Monitoring the Detailed Dynamics of Regional Thermal Environment in a Developing Urban Agglomeration
Abstract
1. Introduction
2. Materials and Methods
2.1. The Study Site
2.2. Data and Preprocessing
2.2.1. MODIS Products
2.2.2. Night-Time Light Data
2.3. Methods
2.3.1. The Overall Dynamics of BTH Thermal Environment
2.3.2. The Changing Relationship among Inner UHIs
- PLANDPLAND indicates the area proportion of a specific land type [38].where indicates the area of the patch , represents the land type of a patch, and TA represents the total land area. PLAND equals to 100 percent if a single patch covers the entire study region. It equals to 0 if a specific patch type rarely exists.
- COHESIONCOHESION measures the level of connectedness of a specific land type [38].where represents the area of the patch , indicates the perimeter of patch ij, and indicates the number of patches.COHESION approaches 0 when the share of the specific type goes down, becomes less connected and further subdivided. The indicator goes up when the share of the specific type goes up, and turns more connected and aggregated.
- PLADJPLADJ measures the level of clump of the specific land type [38].where indicates the number of similar joins between cells belonging to land type i, and represents the number of joins between cells belonging to land type i and k. It approaches 0 if the land type is minimally clumped and no similar joins exists. PLADJ equals 100% if a single patch occupies the study area.
2.3.3. Analysis on Driving Mechanism
3. Results
3.1. The Overall Dynamics of the BTH Thermal Environment
3.2. The Changing Aggregation and Connectedness among Inner SUHIs
3.3. The Changing Differences among Inner Cities
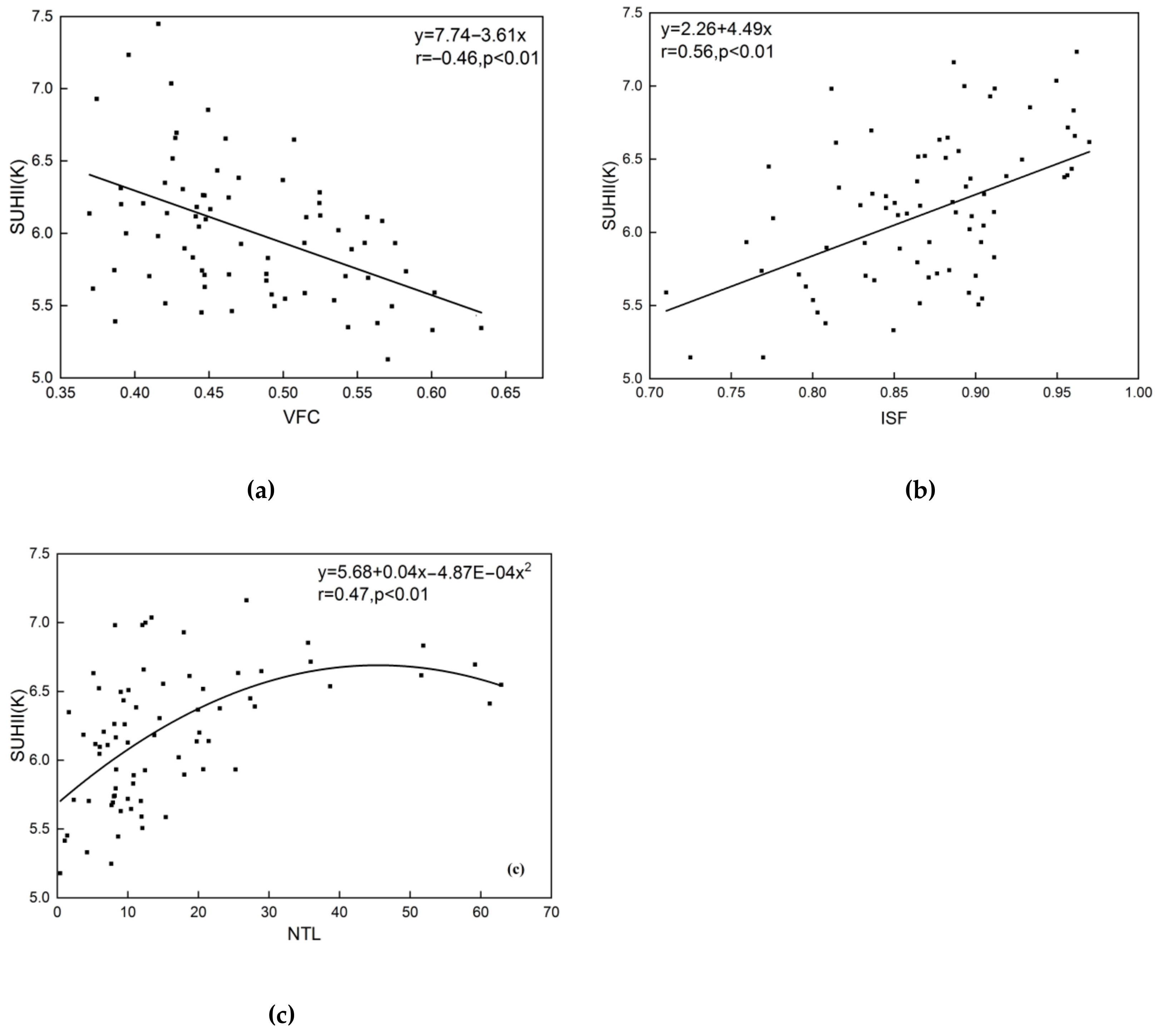
3.4. The Possible Driving Factors
4. Discussions
5. Conclusions
Author Contributions
Funding
Acknowledgments
Conflicts of Interest
References
- Fang, C.; Yu, D. Urban agglomeration: An evolving concept of an emerging phenomenon. Landsc. Urban Plan. 2017, 162, 126–136. [Google Scholar] [CrossRef]
- United Nations. World Urbanization Prospects: The 2014 Revision; Department of Economic and Social Affairs; Population Division: New York, NY, USA, 2015. [Google Scholar]
- Cai, D.; Fraedrich, K.; Guan, Y.; Zhang, C. Urbanization and the thermal environment of Chinese and US-American cities. Sci. Total Environ. 2017, 589, 200–211. [Google Scholar] [CrossRef]
- Kuang, W.; Liu, J.; Dong, J.; Chi, W.; Zhang, C. The rapid and massive urban and industrial land expansions in China between 1990 and 2010: A CLUD-based analysis of their trajectories, patterns, and drivers. Landsc. Urban Plan. 2010, 145, 21–33. [Google Scholar] [CrossRef]
- Ma, T.; Zhou, C.; Pei, T.; Pei, T.; Haynie, S.; Fan, J. Quantitative estimation of urbanization dynamics using time series of DMSP/OLS nighttime light data: A comparative case study from China’s cities. Remote Sens. Environ. 2012, 124, 99–107. [Google Scholar] [CrossRef]
- Sun, Y.; Zhang, X.; Ren, G.; Zwiers, F.W.; Hu, T. Contribution of urbanization to warming in China. Nat. Clim. Chang. 2016, 6, 706–709. [Google Scholar] [CrossRef]
- Harlan, S.L.; Brazel, A.J.; Prashad, L.; Stefanov, W.L.; Larsen, L. Neighborhood microclimates and vulnerability to heat stress. Soc. Sci. Med. 2006, 63, 2847–2863. [Google Scholar] [CrossRef]
- U.S Center for Disease Control. Heat-Related Morbidity and Mortality. Available online: http://www.cec.org/sites/default/files/documents/agenda/jeu-7-sept.-2017/george_luber_1.pdf (accessed on 30 April 2018).
- Navigant Consulting, Assessment of International Urban Heat Island Research; U.S. Department of Energy: Washington, DC, USA, 2014; p. 20585.
- Ramamurthy, P.; Bou-Zeid, E. Heatwaves and urban heat islands: A comparative analysis of multiple cities. J. Geophys. Res. Atmos. 2017, 122, 168–178. [Google Scholar] [CrossRef]
- Tan, J.; Zheng, Y.; Tang, X.; Guo, C.; Li, L.; Song, G.; Zhen, X.; Yuan, D.; Kalkstein, A.J.; Li, F. The urban heat island and its impact on heat waves and human health in Shanghai. Int. J. Biometeorol. 2010, 54, 75–84. [Google Scholar] [CrossRef]
- Founda, D.; Santamouris, M. Synergies between Urban Heat Island and Heat Waves in Athens (Greece), during an extremely hot summer (2012). Sci. Rep. UK 2017, 7, 10973. [Google Scholar] [CrossRef]
- Peng, J.; Jia, J.; Liu, Y.; Li, H.; Wu, J. Seasonal contrast of the dominant factors for spatial distribution of land surface temperature in urban areas. Remote Sens. Environ. 2018, 215, 255–267. [Google Scholar] [CrossRef]
- Song, X.; Hansen, M.; Stehman, S.; Potapov, P.; Tyukavina, A.; Vermote, E.; Townshend, J. Global land change from 1982 to 2016. Nature 2018, 560, 639–643. [Google Scholar] [CrossRef]
- Bakar, S.; Pradhan, B.; Lay, U.; Abdullahi, S. Spatial assessment of land surface temperature and land use/land cover in Langkawi Island. IOP Conf. Ser. 2016, 37, 012064. [Google Scholar] [CrossRef]
- Huang, G.; Cadenasso, M. People, landscape, and urban heat island: Dynamics among neighborhood social conditions, land cover and surface temperatures. Landsc. Ecol. 2016, 31, 2507–2515. [Google Scholar] [CrossRef]
- Kuang, W.; Liu, Y.; Dou, Y.; Chi, W.; Chen, G.; Gao, C.; Yang, T.; Liu, J.; Zhang, R. What are hot and what are not in an urban landscape: Quantifying and explaining the land surface temperature pattern in Beijing, China. Landsc. Ecol. 2015, 30, 357–373. [Google Scholar]
- Kuang, W.; Dou, Y.; Zhang, C.; Chi, W.; Liu, A.; Liu, Y.; Zhang, R.; Liu, Y. Quantifying the heat flux regulation of metropolitan land use/land cover components by coupling remote sensing modeling with in situ measurement. Geophys. Res. Atmos. 2015, 120, 113–130. [Google Scholar] [CrossRef]
- Liu, K.; Su, H.; Li, X.; Wang, W.; Yang, L.; Liang, H. Quantifying spatial–temporal pattern of urban heat island in Beijing: An improved assessment using land surface temperature (LST) time series observations from LANDSAT, MODIS, and Chinese new satellite GaoFen-1. IEEE J. Stars 2016, 9, 2028–2042. [Google Scholar]
- Santamouris, M.; Haddad, S.; Saliari, M.; Vasilakopoulou, K.; Synnefa, A.; Paolini, R.; Ulpiani, G.; Garshasbi, S.; Fiorito, F. On the energy impact of urban heat island in Sydney, climate and energy potential of mitigation technologies. Energy Build. 2018, 166, 154–164. [Google Scholar] [CrossRef]
- Chapman, S.; Watson, J.; Salazar, A.; Thatcher, M.; McAlpine, C. The impact of urbanization and climate change on urban temperatures: A systematic review. Landsc. Ecol. 2017, 32, 1921–1935. [Google Scholar] [CrossRef]
- Li, H.; Wang, C.Z.; Zhong, C.; Zhang, Z.; Liu, Q.B. Mapping Typical Urban land cover from Landsat Imagery without Training Samples or Self-Defined Parameters. Remote Sens. 2017, 9, 700. [Google Scholar] [CrossRef]
- Meng, Q.; Zhang, L.; Sun, Z.; Meng, F.; Wang, L.; Sun, Y. Characterizing spatial and temporal trends of surface urban heat island effect in an urban main built-up area: A 12-year case study in Beijing, China. Remote Sens. Environ. 2018, 204, 826–837. [Google Scholar] [CrossRef]
- Zhou, D.; Zhao, S.; Zhang, L.; Sun, G.; Liu, Y. The footprint of urban heat island effect in China. Sci. Rep. UK 2015, 5, 11160. [Google Scholar] [CrossRef] [PubMed]
- Li, M.; Wang, T.; Xie, M.; Zhuang, B.; Li, S.; Han, Y.; Cheng, N. Modeling of the urban heat island and its impacts on thermal circulations in the Beijing-Tianjin-Hebei region, China. Theor. Appl. Climatol. 2017, 128, 999–1013. [Google Scholar] [CrossRef]
- Wang, R.; Nakagoshi, N. Urban heat island change in the Beijing-Tianjin-Hebei metropolitan area driven by land cover change. Biomet 2010, 47, 77–89. [Google Scholar]
- Yu, Z.; Yao, Y.; Yang, G.; Wang, X.; Vejre, H. Strong contribution of rapid urbanization and urban agglomeration development to RTE dynamics and evolution. Forest. Ecol. Manag. 2019, 446, 214–225. [Google Scholar] [CrossRef]
- Li, Z.; Liu, L.; Dong, X.; Liu, J. The study of regional thermal environment in urban agglomerations using a new method based on metropolitan areas. Sci. Total Environ. 2019, 672, 370–380. [Google Scholar] [CrossRef] [PubMed]
- Zhou, D.; Bonafoni, S.; Zhang, L. Remote sensing of the urban heat island effect in a highly populated urban agglomeration area in East China. Sci. Total Environ. 2018, 628, 415–429. [Google Scholar] [CrossRef] [PubMed]
- Du, H.; Wang, D.; Wang, Y.; Zhao, X.; Qin, F.; Jiang, H.; Cai, Y. Influences of land cover types, meteorological conditions, anthropogenic heat and urban area on surface urban heat island in the Yangtze River Delta Urban Agglomeration. Sci. Total Environ. 2016, 571, 461–470. [Google Scholar] [CrossRef]
- Liu, Y.; Fang, X.; Xu, Y.; Zhang, L.; Zhu, C. Assessment of surface urban heat island across China’s three main urban agglomerations. Theor. Appl. Climatol. 2018, 133, 473–488. [Google Scholar] [CrossRef]
- Wang, S.; Ma, H.; Zhao, Y. Exploring the relationship between urbanization and the eco-environment—A case study of Beijing–Tianjin–Hebei region. Ecol. Indic. 2014, 45, 171–183. [Google Scholar] [CrossRef]
- Zhao, G.; Dong, J.; Cui, Y.; Liu, J.; Zhai, J.; He, T.; Zhou, Y.; Xiao, X. Evapotranspiration-dominated biogeophysical warming effect of urbanization in the Beijing-Tianjin-Hebei region, China. Clim. Dynam. 2018, 52, 1231–1245. [Google Scholar]
- Miao, S.; Chen, F.; LeMone, M.; Tewari, M.; Li, Q.; Wang, Y. An observational and modeling study of characteristics of urban heat island and boundary layer structures in Beijing. J. Appl. Meteorol. Clim. 2009, 48, 484–501. [Google Scholar] [CrossRef]
- Chen, C.; Zhe, C.; Wei, Y.; Li, H. Study of Temporal and Spatial Variation of Urban Heat Island Based on Landsat TM in Central City and Binhai New Area of Tianjin. J. Nat. Res. 2010, 25, 1727–1737. [Google Scholar]
- Qiao, Z.; Tian, G.; Zhang, L.; Xu, X. Influences of Urban Expansion on Urban Heat Island in Beijing during 1989–2010. Adv. Meteorol. 2014, 2014, 187169. [Google Scholar] [CrossRef]
- Parsch, Z.; Zhang, J. The Influence of Demography and Weak Selection on the McDonald–Kreitman Test: An Empirical Study in Drosophila. Mol. Biol. Evol. 2009, 26, 691–698. [Google Scholar] [CrossRef] [PubMed]
- UMass Landscape Ecology Lab. FRAGSTATS: Spatial Pattern Analysis Program for Categorical Maps. Available online: https://www.umass.edu/landeco/research/fragstats/fragstats.html (accessed on 10 May 2019).
- Xu, H.; Lin, D.; Tang, F. The impact of impervious surface development on land surface temperature in a subtropical city: Xiamen, China. Int. J. Climatol. 2012, 33, 1873–1883. [Google Scholar] [CrossRef]
- Connors, J.; Galletti, C.; Chow, W. Landscape configuration and urban heat island effects: Assessing the relationship between landscape characteristics and land surface temperature in Phoenix, Arizona. Landsc. Ecol. 2013, 28, 271–283. [Google Scholar] [CrossRef]
- Ren, G. Urbanization as a major driver of urban climate change. Adv. Clim. Chang. Res. 2015, 6, 1–6. [Google Scholar] [CrossRef]
- Bao, T.; Li, X.; Zhang, J.; Zhang, Y.J.; Tian, S.Z. Assessing the Distribution of Urban Green Spaces and its Anisotropic Cooling Distance on Urban Heat Island Pattern in Baotou, China. ISPRS Int. J. Geo Inf. 2016, 5, 12. [Google Scholar] [CrossRef]
- Li, H.; Wang, C.Z.; Zhong, C.; Su, A.J.; Xiong, C.R.; Wang, J.E.; Liu, J.Q. Mapping Urban Bare Land Automatically from Landsat Imagery with a Simple Index. Remote Sens. 2017, 9, 249. [Google Scholar] [CrossRef]
- Shao, Z.; Zhang, L.; Wang, L. Stacked Sparse Autoencoder Modeling Using the Synergy of Airborne LiDAR and Satellite Optical and SAR Data to Map Forest Above-Ground Biomass. IEEE J. Stars 2017, 10, 5569–5582. [Google Scholar] [CrossRef]
- Zhao, C.; Zheng, D.; He, W. Vegetation Cover Changes over Time and it is Effects on Resistance to Wind Erosion. Acta Phytoecol. Sin. 2005, 29, 68–73. [Google Scholar]
- Estoque, R.; Murayama, Y.; Myint, S. Effects of landscape composition and pattern on land surface temperature: An urban heat island study in the megacities of Southeast Asia. Sci. Total Environ. 2017, 577, 349–359. [Google Scholar] [CrossRef] [PubMed]
- Carlson, T.; Arthur, S. The impact of land use-land cover changes due to urbanization on surface microclimate and hydrology: A satellite perspective. Global Planet. Chang. 2000, 25, 49–65. [Google Scholar] [CrossRef]
- Fu, H.; Shao, Z.; Fu, P.; Cheng, Q. The Dynamic Analysis between Urban Nighttime Economy and Urbanization Using the DMSP/OLS Nighttime Light Data in China from 1992 to 2012. Remote Sens. 2017, 9, 416. [Google Scholar] [CrossRef]
- Shao, Z.; Liu, C. The Integrated Use of DMSP-OLS Nighttime Light and MODIS Data for Monitoring Large-Scale Impervious Surface Dynamics: A Case Study in the Yangtze River Delta. Remote Sens. 2014, 6, 9359–9378. [Google Scholar] [CrossRef]
- Lehman, A. Jmp for Basic Univariate and Multivariate Statistics: A Step-by-Step Guide; SAS Press: Cary, NC, USA, 2005; ISBN 978-1-59047–576-8. [Google Scholar]
- Weng, E.; Malyshev, S.; Lichstein, J.; Farrior, C.E.; Dybzinski, R.; Zhang, T.; Shevliakova, E.; Pacala, S.W. Scaling from individual trees to forests in an Earth system modeling framework using a mathematically tractable model of height-structured competition. Biogeosciences 2015, 12, 2655–2694. [Google Scholar] [CrossRef]
- Shao, Z.; Fu, H.; Li, D.; Altan, O.; Cheng, T. Remote sensing monitoring of multi-scale watersheds impermeability for urban hydrological evaluation. Remote Sens. Environ. 2019, 232, 111338. [Google Scholar] [CrossRef]
- Shao, Z.; Fu, H.; Fu, P.; Li, Y. Mapping Urban Impervious Surface by Fusing Optical and SAR Data at the Decision Level. Remote Sens. 2016, 8, 945. [Google Scholar] [CrossRef]
- The State Council, PRC. The Twelfth Five-Year Plan for National Economic and Social Development of the People’s Republic of China. Available online: http://www.gov.cn/2011lh/content1825838.htm (accessed on 30 April 2019).
- Cai, G.; Liu, Y.; Du, M. Impact of the 2008 Olympic Games on urban thermal environment in Beijing, China from satellite images. Sustain. Cities Soc. 2017, 32, 212–225. [Google Scholar] [CrossRef]
- Quan, J.; Chen, Y.; Zhan, W.; Wang, J.; Voogt, J.; Wang, M. Multi-temporal trajectory of the urban heat island centroid in Beijing, China based on a Gaussian volume model. Remote Sens. Environ. 2014, 149, 33–46. [Google Scholar] [CrossRef]






© 2020 by the authors. Licensee MDPI, Basel, Switzerland. This article is an open access article distributed under the terms and conditions of the Creative Commons Attribution (CC BY) license (http://creativecommons.org/licenses/by/4.0/).
Share and Cite
Liu, Y.; Li, H.; Gao, P.; Zhong, C. Monitoring the Detailed Dynamics of Regional Thermal Environment in a Developing Urban Agglomeration. Sensors 2020, 20, 1197. https://doi.org/10.3390/s20041197
Liu Y, Li H, Gao P, Zhong C. Monitoring the Detailed Dynamics of Regional Thermal Environment in a Developing Urban Agglomeration. Sensors. 2020; 20(4):1197. https://doi.org/10.3390/s20041197
Chicago/Turabian StyleLiu, Yue, Hui Li, Peng Gao, and Cheng Zhong. 2020. "Monitoring the Detailed Dynamics of Regional Thermal Environment in a Developing Urban Agglomeration" Sensors 20, no. 4: 1197. https://doi.org/10.3390/s20041197
APA StyleLiu, Y., Li, H., Gao, P., & Zhong, C. (2020). Monitoring the Detailed Dynamics of Regional Thermal Environment in a Developing Urban Agglomeration. Sensors, 20(4), 1197. https://doi.org/10.3390/s20041197
