu, Y.; Xie, N.; Zhang, J. BER Performance Analysis of Non-Coherent Q-Ary Pulse Position Modulation Receivers on AWGN Channel. Sensors 2021, 21, 6102. https://doi.org/10.3390/s21186102
Shi X, Sun Y, Tian J, Chen M, Liu Y, Xie N, Zhang J. BER Performance Analysis of Non-Coherent Q-Ary Pulse Position Modulation Receivers on AWGN Channel. Sensors. 2021; 21(18):6102. https://doi.org/10.3390/s21186102
Chicago/Turabian StyleShi, Xianhua, Yimao Sun, Jie Tian, Maolin Chen, Youjiang Liu, Nan Xie, and Jian Zhang. 2021. "BER Performance Analysis of Non-Coherent Q-Ary Pulse Position Modulation Receivers on AWGN Channel" Sensors 21, no. 18: 6102. https://doi.org/10.3390/s21186102
APA StyleShi, X., Sun, Y., Tian, J., Chen, M., Liu, Y., Xie, N., & Zhang, J. (2021). BER Performance Analysis of Non-Coherent Q-Ary Pulse Position Modulation Receivers on AWGN Channel. Sensors, 21(18), 6102. https://doi.org/10.3390/s21186102

