Deep HDR Hallucination for Inverse Tone Mapping
Abstract
1. Introduction
- The use of GANs for the reconstruction of missing information in over-exposed and under-exposed areas of LDR images.
- An HDR pixel distribution adaptation method, for normalising HDR content, which is exponentially skewed towards zero.
- A data augmentation method for the use of more readily available LDR datasets to train CNNs for HDR hallucination and inverse tone mapping.
- Comparisons with variants of the proposed GAN-based method using different network architectures and modules.
2. Background and Related Work
- Linearisation: Apply inverse CRF and remove gamma.
- Expansion: Well-exposed areas are expanded in dynamic range. The operation can be local or global in luminance space.
- Hallucination: Reconstruct missing information in badly-exposed areas. Not all methods have this step.
- Artefact removal: Remove or reduce quantisation or compression artefacts.
- Colour correction: Correct colours that have been altered due to saturation of only a single or two channels from the RGB image.
3. Method
3.1. Network Architecture
3.2. GAN Objective
3.3. Data Augmentation
- Sample an image, from the LDR dataset.
- Expand the image range using a trained GUNet to predict the HDR image .
- Crop and resize the image to using the approach from Marnerides et al. [5].
- Use the Culling operator (clipping of top an bottom of values).
3.4. HDR Pixel Transform
4. Results and Discussion
4.1. Qualitative
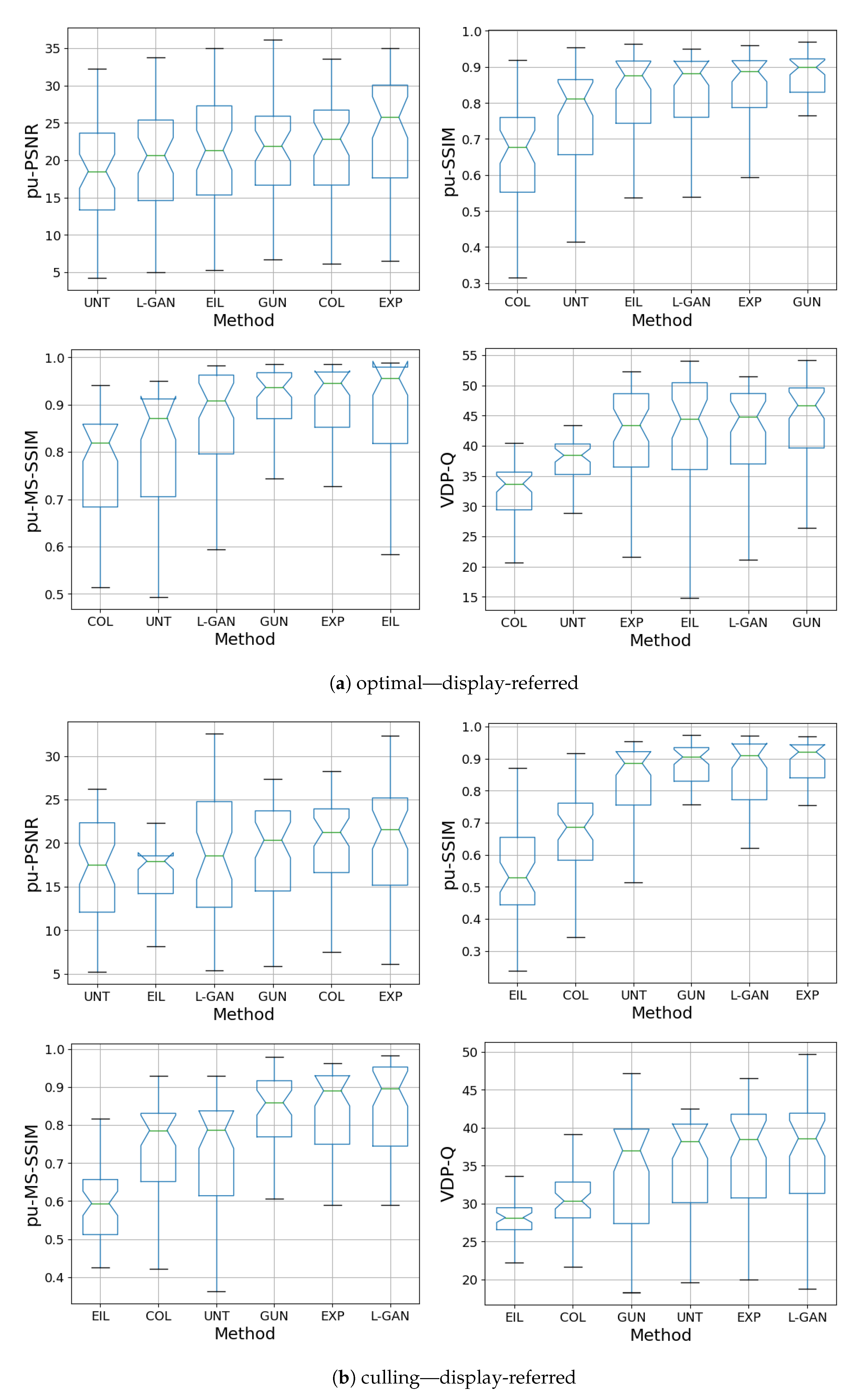
4.2. Quantitative
4.3. Ablation Studies
5. Conclusions
Author Contributions
Funding
Data Availability Statement
Conflicts of Interest
References
- Banterle, F.; Artusi, A.; Debattista, K.; Chalmers, A. Advanced High Dynamic Range Imaging, 2nd ed.; AK Peters (CRC Press): Natick, MA, USA, 2017. [Google Scholar]
- Banterle, F.; Ledda, P.; Debattista, K.; Chalmers, A. Inverse tone mapping. In Proceedings of the GRAPHITE’06, Kuala Lumpur, Malaysia, 29 November–2 December 2006; p. 349. [Google Scholar] [CrossRef]
- Iizuka, S.; Simo-Serra, E.; Ishikawa, H. Globally and Locally Consistent Image Completion. ACM Trans. Graph. 2017, 36, 1–14. [Google Scholar] [CrossRef]
- Pathak, D.; Krahenbuhl, P.; Donahue, J.; Darrell, T.; Efros, A.A. Context Encoders: Feature Learning by Inpainting. In Proceedings of the IEEE Conference on Computer Vision and Pattern Recognition, Las Vegas, NV, USA, 27–30 June 2016; pp. 2536–2544. [Google Scholar]
- Marnerides, D.; Bashford-Rogers, T.; Hatchett, J.; Debattista, K. ExpandNet: A Deep Convolutional Neural Network for High Dynamic Range Expansion from Low Dynamic Range Content. Comput. Graph. Forum 2018, 37, 37–49. [Google Scholar] [CrossRef]
- Marnerides, D.; Bashford-Rogers, T.; Debattista, K. Spectrally Consistent UNet for High Fidelity Image Transformations. arXiv 2020, arXiv:2004.10696. [Google Scholar]
- Eilertsen, G.; Kronander, J.; Denes, G.; Mantiuk, R.K.; Unger, J. HDR image reconstruction from a single exposure using deep CNNs. ACM Trans. Graph. 2017, 36, 178. [Google Scholar] [CrossRef]
- Endo, Y.; Kanamori, Y.; Mitani, J. Deep reverse tone mapping. ACM Trans. Graph. 2017, 36, 171–177. [Google Scholar] [CrossRef]
- Landis, H. Production-Ready Global Illumination. Available online: https://www.semanticscholar.org/paper/Production-Ready-Global-Illumination-Landis/4a9de79235445fdf346b274603dfa5447321aab6 (accessed on 2 June 2021).
- Akyüz, A.O.; Fleming, R.; Riecke, B.E.; Reinhard, E.; Bülthoff, H.H. Do HDR displays support LDR content? A psychophysical evaluation. ACM Trans. Graph. 2007, 26, 38. [Google Scholar] [CrossRef]
- Masia, B.; Agustin, S.; Fleming, R.W.; Sorkine, O.; Gutierrez, D. Evaluation of Reverse Tone Mapping Through Varying Exposure Conditions. ACM Trans. Graph. 2009, 28, 1–8. [Google Scholar] [CrossRef]
- Masia, B.; Serrano, A.; Gutierrez, D. Dynamic range expansion based on image statistics. Multimed. Tools Appl. 2017, 76, 631–648. [Google Scholar] [CrossRef]
- Rempel, A.G.; Trentacoste, M.; Seetzen, H.; Young, H.D.; Heidrich, W.; Whitehead, L.; Ward, G. LDR2HDR: On-the-Fly Reverse Tone Mapping of Legacy Video and Photographs. ACM Trans. Graph. 2007, 26, 39. [Google Scholar] [CrossRef]
- Kovaleski, R.P.; Oliveira, M.M. High-Quality Reverse Tone Mapping for a Wide Range of Exposures. In Proceedings of the 27th SIBGRAPI Conference on Graphics, Patterns and Images, Rio de Janeiro, Brazil, 26–30 August 2014; pp. 49–56. [Google Scholar]
- Huo, Y.; Yang, F.; Dong, L.; Brost, V. Physiological inverse tone mapping based on retina response. Vis. Comput. 2014, 30, 507–517. [Google Scholar] [CrossRef]
- Wang, L.; Wei, L.Y.; Zhou, K.; Guo, B.; Shum, H.Y. High Dynamic Range Image Hallucination. Available online: http://citeseerx.ist.psu.edu/viewdoc/download?doi=10.1.1.446.7833&rep=rep1&type=pdf (accessed on 2 June 2021).
- Kuo, P.H.; Liang, H.J.; Tang, C.S.; Chien, S.Y. Automatic high dynamic range hallucination in inverse tone mapping. In Proceedings of the 2014 IEEE 16th International Workshop on Multimedia Signal Processing (MMSP), Jakarta, Indonesia, 22–24 September 2014; pp. 1–6. [Google Scholar]
- Zhang, J.; Lalonde, J.F. Learning high dynamic range from outdoor panoramas. In Proceedings of the IEEE International Conference on Computer Vision, Venice, Italy, 22–29 October 2017; pp. 4519–4528. [Google Scholar]
- Lee, S.; An, G.H.; Kang, S. Deep Chain HDRI: Reconstructing a High Dynamic Range Image from a Single Low Dynamic Range Image. IEEE Access 2018, 6, 49913–49924. [Google Scholar] [CrossRef]
- Han, J.; Zhou, C.; Duan, P.; Tang, Y.; Xu, C.; Xu, C.; Huang, T.; Shi, B. Neuromorphic camera guided high dynamic range imaging. In Proceedings of the IEEE/CVF Conference on Computer Vision and Pattern Recognition (CVPR), Seattle, WA, USA, 14–19 June 2020; pp. 1730–1739. [Google Scholar]
- Sun, Q.; Tseng, E.; Fu, Q.; Heidrich, W.; Heide, F. Learning Rank-1 Diffractive Optics for Single-Shot High Dynamic Range Imaging. In Proceedings of the IEEE/CVF Conference on Computer Vision and Pattern Recognition (CVPR), Seattle, WA, USA, 14–19 June 2020. [Google Scholar]
- Liu, Y.L.; Lai, W.S.; Chen, Y.S.; Kao, Y.L.; Yang, M.H.; Chuang, Y.Y.; Huang, J.B. Single-Image HDR Reconstruction by Learning to Reverse the Camera Pipeline. In Proceedings of the IEEE/CVF Conference on Computer Vision and Pattern Recognition (CVPR), Seattle, WA, USA, 14–19 June 2020. [Google Scholar]
- Sharif, S.; Naqvi, R.A.; Biswas, M.; Sungjun, K. A Two-stage Deep Network for High Dynamic Range Image Reconstruction. Available online: https://www.semanticscholar.org/paper/A-Two-stage-Deep-Network-for-High-Dynamic-Range-Sharif-Naqvi/64236160dcc06a1370f2358c3e44b44d9054e796 (accessed on 2 June 2021).
- Chen, X.; Liu, Y.; Zhang, Z.; Qiao, Y.; Dong, C. HDRUNet: Single Image HDR Reconstruction with Denoising and Dequantization. Available online: https://arxiv.org/abs/2105.13084 (accessed on 2 June 2021).
- Santos, M.S.; Tsang, R.; Khademi Kalantari, N. Single Image HDR Reconstruction Using a CNN with Masked Features and Perceptual Loss. ACM Trans. Graph. 2020, 39, 1–10. [Google Scholar] [CrossRef]
- Ronneberger, O.; Fischer, P.; Brox, T. U-Net: Convolutional Networks for Biomedical Image Segmentation. Available online: https://arxiv.org/abs/1505.04597 (accessed on 2 June 2021).
- Isola, P.; Zhu, J.Y.; Zhou, T.; Efros, A.A. Image-to-Image Translation with Conditional Adversarial Networks. arXiv 2016, arXiv:1611.07004. [Google Scholar]
- Wang, T.C.; Liu, M.Y.; Zhu, J.Y.; Tao, A.; Kautz, J.; Catanzaro, B. High-Resolution Image Synthesis and Semantic Manipulation with Conditional GANs. In Proceedings of the IEEE conference on Computer Vision and Pattern Recognition, Salt Lake City, UT, USA, 18–23 June 2018; pp. 8798–8807. [Google Scholar]
- He, K.; Zhang, X.; Ren, S.; Sun, J. Identity Mappings in Deep Residual Networks. In Computer Vision—ECCV 2016; Leibe, B., Matas, J., Sebe, N., Welling, M., Eds.; Springer International Publishing: Berlin/Heidelberg, Germany, 2016. [Google Scholar]
- Klambauer, G.; Unterthiner, T.; Mayr, A.; Hochreiter, S. Self-Normalizing Neural Networks. Available online: https://arxiv.org/abs/1706.02515 (accessed on 2 June 2021).
- Maas, A.L.; Hannun, A.Y.; Ng, A.Y. Rectifier nonlinearities improve neural network acoustic models. In Proceedings of the International Conference on Machine Learning (ICML), Atlanta, GA, USA, 16–21 June 2013; p. 3. [Google Scholar]
- Karras, T.; Aila, T.; Laine, S.; Lehtinen, J. Progressive Growing of GANs for Improved Quality, Stability, and Variation. arXiv 2017, arXiv:1710.10196. [Google Scholar]
- Salimans, T.; Goodfellow, I.; Zaremba, W.; Cheung, V.; Radford, A.; Chen, X. Improved Techniques for Training GANs. arXiv 2016, arXiv:1606.03498. [Google Scholar]
- Kodali, N.; Abernethy, J.; Hays, J.; Kira, Z. On Convergence and Stability of GANs. arXiv 2017, arXiv:1705.07215. [Google Scholar]
- Lim, J.H.; Ye, J.C. Geometric GAN. arXiv 2017, arXiv:1705.02894. [Google Scholar]
- Zhang, H.; Goodfellow, I.; Metaxas, D.; Odena, A. Self-Attention Generative Adversarial Networks. arXiv 2018, arXiv:1805.08318. [Google Scholar]
- Brock, A.; Donahue, J.; Simonyan, K. Large Scale GAN Training for High Fidelity Natural Image Synthesis. arXiv 2018, arXiv:1809.11096. [Google Scholar]
- Johnson, J.; Alahi, A.; Fei-Fei, L. Perceptual losses for real-time style transfer and super-resolution. In European Conference on Computer Vision; Springer: Berlin/Heidelberg, Germany, 2016; pp. 694–711. [Google Scholar]
- Simonyan, K.; Zisserman, A. Very Deep Convolutional Networks for Large-Scale Image Recognition. arXiv 2014, arXiv:1409.1556. [Google Scholar]
- Deng, J.; Dong, W.; Socher, R.; Li, L.J.; Li, K.; Fei-Fei, L. Imagenet: A large-scale hierarchical image database. In Proceedings of the 2009 IEEE Conference on Computer Vision and Pattern Recognition, Miami, FL, USA, 20–25 June 2009; pp. 248–255. [Google Scholar]
- Flickr. 2018. Available online: https://www.flickr.com/ (accessed on 2 June 2021).
- Ioffe, S.; Szegedy, C. Batch Normalization: Accelerating Deep Network Training by Reducing Internal Covariate Shift. arXiv 2015, arXiv:1502.03167. [Google Scholar]
- Heusel, M.; Ramsauer, H.; Unterthiner, T.; Nessler, B.; Hochreiter, S. GANs Trained by a Two Time-Scale Update Rule Converge to a Local Nash Equilibrium. arXiv 2017, arXiv:1706.08500. [Google Scholar]
- Miyato, T.; Kataoka, T.; Koyama, M.; Yoshida, Y. Spectral normalization for generative adversarial networks. arXiv 2018, arXiv:1802.05957. [Google Scholar]
- Aydın, T.O.; Mantiuk, R.; Seidel, H.P. Extending quality metrics to full luminance range images. In Human Vision and Electronic Imaging XIII; International Society for Optics and Photonics: London, UK, 2008; Volume 6806, p. 68060B. [Google Scholar]
- Wang, Z.; Bovik, A.C.; Sheikh, H.R.; Simoncelli, E.P. Image quality assessment: From error visibility to structural similarity. IEEE Trans. Image Process. 2004, 13, 600–612. [Google Scholar] [CrossRef] [PubMed]
- Wang, Z.; Simoncelli, E.P.; Bovik, A.C. Multiscale structural similarity for image quality assessment. In Proceedings of the Thrity-Seventh Asilomar Conference on Signals, Systems & Computers, Pacific Grove, CA, USA, 9–12 November 2003; Volume 2, pp. 1398–1402. [Google Scholar]
- Narwaria, M.; Mantiuk, R.; Da Silva, M.P.; Le Callet, P. HDR-VDP-2.2: A calibrated method for objective quality prediction of high-dynamic range and standard images. J. Electron. Imaging 2015, 24, 010501. [Google Scholar] [CrossRef]










Publisher’s Note: MDPI stays neutral with regard to jurisdictional claims in published maps and institutional affiliations. |
© 2021 by the authors. Licensee MDPI, Basel, Switzerland. This article is an open access article distributed under the terms and conditions of the Creative Commons Attribution (CC BY) license (https://creativecommons.org/licenses/by/4.0/).
Share and Cite
Marnerides, D.; Bashford-Rogers, T.; Debattista, K. Deep HDR Hallucination for Inverse Tone Mapping. Sensors 2021, 21, 4032. https://doi.org/10.3390/s21124032
Marnerides D, Bashford-Rogers T, Debattista K. Deep HDR Hallucination for Inverse Tone Mapping. Sensors. 2021; 21(12):4032. https://doi.org/10.3390/s21124032
Chicago/Turabian StyleMarnerides, Demetris, Thomas Bashford-Rogers, and Kurt Debattista. 2021. "Deep HDR Hallucination for Inverse Tone Mapping" Sensors 21, no. 12: 4032. https://doi.org/10.3390/s21124032
APA StyleMarnerides, D., Bashford-Rogers, T., & Debattista, K. (2021). Deep HDR Hallucination for Inverse Tone Mapping. Sensors, 21(12), 4032. https://doi.org/10.3390/s21124032

