Evaluation and Application of a Customizable Wireless Platform: A Body Sensor Network for Unobtrusive Gait Analysis in Everyday Life
Abstract
1. Introduction
2. Methods and Material
2.1. The IPANEMA Mainboard
2.2. Proprietary Network Protocol
2.3. Inertial Measurement Node
2.4. Measurement of Ground Reaction Forces
2.5. Unobtrusive Sensor Setup for Gait Monitoring
2.6. Detection of Physical Activity in Long-Term Measurements
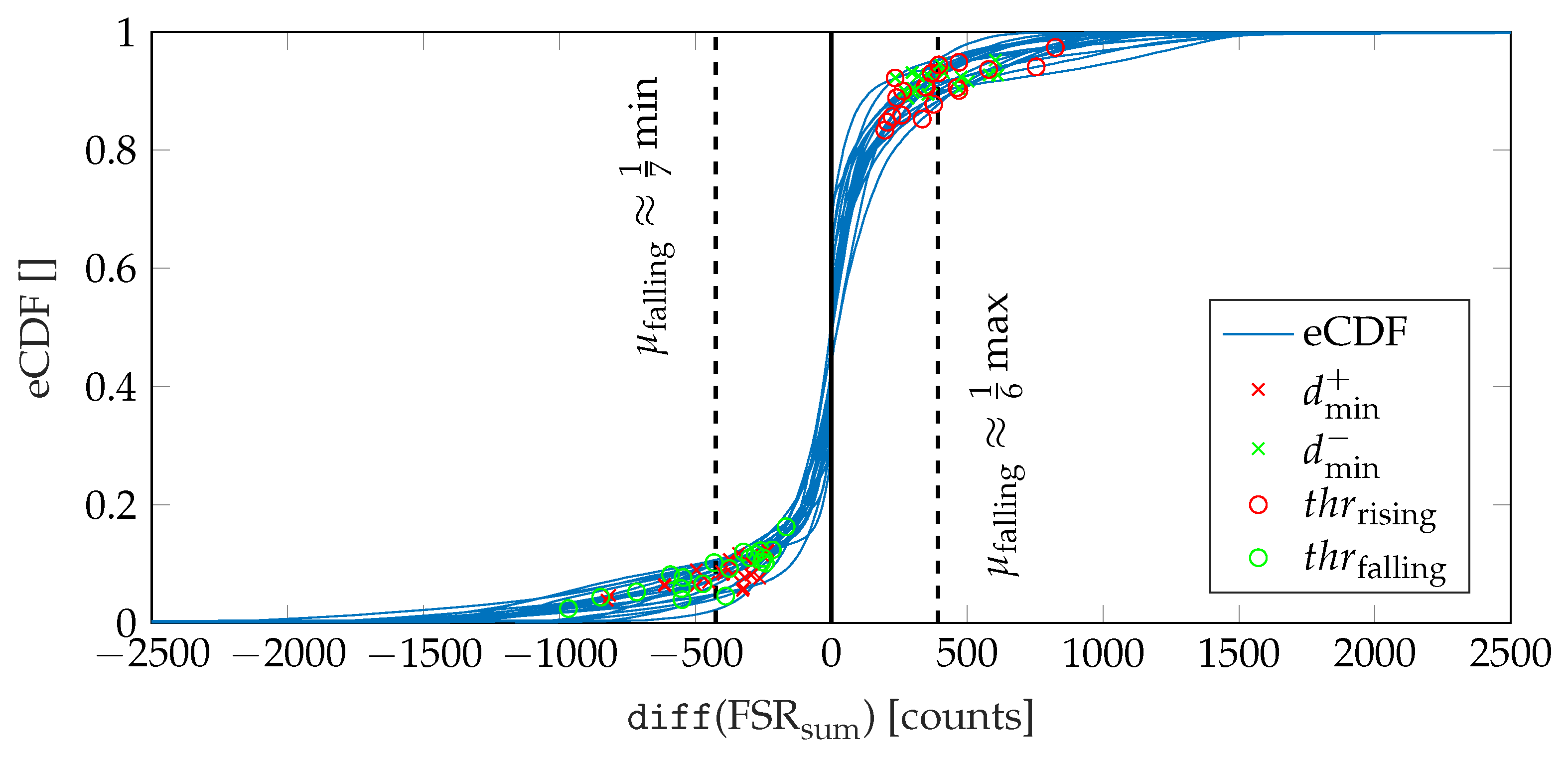
2.7. Algorithm for Gait Segmentation Based on FSR Measurements
2.8. Trial Designs for the Validation of the Sensor Setup
- Technical laboratory setup: The validation of the technical functionality in terms of transmission and timing performance was performed in a technical laboratory. The static measurements were conducted inside a laboratory room with as low electromagnetic interference as possible. The spatial signal strength measurements were conducted outside the building to reduce reflection disturbances. The SN was mounted on a turnable robot arm (Mitsubishi Movemaster) to avoid human tissue interference during the measurements and guarantee accurate spatial recordings.
- Long-term measurements: We conducted several long-term measurements with healthy subjects equipped with the proposed system during their everyday office life, while normally continuing their business. The records were used to validate the system reliability in a real-life scenario. Comparable to the technical validation, we focused on the evaluation of the transmission performance of the system.
- Gait parameter study: Since gait analysis is in the main scope of this contribution and the main purpose of the proposed system, we validated the system with respect to the extraction of gait parameters. We conducted a clinical trial in the movement laboratory of the Department of Geriatrics of RWTH Aachen University Hospital to compare the outcome of the system to clinically relevant gait parameters. The study was approved by the ethical committee of the University Hospital at RWTH Aachen University (Ref. No. EK 024-20) and included ten healthy, young participants (, 3 female, 7 male, average body height ). In each trial, the participant was asked to walk on a treadmill (Zebris FDM-T, Zebris Medical GmbH) at different walking speeds (1–4 ). The treadmill includes integrated force plates and generates the reference data for the gait parameters.
3. Results
3.1. Transmission Performance
3.2. Synchronization Performance
3.3. Qualitative GRF Measurement
3.4. Speed-Related Gait Parameters
4. Discussion
5. Conclusions
Author Contributions
Funding
Acknowledgments
Conflicts of Interest
References
- Centers for Medicare & Medicaid Services. National Health Expenditure Accounts. Available online: https://www.cms.gov/Research-Statistics-Data-and-Systems/Statistics-Trends-and-Reports/NationalHealthExpendData/NationalHealthAccountsHistorical (accessed on 20 October 2020).
- Yang, G.Z. Body Sensor Networks, 2nd ed.; Springer: London, UK, 2014. [Google Scholar]
- Edward, S.; Neuman, M.R. Wearable Sensors; Elsevier: Amsterdam, The Netherlands, 2014. [Google Scholar] [CrossRef]
- Dishman, E. Inventing wellness systems for aging in place. Computer 2004, 37, 34–41. [Google Scholar] [CrossRef]
- Chirwa, L.C.; Hammond, P.A.; Roy, S.; Cumming, D.R.S. Electromagnetic radiation from ingested sources in the human intestine between 150 MHz and 1.2 GHz. IEEE Trans. Bio-Med. Eng. 2003, 50. [Google Scholar] [CrossRef] [PubMed]
- Chan, Y.; Meng, M.Q.; Wu, K.; Wang, X. Experimental study of radiation efficiency from an ingested source inside a human body model*. In Proceedings of the 2005 IEEE Engineering in Medicine and Biology 27th Annual Conference, Shanghai, China, 31 August–3 September 2005; pp. 7754–7757. [Google Scholar] [CrossRef]
- Mellios, E.; Goulianos, A.; Dumanli, S.; Hilton, G.; Piechocki, R.; Craddock, I. Off-body channel measurements at 2.4 GHz and 868 MHz in an indoor environment. In Proceedings of the 9th International Conference on Body Area Networks, London, UK, 29 September–1 October 2014; Fortino, G., Suzuki, J., Andreopoulos, Y., Yuce, M., Hao, Y., Gravina, R., Eds.; ICST: South Portland, ME, USA, 2014. [Google Scholar] [CrossRef]
- Tao, W.; Liu, T.; Zheng, R.; Feng, H. Gait analysis using wearable sensors. Sensors 2012, 12, 2255–2283. [Google Scholar] [CrossRef] [PubMed]
- Maetzler, W.; Domingos, J.; Srulijes, K.; Ferreira, J.J.; Bloem, B.R. Quantitative wearable sensors for objective assessment of Parkinson’s disease. Mov. Disord. Off. J. Mov. Disord. Soc. 2013, 28, 1628–1637. [Google Scholar] [CrossRef] [PubMed]
- Shull, P.B.; Jirattigalachote, W.; Hunt, M.A.; Cutkosky, M.R.; Delp, S.L. Quantified self and human movement: A review on the clinical impact of wearable sensing and feedback for gait analysis and intervention. Gait Posture 2014, 40, 11–19. [Google Scholar] [CrossRef] [PubMed]
- Muro-de-la Herran, A.; Garcia-Zapirain, B.; Mendez-Zorrilla, A. Gait analysis methods: An overview of wearable and non-wearable systems, highlighting clinical applications. Sensors 2014, 14, 3362–3394. [Google Scholar] [CrossRef] [PubMed]
- Chen, S.; Lach, J.; Lo, B.; Yang, G.Z. Toward Pervasive Gait Analysis with Wearable Sensors: A Systematic Review. IEEE J. Biomed. Health Inform. 2016, 20, 1521–1537. [Google Scholar] [CrossRef]
- Morris, J. Accelerometry—A technique for the measurement of human body movements. J. Biomech. 1973, 6, 729–736. [Google Scholar] [CrossRef]
- Evans, A.L.; Duncan, G.; Gilchrist, W. Recording accelerations in body movements. Med. Biol. Eng. Comput. 1991, 29, 102–104. [Google Scholar] [CrossRef]
- Liu, R.; Zhou, J.; Liu, M.; Hou, X. A wearable acceleration sensor system for gait recognition. In Proceedings of the 2nd IEEE Conference on Industrial Electronics and Applications, Harbin, China, 23–25 May 2007; IEEE Operations Center: Piscataway, NJ, USA, 2007; pp. 2654–2659. [Google Scholar] [CrossRef]
- Moore, S.T.; MacDougall, H.G.; Gracies, J.M.; Cohen, H.S.; Ondo, W.G. Long-term monitoring of gait in Parkinson’s disease. Gait Posture 2007, 26, 200–207. [Google Scholar] [CrossRef]
- Jiang, S.; Zhang, B.; Wei, D. The elderly fall risk assessment and prediction based on gait analysis. In Proceedings of the 2011 IEEE 11th International Conference on Computer and Information Technology, Las Vegas, NV, USA, 11–13 April 2011; Staff, I., Ed.; IEEE: Piscataway, NJ, USA, 2011; pp. 176–180. [Google Scholar] [CrossRef]
- Salarian, A.; Burkhard, P.R.; Vingerhoets, F.J.G.; Jolles, B.M.; Aminian, K. A novel approach to reducing number of sensing units for wearable gait analysis systems. IEEE Trans. Bio-Med. Eng. 2013, 60, 72–77. [Google Scholar] [CrossRef] [PubMed]
- Tadano, S.; Takeda, R.; Miyagawa, H. Three dimensional gait analysis using wearable acceleration and gyro sensors based on quaternion calculations. Sensors 2013, 13, 9321–9343. [Google Scholar] [CrossRef] [PubMed]
- Fusca, M.; Negrini, F.; Perego, P.; Magoni, L.; Molteni, F.; Andreoni, G. Validation of a Wearable IMU System for Gait Analysis: Protocol and Application to a New System. Appl. Sci. 2018, 8, 1167. [Google Scholar] [CrossRef]
- Steinmetzer, T.; Bonninger, I.; Priwitzer, B.; Reinhardt, F.; Reckhardt, M.C.; Erk, D.; Travieso, C.M. Clustering of human gait with Parkinson’s disease by using dynamic time warping. In Proceedings of the 2018 IEEE International Work Conference on Bioinspired Intelligence (IWOBI), Alajuela, Costa Rica, 18–20 July 2018; pp. 1–6. [Google Scholar] [CrossRef]
- Qiu, S.; Liu, L.; Zhao, H.; Wang, Z.; Jiang, Y. MEMS Inertial Sensors Based Gait Analysis for Rehabilitation Assessment via Multi-Sensor Fusion. Micromachines 2018, 9, 442. [Google Scholar] [CrossRef] [PubMed]
- Bongartz, M.; Kiss, R.; Lacroix, A.; Eckert, T.; Ullrich, P.; Jansen, C.P.; Feißt, M.; Mellone, S.; Chiari, L.; Becker, C.; et al. Validity, reliability, and feasibility of the uSense activity monitor to register physical activity and gait performance in habitual settings of geriatric patients. Physiol. Meas. 2019, 40, 095005. [Google Scholar] [CrossRef] [PubMed]
- Yogev, G.; Giladi, N.; Peretz, C.; Springer, S.; Simon, E.S.; Hausdorff, J.M. Dual tasking, gait rhythmicity, and Parkinson’s disease: Which aspects of gait are attention demanding? Eur. J. Neurosci. 2005, 22, 1248–1256. [Google Scholar] [CrossRef] [PubMed]
- Aggarwal, A.; Gupta, R.; Agarwal, R. Design and development of integrated insole system for gait analysis. In Proceedings of the 2018 11th International Conference on Contemporary Computing (IC3), Noida, India, 2–4 August 2018; pp. 1–5. [Google Scholar] [CrossRef]
- Cho, H. Design and implementation of a lightweight smart insole for gait analysis. In Proceedings of the 16th IEEE International Conference on Trust, Security and Privacy in Computing and Communications, Sydney, Australia, 1–4 August 2017; IEEE: Piscataway, NJ, USA, 2017; pp. 792–797. [Google Scholar] [CrossRef]
- Ngueleu, A.M.; Blanchette, A.K.; Bouyer, L.; Maltais, D.; McFadyen, B.J.; Moffet, H.; Batcho, C.S. Design and Accuracy of an Instrumented Insole Using Pressure Sensors for Step Count. Sensors 2019, 19, 984. [Google Scholar] [CrossRef]
- Qin, L.Y.; Ma, H.; Liao, W.H. Insole plantar pressure systems in the gait analysis of post-stroke rehabilitation. In Proceedings of the 2015 IEEE International Conference on Information and Automation, Lijiang, China, 8–10 August 2015; pp. 1784–1789. [Google Scholar] [CrossRef]
- Bamberg, S.J.M.; Benbasat, A.Y.; Scarborough, D.M.; Krebs, D.E.; Paradiso, J.A. Gait analysis using a shoe-integrated wireless sensor system. IEEE Trans. Inf. Technol. Biomed. 2008, 12, 413–423. [Google Scholar] [CrossRef]
- Hegde, N.; Sazonov, E. SmartStep: A Fully Integrated, Low-Power Insole Monitor. Electronics 2014, 3, 381–397. [Google Scholar] [CrossRef]
- Jacobs, D.A.; Ferris, D.P. Estimation of ground reaction forces and ankle moment with multiple, low-cost sensors. J. NeuroEng. Rehabil. 2015, 12, 1. [Google Scholar] [CrossRef]
- Lin, F.; Wang, A.; Zhuang, Y.; Tomita, M.R.; Xu, W. Smart Insole: A Wearable Sensor Device for Unobtrusive Gait Monitoring in Daily Life. IEEE Trans. Ind. Inform. 2016, 12, 2281–2291. [Google Scholar] [CrossRef]
- Wu, Y.; Xu, W.; Liu, J.J.; Huang, M.C.; Luan, S.; Lee, Y. An Energy-Efficient Adaptive Sensing Framework for Gait Monitoring Using Smart Insole. IEEE Sens. J. 2015, 15, 2335–2343. [Google Scholar] [CrossRef]
- Crea, S.; Donati, M.; de Rossi, S.M.M.; Oddo, C.M.; Vitiello, N. A wireless flexible sensorized insole for gait analysis. Sensors 2014, 14, 1073–1093. [Google Scholar] [CrossRef] [PubMed]
- Tan, A.M.; Fuss, F.K.; Weizman, Y.; Woudstra, Y.; Troynikov, O. Design of Low Cost Smart Insole for Real Time Measurement of Plantar Pressure. Procedia Technol. 2015, 20, 117–122. [Google Scholar] [CrossRef]
- Kim, S.; Beckmann, L.; Pistor, M.; Cousin, L.; Walter, M.; Leonhardt, S. A versatile Body Sensor Network for health care applications. In Proceedings of the 2009 International Conference on Intelligent Sensors, Sensor Networks and Information Processing (ISSNIP), Melbourne, VIC, Australia, 7–10 December 2009; pp. 175–180. [Google Scholar] [CrossRef]
- Kim, S.; Brendle, C.; Lee, H.Y.; Walter, M.; Gloeggler, S.; Krueger, S.; Leonhardt, S. Evaluation of a 433 MHz band body sensor network for biomedical applications. Sensors 2013, 13, 898–917. [Google Scholar] [CrossRef] [PubMed]
- Lueken, M.; ten Kate, W.; Batista, J.P.; Ngo, C.; Bollheimer, C.; Leonhardt, S. Peak detection algorithm for gait segmentation in long-term monitoring for stride time estimation using inertial measurement sensors. In Proceedings of the 2019 IEEE EMBS International Conference on Biomedical & Health Informatics (BHI), Chicago, IL, USA, 19–22 May 2019; pp. 1–4. [Google Scholar] [CrossRef]
- Lueken, M.; Kate, W.T.; Valenti, G.; Batista, J.P.; Bollheimer, C.; Leonhardt, S.; Ngo, C. Estimation of Stride Time Variability in Unobtrusive Long-Term Monitoring Using Inertial Measurement Sensors. IEEE J. Biomed. Health Inform. 2020, 24. [Google Scholar] [CrossRef] [PubMed]
- European Telecommunications Standards Institut. ETSI EN 300 220–1 V2. 4.1 (2012-05) Electromagnetic Compatibility and Radio Spectrum Matters (ERM); Short Range Devices (SRD). Available online: https://www.etsi.org/deliver/etsi_en/300200_300299/30022001/02.04.01_60/en_30022001v020401p.pdf (accessed on 19 December 2020).
- Yadav, N.; Bleakley, C. Accurate orientation estimation using AHRS under conditions of magnetic distortion. Sensors 2014, 14, 20008–20024. [Google Scholar] [CrossRef]
- Fulk, G.D.; Edgar, S.R.; Bierwirth, R.; Hart, P.; Lopez-Meyer, P.; Sazonov, E. Identifying activity levels and steps of people with stroke using a novel shoe-based sensor. J. Neurol. Phys. Ther. JNPT 2012, 36, 100–107. [Google Scholar] [CrossRef]












| Feature | IPANEMA v2.5 (2011) | IPANEMA v3.0 (2019) |
|---|---|---|
| Controller | MSP430F1611 | CC1310 |
| Architecture | 16-Bit RISC | ARM Cortex-M3 |
| RF Transceiver | CC1101 | integrated |
| Frequency Band | 433 MHz | 868 MHz/915 MHz |
| max. TX Power | 10 dBm | 14 dBm |
| TX Current * | 29.2 mA | 13.4 mA |
| RX Current | 15.7 mA | 5.5 mA |
| Battery | 330 mAh | 230 mAh |
| Operating Time ** | ca. 4 h | ca. 12 h |
| max. Data Rate | 500 kBit/s | 4 MBit/s |
| Sensitivity | −116 dBm | −124 dBm |
| Parameter | Accelerometer | Gyroscope | Pressure Sensor |
|---|---|---|---|
| Range | |||
| Resolution | |||
| Noise | |||
| Sampling Rate |
| Data | Parameter | Wrist | Thigh | Chest | Ankle | Averaged |
|---|---|---|---|---|---|---|
| All | RSSI | −62.80 | −63.41 | −56.95 | −68.32 | −62.87 |
| PER | 5.42 | 6.36 | 1.16 | 8.87 | 5.45 | |
| Gait | RSSI | −65.07 | −60.11 | −57.10 | −67.32 | −62.40 |
| PER | 9.34 | 4.76 | 3.75 | 11.68 | 7.38 |
| Indicator | Average | Worst Case |
|---|---|---|
| Passed Test | ||
| Divergence | ||
| Abs. Divergence | ||
| Linearity | ||
| 0.025 | ||
| Abs. Adj. Divergence |
| Data | Walking Speed [km h] | ||||||
|---|---|---|---|---|---|---|---|
| 1.0 | 1.5 | 2.0 | 2.5 | 3.0 | 3.5 | 4.0 | |
| 0.126 | 0.108 | 0.095 | 0.091 | 0.099 | 0.091 | 0.108 | |
| 0.112 | 0.084 | 0.071 | 0.065 | 0.061 | 0.061 | 0.065 | |
| Number of Strides/Cadence | Mean Stride Time | Percentage Stance Phase | |||||||
|---|---|---|---|---|---|---|---|---|---|
| Speed [km h] | FSR [min] | Ref. [min] | Accuracy [%] | FSR [s] | Ref. [s] | RMSE [ms] | FSR [%] | Ref. [%] | RMSE [%] |
| 29.84.25 | 29.14.15 | 97.81.62 | 2.050.31 | 2.050.32 | 22.36 | 77.363.96 | 76.302.99 | 2.76 | |
| 35.53.73 | 35.53.66 | 99.70.58 | 1.710.21 | 1.710.21 | 2.80 | 72.533.22 | 72.371.79 | 2.47 | |
| 40.53.46 | 40.53.44 | 99.90.38 | 1.490.15 | 1.490.15 | 7.93 | 70.453.02 | 70.451.53 | 2.53 | |
| 44.53.55 | 44.43.56 | 99.90.34 | 1.360.12 | 1.360.12 | 0.35 | 68.652.10 | 69.221.35 | 1.70 | |
| 47.93.73 | 47.93.77 | 99.90.33 | 1.260.11 | 1.260.11 | 0.40 | 68.182.19 | 68.201.21 | 1.99 | |
| 50.13.09 | 50.13.05 | 99.90.31 | 1.200.08 | 1.200.08 | 0.77 | 67.812.70 | 67.401.31 | 2.52 | |
| 52.83.38 | 52.93.35 | 99.90.29 | 1.140.08 | 1.140.08 | 0.58 | 67.242.00 | 66.551.27 | 2.10 | |
| Average | 43.08.5 | 42.98.6 | 99.61.0 | 1.460.3 | 1.460.3 | 5.027 | 70.324.4 | 70.073.6 | 2.296 |
Publisher’s Note: MDPI stays neutral with regard to jurisdictional claims in published maps and institutional affiliations. |
© 2020 by the authors. Licensee MDPI, Basel, Switzerland. This article is an open access article distributed under the terms and conditions of the Creative Commons Attribution (CC BY) license (http://creativecommons.org/licenses/by/4.0/).
Share and Cite
Lueken, M.; Mueller, L.; Decker, M.G.; Bollheimer, C.; Leonhardt, S.; Ngo, C. Evaluation and Application of a Customizable Wireless Platform: A Body Sensor Network for Unobtrusive Gait Analysis in Everyday Life. Sensors 2020, 20, 7325. https://doi.org/10.3390/s20247325
Lueken M, Mueller L, Decker MG, Bollheimer C, Leonhardt S, Ngo C. Evaluation and Application of a Customizable Wireless Platform: A Body Sensor Network for Unobtrusive Gait Analysis in Everyday Life. Sensors. 2020; 20(24):7325. https://doi.org/10.3390/s20247325
Chicago/Turabian StyleLueken, Markus, Leo Mueller, Michel G. Decker, Cornelius Bollheimer, Steffen Leonhardt, and Chuong Ngo. 2020. "Evaluation and Application of a Customizable Wireless Platform: A Body Sensor Network for Unobtrusive Gait Analysis in Everyday Life" Sensors 20, no. 24: 7325. https://doi.org/10.3390/s20247325
APA StyleLueken, M., Mueller, L., Decker, M. G., Bollheimer, C., Leonhardt, S., & Ngo, C. (2020). Evaluation and Application of a Customizable Wireless Platform: A Body Sensor Network for Unobtrusive Gait Analysis in Everyday Life. Sensors, 20(24), 7325. https://doi.org/10.3390/s20247325

