Fault Diagnosis of Brake Train Based on Multi-Sensor Data Fusion
Abstract
:1. Introduction
2. System Description and Problem Statement
2.1. Braking Modeling: Air Braking and Adhesion Braking
2.2. Speed Sensors Modeling
3. Fault Diagnosis Based on Multi-Sensor Data Fusion
3.1. Multi-Sensor Monitoring Data Fusion
3.2. Qualitative Analysis of Monitoring Data and Pre-Allocation of Fusion Weights
3.3. Multi-Sensor Data Fusion Based on Adaptive Fading UKF
3.3.1. Local State Estimation
3.3.2. Adaptive Fading UKF Based on Mahalanobis Distance
3.3.3. Global State Estimation
3.3.4. Fault Diagnosis Based on Fusion Data
4. Analysis of Simulation Results
4.1. Train Parameters Descriptions
4.2. Four Typical Cases
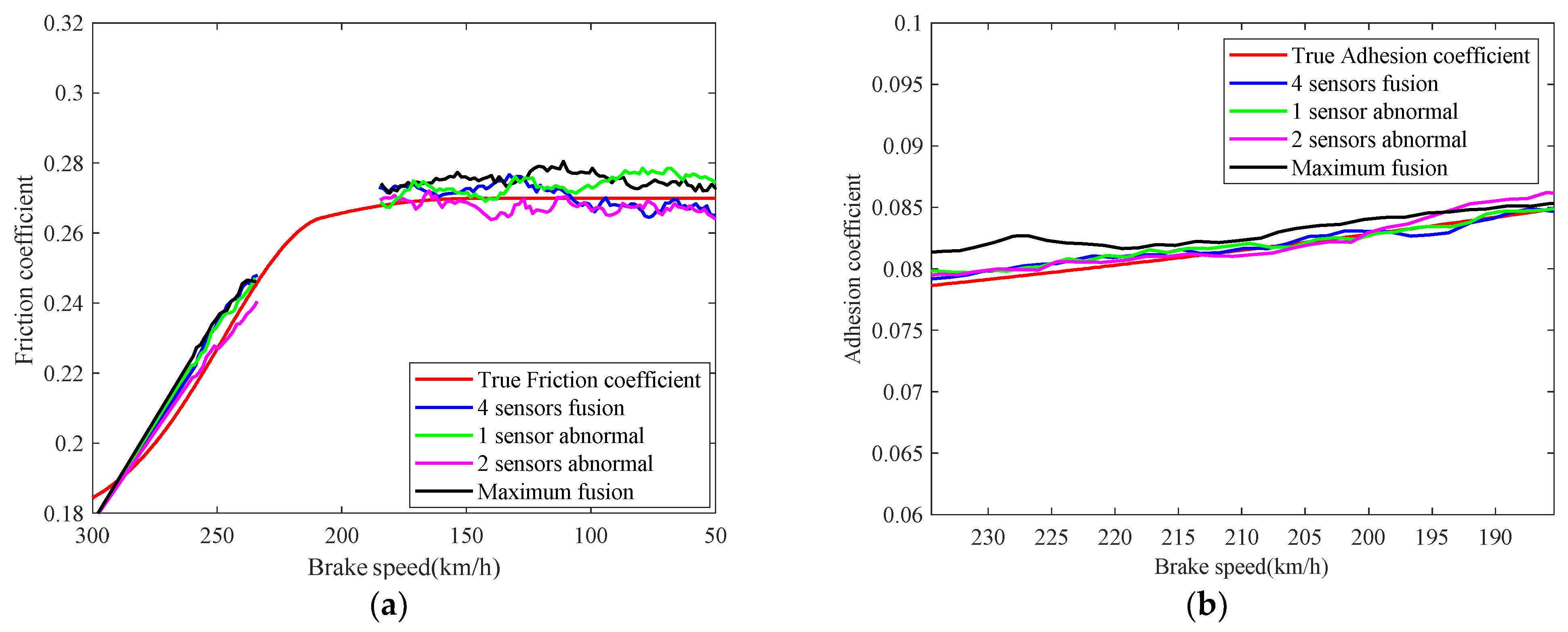
4.2.1. Adhesion Normal and Braking Normal
4.2.2. Adhesion Normal but Brake Degradation
4.2.3. Adhesion Failure but Braking Normal
4.2.4. Adhesion Failure and Brake Degradation
5. Conclusions and Prospect
Author Contributions
Funding
Institutional Review Board Statement
Informed Consent Statement
Data Availability Statement
Conflicts of Interest
References
- Muñoz-Paniagua, J.; García, J. Aerodynamic drag optimization of a high-speed train. J. Wind. Eng. Ind. Aerod. 2020, 204, 104215. [Google Scholar] [CrossRef]
- Peixer, M.A.; Montenegro, P.A.; Carvalho, H.; Ribeiro, D.; Bittencourt, T.N.; Calçada, R. Running safety evaluation of a train moving over a high-speed railway viaduct under different track conditions. Eng. Fail. Anal. 2021, 121, 105133. [Google Scholar] [CrossRef]
- Montenegro, P.A.; Carvalho, H.; Ribeiro, D.; Tokunaga, M.; Tanabe, M.; Zhaif, W.M. Assessment of train running safety on bridges: A literature review. Eng. Struct. 2021, 241, 112425. [Google Scholar] [CrossRef]
- Ji, H.Q.; Zhou, D.H. Incipient fault detection of the high-speed train air brake system with a combined index. Control Eng. Pract. 2020, 100, 104425. [Google Scholar] [CrossRef]
- Zhong, M.Y.; Ding, S.X.; Zhou, D.H.; He, X. An Hi/H∞ optimization approach to event-triggered fault detection for linear discrete time systems. IEEE Trans. Automat. Contr. 2020, 65, 4464–4471. [Google Scholar] [CrossRef]
- Safaeipour, H.; Forouzanfar, M.; Casavola, A. A survey and classification of incipient fault diagnosis approaches. J. Process Control. 2021, 97, 1–16. [Google Scholar] [CrossRef]
- Arunthavanathan, R.; Khan, F.; Ahmed, S.; Imtiaz, S. An analysis of process fault diagnosis methods from safety perspectives. Comput. Chem. Eng. 2021, 145, 107197. [Google Scholar] [CrossRef]
- Chen, H.T.; Jiang, B. A review of fault detection and diagnosis for the traction system in high-speed trains. IEEE Trans. Intell. Transp. Syst. 2020, 21, 450–465. [Google Scholar] [CrossRef]
- Chen, H.T.; Jiang, B.; Lu, N.Y. A newly robust fault detection and diagnosis method for high-speed trains. IEEE Trans. Intell. Transp. Syst. 2019, 20, 2198–2208. [Google Scholar] [CrossRef]
- Chen, H.T.; Jiang, B.; Chen, W.; Yi, H. Data-driven detection and diagnosis of incipient faults in electrical drives of high-speed trains. IEEE Trans. Ind. Electron. 2019, 66, 4716–4725. [Google Scholar] [CrossRef]
- Liu, Z.; Zhang, M.; Liu, F.; Zhang, B. Multidimensional feature fusion and ensemble learning-based fault diagnosis for the braking system of heavy-haul train. IEEE Trans. Ind. Inform. 2021, 17, 41–51. [Google Scholar] [CrossRef]
- Glowacz, A.; Tadeusiewicz, R.; Legutko, S.; Caesarendra, W.; Irfan, M.; Liu, H.; Brumercik, F.; Gutten, M.; Sulowicz, M.; Xiang, J.; et al. Fault diagnosis of angle grinders and electric impact drills using acoustic signals. Appl. Acoust. 2021, 179, 108070. [Google Scholar] [CrossRef]
- Glowacz, A. Fault diagnosis of electric impact drills using thermal imaging. Measurement 2021, 171, 108815. [Google Scholar] [CrossRef]
- Niu, G.; Xiong, L.J.; Qin, X.X.; Michael, P. Fault detection isolation and diagnosis of multi-axle speed sensors for high-speed trains. Mech. Syst. Signal Proc. 2019, 131, 183–198. [Google Scholar] [CrossRef]
- Yang, J.; Xie, G.; Yang, Y.X.; Zhang, Y.M.; Liu, W. Deep model integrated with data correlation analysis for multiple intermittent faults diagnosis. ISA Trans. 2019, 95, 306–319. [Google Scholar] [CrossRef]
- Zhao, Y.H.; He, X.; Zhang, J.F.; Ji, H.Q.; Zhou, D.H.; Pecht, M.G. Detection of intermittent faults based on an optimally weighted moving average T2 control chart with stationary observations. Automatica 2021, 123, 109298. [Google Scholar] [CrossRef]
- Dibaj, A.; Ettefagh, M.M.; Hassannejad, R.; Ehghaghi, M.B. A hybrid fine-tuned VMD and CNN scheme for untrained compound fault diagnosis of rotating machinery with unequal-severity faults. Expert Syst. Appl. 2021, 167, 114094. [Google Scholar] [CrossRef]
- Moshrefzadeh, A. Condition monitoring and intelligent diagnosis of rolling element bearings under constant/variable load and speed conditions. Mech. Syst. Signal Process. 2021, 149, 107153. [Google Scholar] [CrossRef]
- Sohaib, M.; Kim, J. Fault Diagnosis of Rotary Machine Bearings under Inconsistent Working Conditions. IEEE Trans. Instrum. Meas. 2020, 69, 3334–3347. [Google Scholar] [CrossRef]
- Meng, L.H.; Wang, Y.H.; Zhou, J.; Ding, X.J.; Li, X.B. Multi information fusion and fault diagnosis system for motor drive system in high speed train. In Proceedings of the 18th Prognostics and System Health Management Conference, Chongqing, China, 26–28 October 2018. [Google Scholar]
- Luo, H.L.; Bo, L.; Peng, C.; Hou, D.M. Fault diagnosis for high-speed train axle-box bearing using simplified shallow information fusion convolutional neural network. Sensors 2020, 20, 4930. [Google Scholar] [CrossRef] [PubMed]
- Hounkpevi, F.O.; Yaz, E.E. Robust minimum variance linear state estimators for multiple sensors with different failure rates. Automatica 2007, 43, 1274–1280. [Google Scholar] [CrossRef]
- Caballero-Águila, R.; Hermoso-Carazo, A.; Linares-Pérez, J. Linear and quadratic estimation using uncertain observations from multiple sensors with correlated uncertainty. Signal Process. 2011, 91, 330–3376. [Google Scholar] [CrossRef]
- Caballero-Águila, R.; García-Garrido, I.; Linares-Pérez, J. Information fusion algorithms for state estimation in multi-sensor systems with correlated missing measurements. Appl. Math. Comput. 2014, 226, 548–563. [Google Scholar] [CrossRef]
- Sun, S.L.; Deng, Z.L. Multi-sensor optimal information fusion Kalman filter. Automatica 2004, 40, 1017–1023. [Google Scholar] [CrossRef]
- Gao, B.B.; Hu, G.G.; Gao, S.S.; Zhong, Y.M.; Gu, C.F. Multi-sensor optimal data fusion based on the adaptive fading unscented Kalman filter. Sensors 2018, 18, 488. [Google Scholar] [CrossRef] [PubMed] [Green Version]
- Wang, Y.; Cong, J.L.; Wang, P.; Liu, X.; Tang, H.Y. A data-fusion approach for speed estimation and location calibration of a metro train based on low-cost sensors in smartphones. IEEE Sens. J. 2019, 19, 10744–10752. [Google Scholar] [CrossRef]
- Kim, K.H.; Kong, S.H.; Jeon, S.Y. Slip and slide detection and adaptive information sharing algorithms for high-speed train navigation systems. IEEE Trans. Intell. Transp. Syst. 2015, 16, 3193–3203. [Google Scholar] [CrossRef]
- Hu, G.G.; Gao, S.S.; Zhong, Y.M. A derivative UKF for tightly coupled INS/GPS integrated navigation. ISA Trans. 2015, 56, 135–144. [Google Scholar] [CrossRef]
- Xie, G.; Jin, Y.Z.; Hei, X.H.; Ji, W.J.; Gao, S.G.; Takahashi, S.; Mochizuki, H. Adaptive identification of time-varying environmental parameters in train dynamics model. Acta Autom. Sin. 2019, 45, 2268–2280. [Google Scholar]
- Noh, S.J.; Shim, D.Y.; Jeon, M.G. Adaptive sliding-window strategy for vehicle detection in highway environments. IEEE Trans. Intell. Transp. Syst. 2016, 17, 323–335. [Google Scholar] [CrossRef]
- Shakil, S.; Billings, J.C.; Gong, X.J.; Keilholz, S.D. Parametric dependencies of sliding window correlation. IEEE Trans. Biomed. Eng. 2018, 65, 254–263. [Google Scholar] [CrossRef]
- Gasmi, N.; Boutayeb, M.; Thabet, A.; Aoun, M. Sliding Window Based Nonlinear H∞ Filtering: Design and Experimental Results. IEEE Trans. Circuits Syst. II Express Briefs 2019, 66, 302–306. [Google Scholar] [CrossRef]
- Schön, T.B.; Wills, A.; Ninness, B. System identification of nonlinear state-space models. Automatica 2011, 47, 39–49. [Google Scholar] [CrossRef] [Green Version]
- Sammaknejad, N.; Zhao, Y.J.; Huang, B. A review of the Expectation Maximization algorithm in data-driven process identification. J. Process Control 2019, 73, 123–136. [Google Scholar] [CrossRef]
- Efendi, E.; Dulek, B. Online EM-Based Ensemble Classification with Correlated Agents. IEEE Signal Process. Lett. 2021, 28, 294–298. [Google Scholar] [CrossRef]
- Zhang, Y.Q.; Lou, Y.C.; Hong, Y.G. An approximate gradient algorithm for constrained distributed convex optimization. IEEE CAA J. Autom. Sin. 2014, 1, 61–67. [Google Scholar]





















| Braking Parameters | Value |
|---|---|
| Total Weight of Train/(t) | 536 |
| Maximum Operating Speed/(km/h) | 350 |
| Continuous Operating Speed/(km/h) | 300 |
| Brake Cylinder Diameter/(mm) | 203 |
| Air Pressure of Brake Cylinder/(kpa) | 410 |
| Transmission Efficiency | 0.85 |
| Braking Ratio | 2.55 |
| Friction Coefficient | 0.28 |
| Brake Disc Friction Radius | 297.6 |
| Wheel Rolling Radius/(mm) | 460 |
| Wheel Hall Speed Sensor | Value | Doppler Radar Speed Sensor | Value |
|---|---|---|---|
| Pitch | 7.85 | Range Resolution/(mm/pulse) | 4 |
| Gear module | 2.5 | Number of Pulses/(km) | 250,000 |
| Operation Temperature/(°C) | 20~80 | Operation Temperature/(°C) | −20~70 |
| Fusion Method | 4 Sensors Fusion | 3 Sensors Fusion | 2 Sensors Fusion | Maximum Fusion | |
|---|---|---|---|---|---|
| Relative Error | |||||
| Brake Speed Fusion | ±0.5313% | ±1.3412% | ±1.7472% | ±2.5627% | |
| Identification of Friction Coefficient | ±2.2684% | ±2.4832% | ±2.4891% | ±2.4963% | |
| Fusion Method | 4 Sensors Fusion | 3 Sensors Fusion | 2 Sensors Fusion | Maximum Fusion | |
|---|---|---|---|---|---|
| Relative Error | |||||
| Brake Speed Fusion | ±0.6049% | ±1.2527% | ±1.5152% | ±2.3187% | |
| Identification of Friction Coefficient | ±2.2258% | ±2.4863% | ±2.4937% | ±2.4987% | |
| Fusion Method | 4 Sensors Fusion | 3 Sensors Fusion | 2 Sensors Fusion | Maximum Fusion | |
|---|---|---|---|---|---|
| Relative Error | |||||
| Brake Speed Fusion | ±0.5657% | ±1.5629% | ±1.6742% | ±2.4659% | |
| Identification of Friction Coefficient | ±1.8477% | ±1.9337% | ±2.2473% | ±2.3682% | |
| Identification of Adhesion Coefficient | ±1.5391% | ±1.6538% | ±1.7267% | ±1.7431% | |
| Fusion Method | 4 Sensors Fusion | 3 Sensors Fusion | 2 Sensors Fusion | Maximum Fusion | |
|---|---|---|---|---|---|
| Relative Error | |||||
| Brake Speed Fusion | ±0.6116% | ±1.2220% | ±1.4364% | ±2.3751% | |
| Identification of Friction Coefficient | ±2.1127% | ±2.3431% | ±2.4967% | ±2.4989% | |
| Identification of Adhesion Coefficient | ±1.5087% | ±1.6325% | ±1.6733% | ±1.7875% | |
Publisher’s Note: MDPI stays neutral with regard to jurisdictional claims in published maps and institutional affiliations. |
© 2021 by the authors. Licensee MDPI, Basel, Switzerland. This article is an open access article distributed under the terms and conditions of the Creative Commons Attribution (CC BY) license (https://creativecommons.org/licenses/by/4.0/).
Share and Cite
Jin, Y.; Xie, G.; Li, Y.; Zhang, X.; Han, N.; Shangguan, A.; Chen, W. Fault Diagnosis of Brake Train Based on Multi-Sensor Data Fusion. Sensors 2021, 21, 4370. https://doi.org/10.3390/s21134370
Jin Y, Xie G, Li Y, Zhang X, Han N, Shangguan A, Chen W. Fault Diagnosis of Brake Train Based on Multi-Sensor Data Fusion. Sensors. 2021; 21(13):4370. https://doi.org/10.3390/s21134370
Chicago/Turabian StyleJin, Yongze, Guo Xie, Yankai Li, Xiaohui Zhang, Ning Han, Anqi Shangguan, and Wenbin Chen. 2021. "Fault Diagnosis of Brake Train Based on Multi-Sensor Data Fusion" Sensors 21, no. 13: 4370. https://doi.org/10.3390/s21134370
APA StyleJin, Y., Xie, G., Li, Y., Zhang, X., Han, N., Shangguan, A., & Chen, W. (2021). Fault Diagnosis of Brake Train Based on Multi-Sensor Data Fusion. Sensors, 21(13), 4370. https://doi.org/10.3390/s21134370
