Identification of Bridge Key Performance Indicators Using Survival Analysis for Future Network-Wide Structural Health Monitoring
Abstract
1. Introduction
2. Methodologies Adopted for Current Bridge Predictive Maintenance Methods
2.1. Markov Theory and Its Application in the Current State-Of-The-Art Bridge Management Systems
Methods for Calculating Transition Probabilities
2.2. Deterioration Model in the Current BMS
2.3. Improvements to the Markov Model
2.4. Semi-Markov Model
2.5. Survival Analysis
2.6. Artifical Intelligence (AI), Machine Learning and Data Mining Techniques
3. Case Study: Application to Visual Inspection Data from the Northern Ireland (NI) Road Network
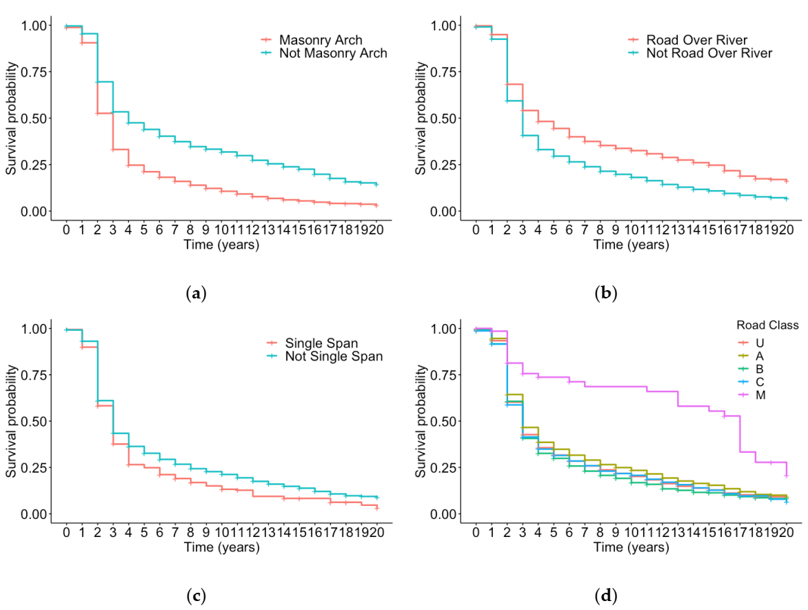
Application of Survival Analysis Techniques
4. Discussion, Conclusions and Further Work
Author Contributions
Funding
Acknowledgments
Conflicts of Interest
References
- Bennetts, J.; Vardanega, P.J.; Taylor, C.A.; Denton, S.R. Bridge data—What do we collect and how do we use it. In Transforming the Future of Infrastructure through Smarter Information: Proceedings of the International Conference on Smart Infrastructure and ConstructionConstruction; ICE Publishing: London, UK, 2016; pp. 531–536. [Google Scholar]
- Bennetts, J.; Vardanega, P.J.; Taylor, C.A.; Denton, S.R. Survey of the use of data in UK bridge asset management. Proc. Inst. Civil Eng. Bridge Eng. 2019, 1, 1–37. Available online: https://www.scimagojr.com/journalsearch.php?q=144875&tip=sid (accessed on 1 December 2020).
- Gosliga, J.; Gardner, P.A.; Bull, L.A.; Dervilis, N.; Worden, K. Towards population-based structural health monitoring, Part III: Graphs, networks and communities. In Proceedings of the 38th IMAC, A Conference and Exposition on Structural Dynamics. 38th International Modal Analysis Conference, Houston, TX, USA, 10–13 February 2020. [Google Scholar]
- Inaudi, D. Overview of 40 Bridge Structural Health Monitoring Projects. In Proceedings of the International Bridge Conference, Pittsburgh, PA, USA, 6–9 June 2010; pp. 15–17. [Google Scholar]
- Mishalani, R.G.; Madanat, S.M. Computation of infrastructure transition probabilities using stochastic duration models. J. Infrastruct. Syst. 2002, 8, 139–148. [Google Scholar] [CrossRef]
- Morcous, G. Performance Prediction of Bridge Deck Systems Using Markov Chains. J. Perform. Constr. Facil. 2006, 20, 146–155. [Google Scholar] [CrossRef]
- Golabi, K.; Shepard, R. Pontis: A System for Maintenance Optimization and Improvement of US Bridge Networks. Interfaces 1997, 27, 71–88. [Google Scholar] [CrossRef]
- Hawk, H. BRIDGIT: User-friendly approach to bridge management. Transp. Res. Circ. 1999, 498, 1–15. [Google Scholar]
- Scherer, W.T.; Glagola, D.M. Markovian Models for Bridge Maintenance Management. J. Transp. Eng. 1994, 120, 37–51. [Google Scholar] [CrossRef]
- Bu, G.; Candidate, P.; Lee, J.; Guan, H.; Blumenstein, M. Improving Reliability of Markovian-based Bridge Deterioration Model Using Artificial Neural Network. In Proceedings of the 35th International Symposium on Bridge and Structural Engineering (IASBE), London, UK, 20–23 September 2011. [Google Scholar]
- Cesare, M.A.; Santamarina, C.; Members, A.; Turkstra, C.; Vanmarcke, E.H. Modeling Bridge Deterioration with Markov Chains. J. Transp. Eng. 1992, 118, 820–833. [Google Scholar] [CrossRef]
- Ng, S.K.; Moses, F. Bridge deterioration modeling using semi-Markov theory. Structural Safety and Reliability. In Proceedings of the ICOSSAR’97, the 7th International Conference on Structural Safety and Reliability, Kyoto, Japan, 24–28 November 1997; p. 113. [Google Scholar]
- Madanat, S.; Ibrahim, W.H.W. Poisson Regression Models of Infrastructure Transition Probabilities. J. Transp. Eng. 1995, 121, 267–272. [Google Scholar] [CrossRef]
- Agrawal, A.K.; Kawaguchi, A.; Chen, Z. Deterioration rates of typical bridge elements in New York. J. Bridg. Eng. 2010, 15, 419–429. [Google Scholar] [CrossRef]
- Ng, S.-K.; Moses, F. Prediction of Bridge Service Life Using Time-Dependent Reliability Analysis; Harding, J.E., Parke, G.A.R., Ryall, M.J., Eds.; E & FN Spon: London, UK, 1996; pp. 26–33. [Google Scholar]
- Lee, J.; Sanmugarasa, K.; Blumenstein, M.; Loo, Y.C. Improving the reliability of a Bridge Management System (BMS) using an ANN-based Backward Prediction Model (BPM). Autom. Constr. 2008, 17, 758–772. [Google Scholar] [CrossRef]
- Sobanjo, J.O. State transition probabilities in bridge deterioration based on weibull sojourn times. Struct. Infrastruct. Eng. 2011, 7, 747–764. [Google Scholar] [CrossRef]
- Kalbfleisch, J.D.; Prentice, R.L. The Statistical Analysis of Failure Data. IEEE Trans. Reliab. 1986, 35, 11. [Google Scholar] [CrossRef]
- Fang, Y.; Sun, L. Developing A semi-markov process model for bridge deterioration prediction in Shanghai. Sustainability 2019, 11, 5524. [Google Scholar] [CrossRef]
- Tabatabai, H.; Tabatabai, M.; Lee, C.W. Reliability of bridge decksin Wisconsin. J. Bridg. Eng. 2011, 16, 53–62. [Google Scholar] [CrossRef]
- Beng, S.S.; Matsumoto, T. Survival analysis on bridges for modeling bridge replacement and evaluating bridge performance. Struct. Infrastruct. Eng. 2012, 8, 251–268. [Google Scholar] [CrossRef]
- Yang, Y.N.; Kumaraswamy, M.M.; Pam, H.J.; Xie, H.M. Integrating semiparametric and parametric models in survival analysis of bridge element deterioration. J. Infrastruct. Syst. 2013, 19, 176–185. [Google Scholar] [CrossRef]
- Cox, D.R. Regression Models and Life-Tables. J. R. Stat. Soc. Ser. B 1972, 34, 187–220. [Google Scholar] [CrossRef]
- Tabatabai, M.A.; Bursac, Z.; Williams, D.K.; Singh, K.P. Hypertabastic survival model. Theor. Biol. Med. Model. 2007, 4, 1–13. [Google Scholar] [CrossRef]
- Tabatabai, H.; Lee, C.W.; Tabatabai, M.A. Reliability of bridge decks in the United States. Bridg. Struct. 2015, 11, 75–85. [Google Scholar] [CrossRef]
- Tabatabai, H.; Lee, C.-W.; Tabatabai, M.A. Survival Analyses for Bridge Decks in Northern United States; University of Wisconsin-Milwaukee: Milwaukee, WI, USA, 2016. [Google Scholar]
- Nabizadeh, A.; Tabatabai, H.; Tabatabai, M.A. Survival analysis of bridge superstructures in Wisconsin. Appl. Sci. 2018, 8, 2079. [Google Scholar] [CrossRef]
- Cattan, J.; Mohammadi, J. Analysis of bridge condition rating data using neural networks. Comput. Civ. Infrastruct. Eng. 1997, 12, 419–429. [Google Scholar] [CrossRef]
- Tokdemir, O.B.; Mohammadi, J.; Ayvalik, C. Prediction of highway bridge performance by artificial neural networks and genetic algorithms MODA-Managing owner directed acceleration view project. In Proceedings of the 17th International Symposium on Automation and Robotics in Construction, Taipei, Taiwan, 18–20 September 2000. [Google Scholar]
- Morcous, G.; Rivard, H.; Hanna, A.M. Modeling Bridge Deterioration Using Case-based Reasoning. J. Infrastruct. Syst. 2002, 8, 86–95. [Google Scholar] [CrossRef]
- Rafiq, M.I.; Chryssanthopoulos, M.K.; Sathananthan, S. Bridge condition modelling and prediction using dynamic Bayesian belief networks. Struct. Infrastruct. Eng. 2015, 11, 38–50. [Google Scholar] [CrossRef]
- Martinez, P.; Mohamed, E.; Mohsen, O.; Mohamed, Y. Comparative Study of Data Mining Models for Prediction of Bridge Future Conditions. J. Perform. Constr. Facil. 2020, 34, 04019108. [Google Scholar] [CrossRef]
- Stevens, N.-A.; Lydon, M.; Campbell, K.; Neeson, T.; Marshall, A.H.; Taylor, S.E. Conversion of legacy inspection data to Bridge Condition Index (BCI) to establish baseline deterioration condition history for predictive maintenance models. In Civil Engineering Research in Ireland Conference Proceedings; CERAI: Cork, Ireland, 2020. [Google Scholar]



| Condition Rating | BCI Boundaries |
|---|---|
| 1 | [83,100] |
| 2 | [73,83) |
| 3 | [53,73) |
| 4 | [0,53) |
| Bridge Characteristic | State 1 | State 2 | State 3 |
|---|---|---|---|
| Masonry Arch and Not Masonry Arch | *** | ||
| Road Over River and Not Road Over River | *** | ||
| Single Span and Not Single Span | |||
| Road Class |
| Variable | Coefficient (to 3sf) | Exp(coef) to 3sf | Confidence Interval for Exp(coef) |
|---|---|---|---|
| Single Span | −0.125 | 0.883 | [0.778,1.00] |
| Road Class—A | 0.0822 | 1.09 | [0.998,1.18] |
| Road Class—B | 0.0490 | 1.05 | [0.967,1.14] |
| Road Class—C | 0.0143 | 1.01 | [0.94,1.09] |
| Road Class—M | −0.570 | 0.566 | [0.402,0.797] |
| Road over River | 0.102 | 1.11 | [1.02,1.21] |
| Masonry Arch | 0.572 | 1.77 | [1.66,1.89] |
Publisher’s Note: MDPI stays neutral with regard to jurisdictional claims in published maps and institutional affiliations. |
© 2020 by the authors. Licensee MDPI, Basel, Switzerland. This article is an open access article distributed under the terms and conditions of the Creative Commons Attribution (CC BY) license (http://creativecommons.org/licenses/by/4.0/).
Share and Cite
Stevens, N.-A.; Lydon, M.; Marshall, A.H.; Taylor, S. Identification of Bridge Key Performance Indicators Using Survival Analysis for Future Network-Wide Structural Health Monitoring. Sensors 2020, 20, 6894. https://doi.org/10.3390/s20236894
Stevens N-A, Lydon M, Marshall AH, Taylor S. Identification of Bridge Key Performance Indicators Using Survival Analysis for Future Network-Wide Structural Health Monitoring. Sensors. 2020; 20(23):6894. https://doi.org/10.3390/s20236894
Chicago/Turabian StyleStevens, Nicola-Ann, Myra Lydon, Adele H. Marshall, and Su Taylor. 2020. "Identification of Bridge Key Performance Indicators Using Survival Analysis for Future Network-Wide Structural Health Monitoring" Sensors 20, no. 23: 6894. https://doi.org/10.3390/s20236894
APA StyleStevens, N.-A., Lydon, M., Marshall, A. H., & Taylor, S. (2020). Identification of Bridge Key Performance Indicators Using Survival Analysis for Future Network-Wide Structural Health Monitoring. Sensors, 20(23), 6894. https://doi.org/10.3390/s20236894

