Transmit BeampattarnOptimization for Automotive MIMO Radar Coexistedwith Communication in V2V Networks
Abstract
1. Introduction
- Firstly, we propose a transmitter beampattern based spectrum sharing scheme to achieve peaceful coexistence between automotive MIMO radar and V2V communications. The objective of this scheme is to find the optimal radar transmit precoding matrix and communication signal covariance matrix through maximizing the SINR of the radar receiver subject to the communication sum-rate/capacity and transmitted power budget constraints.
- The formulated optimization problem turns out to be non-convex due to the non-convexity of the communication capacity constraint. In order to circumvent this issue, a slack variable is added to convert the problem into a convex one, and were use the block coordinate descent, also known as alternation optimization, method to solve this problem.
- Furthermore, in order to reduce the computational complexity of the proposed scheme, the ellipsoid sub-gradient process is employed.
2. System Model
3. The Proposed Approach
3.1. The Alternating Iteration with Respect to
| Algorithm 1: The sub-gradient based ellipsoid method. |
| Input: . . 1. Compute according to (13) with fixing and ; 2. Calculate the sub-gradient with (15); 3. Compute and according to (17); 4. m=m+1; until . Output: . |
3.2. The Alternating Iteration with Respect to
| Algorithm 2: The proposed alternation optimization based method. |
| Input: . . Repeat 1. Obtain using Algorithm 1; . 1. Calculate ; 2. Compute according to the given and ; 3. Calculate with and 4. ; . 1. ; 2. Calculate with and 3. ; . Output: . |
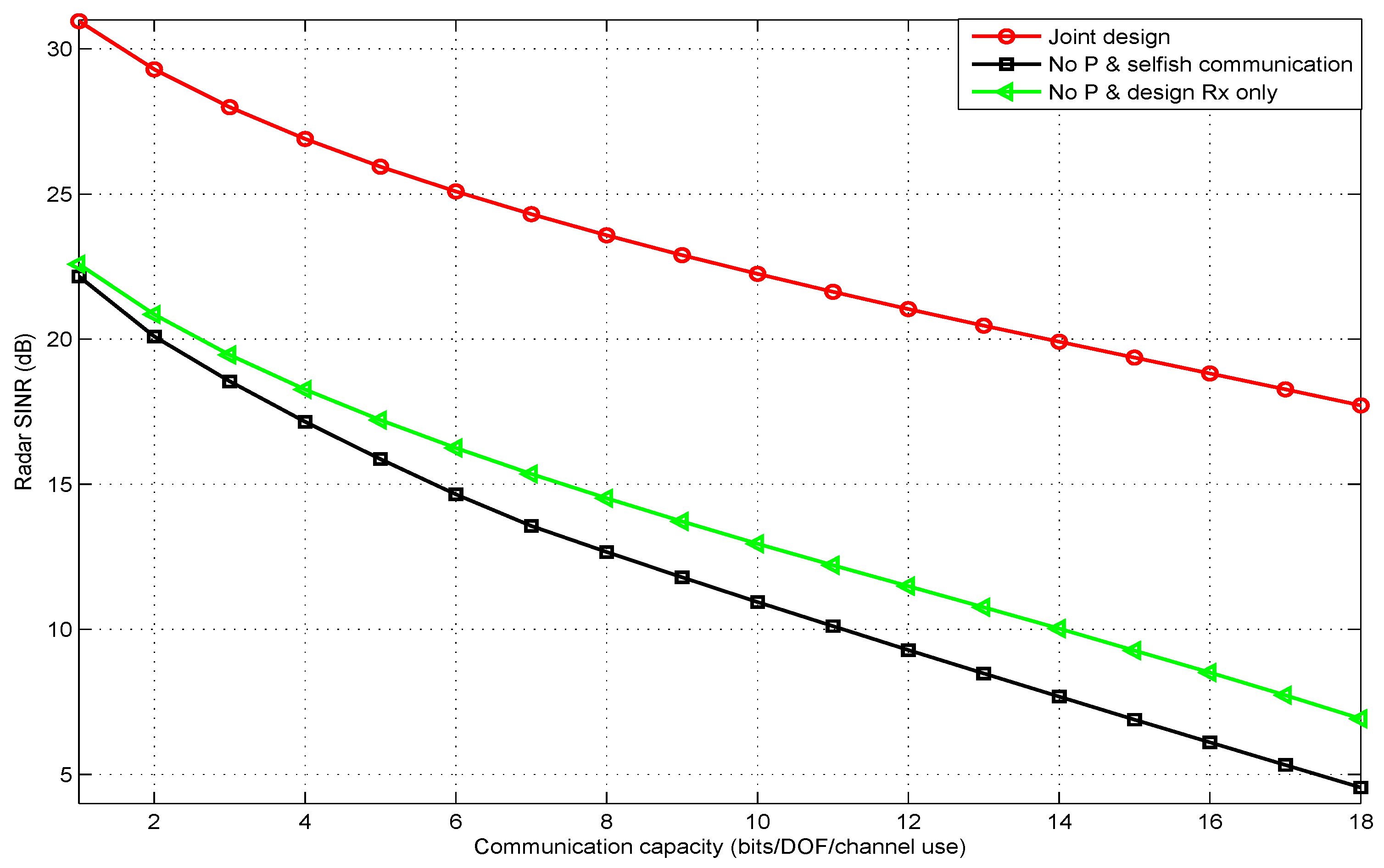
4. Simulation Results
5. Conclusions
Author Contributions
Funding
Conflicts of Interest
Abbreviations
| V2V | vehicle-to-vehicle |
| MIMO | multiple-input multiple-out |
| SINR | signal-to-interference plus noise ratio |
| 5G | fifth-generation |
| ULA | uniform linear arrays |
| SVD | singular-value decomposition |
| INR | interference plus noise rate |
| DoF | degree of freedom |
Appendix A
Appendix B
References
- Griffiths, H.; Blunt, S.; Cohen, L.; Savy, L. Challenge problems in spectrum engineering and waveform diversity. In Proceedings of the 2013 IEEE Radar Conference (RadarCon13), Ottawa, ON, Canada, 29 April–3 May 2013; pp. 1–5. [Google Scholar]
- Bliss, D.W. Cooperative radar and communications signaling: The estimation and information theory odd couple. In Proceedings of the 2014 IEEE Radar Conference, Cincinnati, OH, USA, 19–23 May 2014; pp. 50–55. [Google Scholar]
- Li, B.; Petropulu, A. MIMO radar and communication spectrum sharing with clutter mitigation. In Proceedings of the 2016 IEEE Radar Conference (RadarConf), Philadelphia, PA, USA, 2–6 May 2016; pp. 1–6. [Google Scholar]
- Li, B.; Petropulu, A.P.; Trappe, W. Optimum co-design for spectrum sharing between matrix completion based MIMO radars and a MIMO communication system. IEEE Trans. Signal Process. 2016, 64, 4562–4575. [Google Scholar] [CrossRef]
- Li, B.; Petropulu, A.P. Joint transmit designs for coexistence of MIMO wireless communications and sparse sensing radars in clutter. IEEE Trans. Aerosp. Electron. Syst. 2017, 53, 2846–2864. [Google Scholar] [CrossRef]
- Li, B.; Petropulu, A. Spectrum sharing between matrix completion based MIMO radars and a MIMO communication system. In Proceedings of the 2015 IEEE International Conference on Acoustics, Speech and Signal Processing (ICASSP), Brisbane, Australia, 19–24 April 2015; pp. 2444–2448. [Google Scholar]
- Sodagari, S.; Khawar, A.; Clancy, T.C.; McGwier, R. A projection based approach for radar and telecommunication systems coexistence. In Proceedings of the 2012 IEEE Global Communications Conference (GLOBECOM), Anaheim, CA, USA, 3–7 December 2012; pp. 5010–5014. [Google Scholar]
- Mahal, J.A.; Khawar, A.; Abdelhadi, A.; Clancy, T.C. Spectral coexistence of MIMO radar and MIMO cellular system. IEEE Trans. Aerosp. Electron. Syst. 2017, 53, 655–668. [Google Scholar] [CrossRef]
- Skaria, S.; Al-Hourani, A.; Evans, R.; Sithamparanathan, K.; Parampalli, U. Interference Mitigation in Automotive Radars Using Pseudo-Random Cyclic Orthogonal Sequences. Sensors 2019, 10, 4459. [Google Scholar] [CrossRef] [PubMed]
- Fischer, C.; Blöcher, H.L.; Dickmann, J.; Menzel, W. Robust detection and mitigation of mutual interference in automotive radar. In Proceedings of the 2015 16th International Radar Symposium (IRS), Dresden, Germany, 24–26 June 2015; pp. 143–148. [Google Scholar]
- Hossain, M.A.; Elshafiey, I.; Al-Sanie, A. Mutual interference mitigation in automotive radars under realistic road environments. In Proceedings of the 2017 8th International Conference on Information Technology (ICIT), Amman, Jordan, 17–18 May 2017; pp. 895–900. [Google Scholar]
- Aydogdu, C.; Garcia, N.; Hammarstrand, L.; Wymeersch, H. Radar Communications for Combating Mutual Interference of FMCW Radars. In Proceedings of the 2019 IEEE Radar Conference (RadarConf), Boston, MA, USA, 22–26 April 2019. [Google Scholar]
- Toth, M.; Meissner, P.; Melzer, A.; Witrisal, K. Performance Comparison of Mutual Automotive Radar Interference Mitigation Algorithms. In Proceedings of the 2019 IEEE Radar Conference (RadarConf), Boston, MA, USA, 22–26 April 2019. [Google Scholar]
- Goppelt, M.; Blöcher, H.; Menzel, W. Analytical investigation of mutual interference between automotive FMCW radar sensors. In Proceedings of the 2011 German Microwave Conference, Darmstadt, Germany, 14–16 March 2011. [Google Scholar]
- Brooker, G.M. Mutual Interference of Millimeter-Wave Radar Systems. IEEE Trans. Electromagn. Compat. 2007, 49, 170–181. [Google Scholar] [CrossRef]
- Akhtar, N.; Ergen, S.C.; Ozkasap, O. Vehicle Mobility and Communication Channel Models for Realistic and Efficient Highway VANET Simulation. IEEE Trans. Veh. Technol. 2015, 64, 248–262. [Google Scholar] [CrossRef]
- Sun, S.; Bajwa, W.U.; Petropulu, A.P. MIMO-MC radar: A MIMO radar approach based on matrix completion. IEEE Trans. Aerosp. Electron. Syst. 2015, 51, 1839–1852. [Google Scholar] [CrossRef]
- Sun, S.; Petropulu, A.P. Waveform design for MIMO radars with matrix completion. IEEE J. Sel. Top. Sign. Proces. 2015, 9, 1400–1414. [Google Scholar] [CrossRef]
- Richards, M.A. Fundamentals of radar signal processing; Tata McGraw-Hill Education: New York, NY, USA, 2005. [Google Scholar]
- Li, B.; Petropulu, A.P. Distributed MIMO radar based on sparse sensing: Analysis and efficient implementation. IEEE Trans. Aerosp. Electron. Syst. 2015, 51, 3055–3070. [Google Scholar] [CrossRef]
- Diggavi, S.N.; Cover, T.M. The worst additive noise under a covariance constraint. IEEE Trans. Inf. Theory 2001, 47, 3072–3081. [Google Scholar] [CrossRef]
- Boyd, S.; Vandenberghe, L. Convex optimization; Cambridge University Press: Cambridge, UK, 2004. [Google Scholar]
- Grant, M.; Boyd, S.; Ye, Y. CVX: Matlab software for disciplined convex programming. Available online: http://cvxr.com/cvx/ (accessed on 16 February 2020).
- Goffin, J.L. Convergence Rates of the Ellipsoid Method on General Convex Functions. Math. Oper. Res. 1983, 8, 135–150. [Google Scholar] [CrossRef]
- Chorti, A.; Perlaza, S.M.; Han, Z.; Poor, H.V. On the resilience of wireless multiuser networks to passive and active eavesdroppers. IEEE J. Sel. Areas Commun. 2013, 31, 1850–1863. [Google Scholar] [CrossRef]
- Tian, M.; Zhang, Q.; Zhao, S.; Li, Q.; Qin, J. Secrecy sum rate optimization for downlink MIMO nonorthogonal multiple access systems. IEEE Signal Process Lett. 2017, 24, 1113–1117. [Google Scholar] [CrossRef]
- Kumari, P.; Prelcic, N.G. Performance Comparison of Mutual Automotive Radar Interference Mitigation Algorithms. In Proceedings of the 2019 IEEE Radar Conference, Boston, MA, USA, 22–26 April 2019. [Google Scholar]




© 2020 by the authors. Licensee MDPI, Basel, Switzerland. This article is an open access article distributed under the terms and conditions of the Creative Commons Attribution (CC BY) license (http://creativecommons.org/licenses/by/4.0/).
Share and Cite
Jiang, Z.-M.; Zhang, P.-C.; Huang, L.; He, X.; Zhang, J.-H.; Rihan, M. Transmit BeampattarnOptimization for Automotive MIMO Radar Coexistedwith Communication in V2V Networks. Sensors 2020, 20, 1100. https://doi.org/10.3390/s20041100
Jiang Z-M, Zhang P-C, Huang L, He X, Zhang J-H, Rihan M. Transmit BeampattarnOptimization for Automotive MIMO Radar Coexistedwith Communication in V2V Networks. Sensors. 2020; 20(4):1100. https://doi.org/10.3390/s20041100
Chicago/Turabian StyleJiang, Zheng-Ming, Pei-Chang Zhang, Lei Huang, Xin He, Ji-Hong Zhang, and Mohamed Rihan. 2020. "Transmit BeampattarnOptimization for Automotive MIMO Radar Coexistedwith Communication in V2V Networks" Sensors 20, no. 4: 1100. https://doi.org/10.3390/s20041100
APA StyleJiang, Z.-M., Zhang, P.-C., Huang, L., He, X., Zhang, J.-H., & Rihan, M. (2020). Transmit BeampattarnOptimization for Automotive MIMO Radar Coexistedwith Communication in V2V Networks. Sensors, 20(4), 1100. https://doi.org/10.3390/s20041100

