JMAC Protocol: A Cross-Layer Multi-Hop Protocol for LoRa
Abstract
1. Introduction
2. Background
2.1. LoRa
- Narrowband/Wideband: it can operate in the same way both narrowband and wideband configurations because bandwidth and central frequency are scalable and easy to adapt to any application requirement.
- Constant Envelope: the information of the signal lies in frequency variation and it is independent of the amplitude. Then, the low-power high-efficient power amplifier can operate at saturation level or near it.
- High Robustness: symbols are very long compared to bandwidth, which provides outstanding immunity to adjacent-channel interference.
- Pseudo-orthogonality: it might be one of the most relevant and interesting topics in LoRa. Spreading factors () have an effect that allows transmitting/receiving correctly multiple signals in the channel at the same time, as long as they use different . This feature may be expanded to some combinations of overlapping channels as long as the power difference between them is high enough to consider the interference as noise, as it is shown in [21].
- Multipath/Fading Immunity: chirp pulses are relatively long time duration, therefore they are resistant against multipath and fading of the signal.
- Doppler Resistant: mobile communications are correctly supported by LoRa, since the Doppler effect only generates a small and negligible frequency shift in the pulse which does not require very accurate clock sources.
- Localization: LoRa is suitable for ranging transmitter location due to the ability to discriminate between frequency and time errors which may be produced by multi-path effects, similar to radar applications.
2.2. OMNeT++
3. Related Work
3.1. LoRa Multi-Hop
3.2. LoRaWAN Multi-Hop
3.3. Multi-Hop WSN
3.4. Comparison
4. JMAC: A New Protocol
4.1. Devices Operation
4.2. Frame Format
4.3. Time Period
5. Validation
5.1. FLoRaPHY: A New LoRa Framework for OMNeT++
- LoRaTransmitter: it extends FlatTransmitterBase and is in charge of creating the transmissions.
- LoRaReceiver: it inherits from FlatReceiverBase and is responsible for computing whether signal decoding is possible according to the sensitivity of the transceiver and channel interference. It may discard the reception if it collides with interference signals as discussed above.
- IsotropicAntenna: it describes an ideal isotropic antenna, i.e., it radiates the same signal intensity in all directions.
- LoRaStateBasedEpEnergyConsumer: it records the power consumption of the radio module according to its state.
- LoRaAnalogModel: it models how a radio signal arrives to destination, specifically, it computes the final reception, RSSI and SNIR.
- LoRaPathLossOulu: it calculates the path loss of the radio signal inspired in the path loss model of the city of Oulu [64], but variability was reduced to simplify simulations.
- ConstantSpeedPropagation: it is used to emulate the propagation delay time of transmissions in accordance of traveled distance.
- IsotropicScalarBackgroundNoise: it adds uniform noise to the medium.
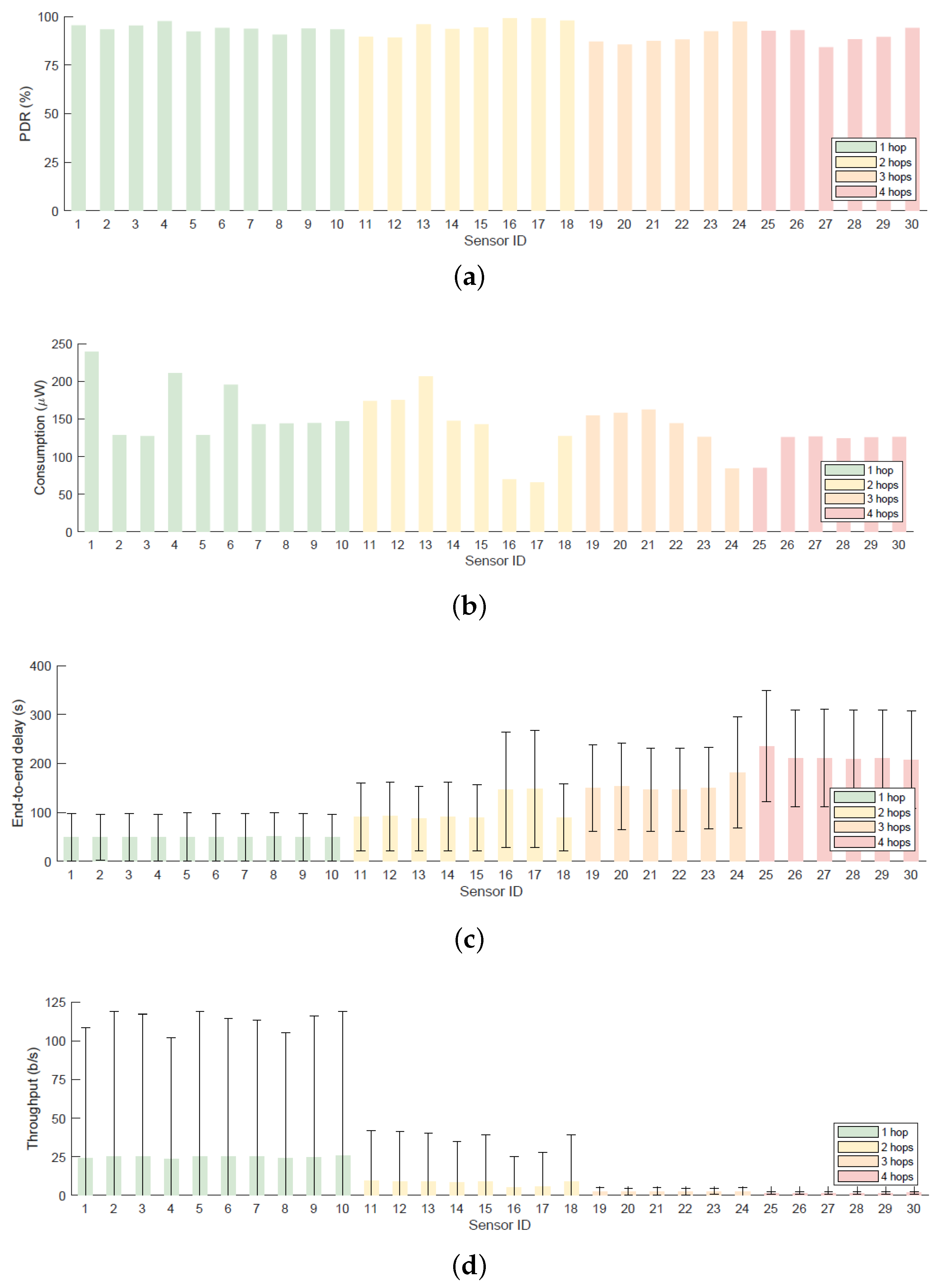
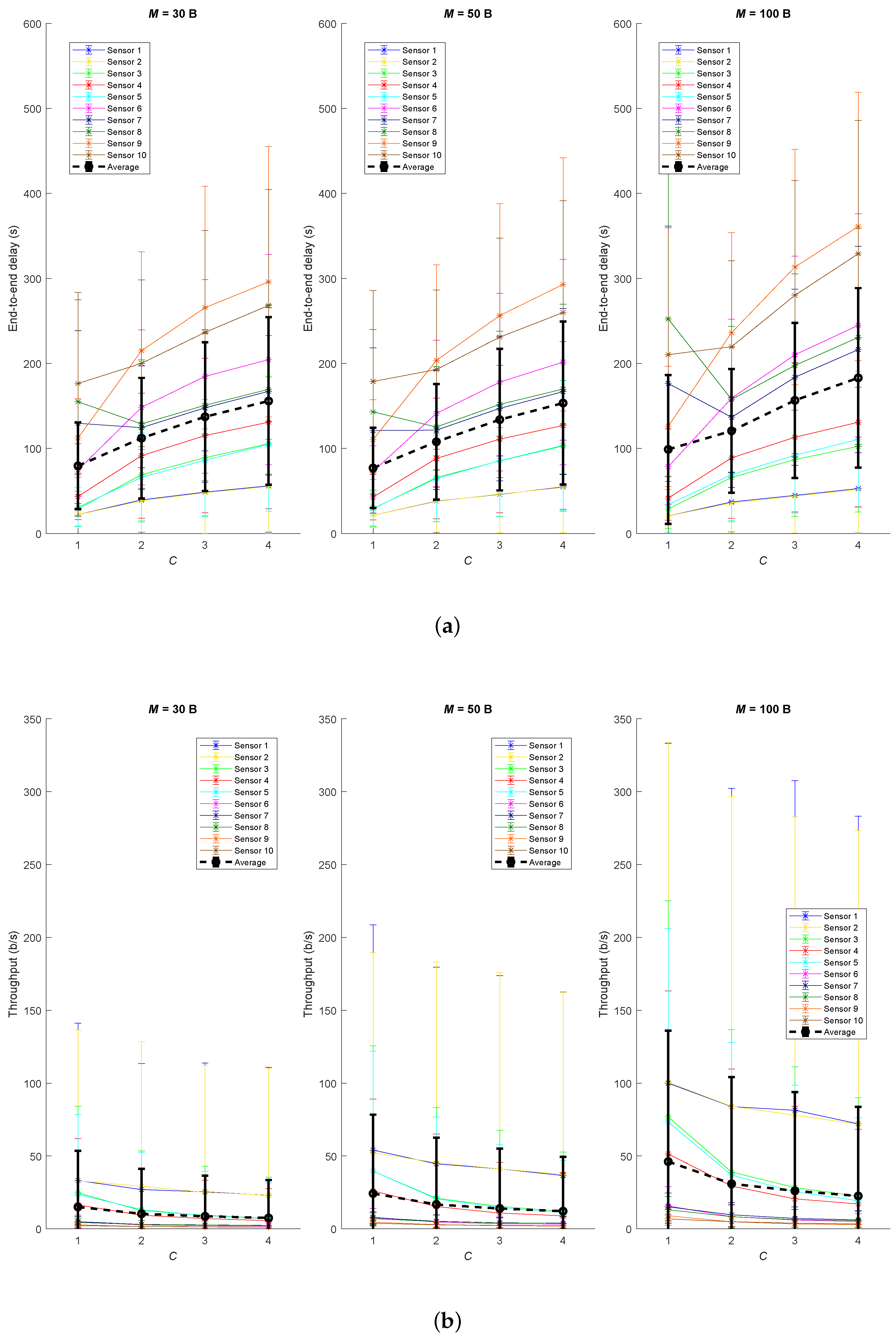
- Packet delivery Ratio (PDR): it is the percentage of successfully received UP_DATA frames, i.e., UP_DATA frames which have received the corresponding ACK frame, over the total sent. It is local to the JMacSensor node and it usually converge if the system is static.
- End-to-end delay: it is the time taken for an application packet to arrive to the JMacGateway. It depends on the load of the path to the gateway, so it is a random variable which may be identified. If the system is congested it will grow infinitely because packets will never arrive to destination.
- Throughput: it is the ratio between the payload length of the application packet M and the end-to-end delay. It estimates the effective data rate which can be achieved by a sensor.
5.2. Testbed1: Checking the Impact of Parameters
- Sensors 1 and 2 achieve similar results, but even when C is higher than one the PDR is not 100 % because the gateway does not have a specific receiving window and it may happen that UP_DATA messages interfere with BEACON or ACK frames from the gateway, but still performance is really good.
- Sensor 4 performs worse than sensors 3 and 5 because both parents (sensors 1 and 2) are shared with the other sensors, and there are more probability to interfere.
- Sensor 6 has better PDR compared to sensors 7 and 8 because it has his own parent (sensor 4), apart from the shared one (sensor 5).
- The PDR in sensor 10 is quite better than its sibling sensor 9 because it benefits from two parents simultaneously.
5.3. Testbed2: Checking the Scalability and Performance
6. Discussion
7. Conclusions and Further Work
Author Contributions
Funding
Conflicts of Interest
Abbreviations
| LPWA | Low-Power Wide-Area | IoT | Internet of Things |
| LPWAN | Low-Power Wide-Area Network | WSN | Wireless sensor network |
| CT | Concurrent Transmission | CSS | Chirp Spread Spectrum |
| FSK | Frequency Shift Keying | ADR | Adaptative Data Rate |
| AES | Advanced Encryption Standard | ABP | Activation By Personalization |
| OTAA | Over-The-Air Activation | TTN | The Things Network |
| TTI | The Things Industries | MAC | Medium Access Control |
| CRC | Cyclic Redundancy Check | RF | Radio frequency |
| NwkSKey | Network Session Key | AppSKey | Application Session Key |
| AppKey | Application Key | DevAddr | Device Address |
| EUI | Extended Unique Identifier | OTA | Over-The-Air |
| NS | Network Server | JS | Join Server |
| AS | Application Server | TDMA | Time-Division Multiple Access |
| CR | Coding Rate | RDC | Radio Duty Cycling |
| TSCH | Time Slotted Channel Hopping | SF | Spreading Factor |
| PHY | Physical Layer | OS | Operating System |
| DTN | Delay-Tolerant Networking | API | Application Programming Interface |
| DSDV | Destination-Sequenced Distance Vector | HWMP | Hybrid Wireless Mesh Protocol |
| SRD | Short Range Devices | UNB | Ultra Narrow Band |
| LTE | Long-Term Evolution | ToA | Time On Air |
| RSSI | Received Signal Strength Indicator | SNR | Signal-To-Noise Ratio |
| SNIR | Signal-To-Noise-Plus-Interference Ratio | PDR | Packet Delivery Ratio |
| RTS | Request To Send | CTS | Clear To Send |
| CSMA | Carrier-Sense Multiple Access | CCA | Clear Channel Assesement |
References
- Mekki, K.; Bajic, E.; Chaxel, F.; Meyer, F. A comparative study of LPWAN technologies for large-scale IoT deployment. ICT Express 2019, 5, 1–7. [Google Scholar] [CrossRef]
- Bardyn, J.P.; Melly, T.; Seller, O.; Sornin, N. IoT: The era of LPWAN is starting now. In Proceedings of the ESSCIRC Conference 2016: 42nd European Solid-State Circuits Conference, Lausanne, Switzerland, 12–15 September 2016; pp. 25–30. [Google Scholar]
- LoRa Alliance. About LoraWAN®. Available online: https://lora-alliance.org/about-lorawan (accessed on 1 December 2020).
- Ferré, G.; Giremus, A. Lora physical layer principle and performance analysis. In Proceedings of the 2018 25th IEEE International Conference on Electronics, Circuits and Systems (ICECS), Bordeaux, France, 9–12 December 2018; pp. 65–68. [Google Scholar]
- Sigfox. Sigfox-The Global Communications Service Provider for the Internet of Things (IoT). Available online: https://www.sigfox.com (accessed on 1 December 2020).
- DASH7 Alliance. DASH7 Alliance—An open Specification. Available online: https://dash7-alliance.org (accessed on 1 December 2020).
- Weightless. Weightless—Setting the Standard for IoT. Available online: http://www.weightless.org (accessed on 1 December 2020).
- Lin, X.; Bergman, J.; Gunnarsson, F.; Liberg, O.; Razavi, S.M.; Razaghi, H.S.; Rydn, H.; Sui, Y. Positioning for the internet of things: A 3GPP perspective. IEEE Commun. Mag. 2017, 55, 179–185. [Google Scholar] [CrossRef]
- Hoglund, A.; Lin, X.; Liberg, O.; Behravan, A.; Yavuz, E.A.; Van Der Zee, M.; Sui, Y.; Tirronen, T.; Ratilainen, A.; Eriksson, D. Overview of 3GPP release 14 enhanced NB-IoT. IEEE Netw. 2017, 31, 16–22. [Google Scholar] [CrossRef]
- Hoglund, A.; Bergman, J.; Lin, X.; Liberg, O.; Ratilainen, A.; Razaghi, H.S.; Tirronen, T.; Yavuz, E.A. Overview of 3GPP release 14 further enhanced MTC. IEEE Commun. Stand. Mag. 2018, 2, 84–89. [Google Scholar] [CrossRef]
- OMNeT++. OMNeT++: Discrete Event Simulator. Available online: https://omnetpp.org/ (accessed on 1 December 2020).
- López Escobar, J.J. FLoRaPHY. Available online: https://github.com/juanjole/FLoRaPHY (accessed on 1 December 2020).
- LoRa Alliance. LoRa Alliance. Available online: https://lora-alliance.org/ (accessed on 1 December 2020).
- The Things Network. The Things Network. Available online: https://www.thethingsnetwork.org (accessed on 1 December 2020).
- The Things Industries. The Things Industries. Available online: https://www.thethingsindustries.com (accessed on 1 December 2020).
- Reynders, B.; Pollin, S. Chirp spread spectrum as a modulation technique for long range communication. In Proceedings of the 2016 Symposium on Communications and Vehicular Technologies (SCVT), Mons, Belgium, 22–22 November 2016; pp. 1–5. [Google Scholar]
- Semtech. AN1200.22: LoRa™Modulation Basics. Available online: https://semtech.my.salesforce.com/sfc/p/#E0000000JelG/a/2R0000001OJa/2BF2MTeiqIwkmxkcjjDZzalPUGlJ76lLdqiv.30prH8 (accessed on 1 December 2020).
- Semtech. LoRa®and LoRaWAN®:A Technical Overview. Available online: https://lora-developers.semtech.com/uploads/documents/files/LoRa_and_LoRaWAN-A_Tech_Overview-Downloadable.pdf (accessed on 1 December 2020).
- Knight, M.; Seeber, B. Decoding LoRa: Realizing a modern LPWAN with SDR. In Proceedings of the GNU Radio Conference, Bourlder, CO, USA, 6 September 2016; Volume 1. [Google Scholar]
- Marquet, A.; Montavont, N.; Papadopoulos, G.Z. Towards an SDR implementation of LoRa: Reverse-engineering, demodulation strategies and assessment over Rayleigh channel. Comput. Commun. 2020, 153, 595–605. [Google Scholar] [CrossRef]
- Croce, D.; Gucciardo, M.; Mangione, S.; Santaromita, G.; Tinnirello, I. Impact of LoRa imperfect orthogonality: Analysis of link-level performance. IEEE Commun. Lett. 2018, 22, 796–799. [Google Scholar] [CrossRef]
- Talla, V.; Hessar, M.; Kellogg, B.; Najafi, A.; Smith, J.R.; Gollakota, S. Lora backscatter: Enabling the vision of ubiquitous connectivity. Proc. Acm Interact. Mob. Wearable Ubiquitous Technol. 2017, 1, 1–24. [Google Scholar] [CrossRef]
- Marquet, A.; Montavont, N.; Papadopoulos, G.Z. Investigating theoretical performance and demodulation techniques for lora. In Proceedings of the 2019 IEEE 20th International Symposium on “A World of Wireless, Mobile and Multimedia Networks” (WoWMoM), Washington, DC, USA, 10–12 June 2019; pp. 1–6. [Google Scholar]
- LoRa Alliance. LoRaWAN® Back-End Interfaces v1.0. Available online: https://lora-alliance.org/resource-hub/lorawanr-back-end-interfaces-v10 (accessed on 1 December 2020).
- LoRa Alliance. LoRaWAN® Regional Parameters RP002-1.0.0. Available online: https://lora-alliance.org/resource-hub/lorawanr-regional-parameters-rp002-100 (accessed on 1 December 2020).
- LoRa Alliance. LoRaWAN® Specification v1.0.3. Available online: https://lora-alliance.org/resource-hub/lorawanr-specification-v103 (accessed on 1 December 2020).
- LoRa Alliance. LoRaWAN® Specification v1.1. Available online: https://lora-alliance.org/resource-hub/lorawanr-specification-v11 (accessed on 1 December 2020).
- OMNEST. OMNEST: High-Performance Simulation for All Kinds of Networks. Available online: https://omnest.com/ (accessed on 1 December 2020).
- OMNeT++. INET Framework. Available online: https://inet.omnetpp.org/ (accessed on 1 December 2020).
- Slabicki, M.; Premsankar, G. FLoRa: Framework for LoRa. Available online: https://flora.aalto.fi/ (accessed on 1 December 2020).
- Centenaro, M.; Vangelista, L.; Zanella, A.; Zorzi, M. Long-range communications in unlicensed bands: The rising stars in the IoT and smart city scenarios. IEEE Wirel. Commun. 2016, 23, 60–67. [Google Scholar] [CrossRef]
- Ferrari, F.; Zimmerling, M.; Thiele, L.; Saukh, O. Efficient network flooding and time synchronization with glossy. In Proceedings of the 10th ACM/IEEE International Conference on Information Processing in Sensor Networks, Chicago, IL, USA, 12–14 April 2011; pp. 73–84. [Google Scholar]
- Liao, C.H.; Zhu, G.; Kuwabara, D.; Suzuki, M.; Morikawa, H. Multi-hop LoRa networks enabled by concurrent transmission. IEEE Access 2017, 5, 21430–21446. [Google Scholar] [CrossRef]
- Lee, H.C.; Ke, K.H. Monitoring of large-area IoT sensors using a LoRa wireless mesh network system: Design and evaluation. IEEE Trans. Instrum. Meas. 2018, 67, 2177–2187. [Google Scholar] [CrossRef]
- Liang, C.W.; Wu, Y.L.; Shi, C.Y.; Lu, S.M.; Lee, H.C. Evaluation of a LoRa mesh wireless networking system supporting time-critical transmission and data lost recovery. In Proceedings of the 18th International Conference on Information Processing in Sensor Networks, Montreal, QC, Canada, 15–18 April 2019; pp. 317–318. [Google Scholar]
- Bor, M.; Vidler, J.; Roedig, U. LoRa for the Internet of Things. In Proceedings of the 2016 International Conference on Embedded Wireless Systems and Networks, Graz, Austria, 15–17 February 2016; pp. 361–366. [Google Scholar]
- Sciullo, L.; Trotta, A.; Di Felice, M. Design and performance evaluation of a LoRa-based mobile emergency management system (LOCATE). Ad. Hoc. Netw. 2020, 96, 101993. [Google Scholar] [CrossRef]
- Abrardo, A.; Pozzebon, A. A multi-hop LoRa linear sensor network for the monitoring of underground environments: The case of the Medieval Aqueducts in Siena, Italy. Sensors 2019, 19, 402. [Google Scholar] [CrossRef]
- Mai, D.L.; Kim, M.K. Multi-Hop LoRa Network Protocol with Minimized Latency. Energies 2020, 13, 1368. [Google Scholar] [CrossRef]
- Thielemans, S.; Bezunartea, M.; Steenhaut, K. Establishing transparent IPv6 communication on LoRa based low power wide area networks (LPWANS). In Proceedings of the 2017 Wireless Telecommunications Symposium (WTS), Chicago, IL, USA, 26–28 April 2017; pp. 1–6. [Google Scholar]
- Sartori, B.; Thielemans, S.; Bezunartea, M.; Braeken, A.; Steenhaut, K. Enabling RPL multihop communications based on LoRa. In Proceedings of the 2017 IEEE 13th International Conference on Wireless and Mobile Computing, Networking and Communications (WiMob), Rome, Italy, 9–11 October 2017; pp. 1–8. [Google Scholar]
- Piyare, R.; Murphy, A.L.; Magno, M.; Benini, L. KRATOS: An Open Source Hardware-Software Platform for Rapid Research in LPWANs. In Proceedings of the 2018 14th International Conference on Wireless and Mobile Computing, Networking and Communications (WiMob), Limassol, Cyprus, 15–17 October 2018; pp. 1–4. [Google Scholar]
- Adame Vázquez, T.; Barrachina-Muñoz, S.; Bellalta, B.; Bel, A. HARE: Supporting efficient uplink multi-hop communications in self-organizing LPWANs. Sensors 2018, 18, 115. [Google Scholar] [CrossRef]
- Contiki-NG. Contiki-NG: The OS for Next Generation IoT Devices. Available online: https://github.com/contiki-ng/contiki-ng (accessed on 1 December 2020).
- Bezunartea, M.; Van Glabbeek, R.; Braeken, A.; Tiberghien, J.; Steenhaut, K. Towards Energy Efficient LoRa Multihop Networks. In Proceedings of the 2019 IEEE International Symposium on Local and Metropolitan Area Networks (LANMAN), Paris, France, 1–3 July 2019; pp. 1–3. [Google Scholar]
- Pycom. PyMesh. Available online: https://docs.pycom.io/firmwareapi/pycom/network/lora/pymesh/ (accessed on 1 December 2020).
- Saldamli, G.; Deshpande, S.; Jawalekar, K.; Gholap, P.; Tawalbeh, L.; Ertaul, L. Wildfire Detection using Wireless Mesh Network. In Proceedings of the 2019 Fourth International Conference on Fog and Mobile Edge Computing (FMEC), Rome, Italy, 10–13 June 2019; pp. 229–234. [Google Scholar]
- Dias, J.; Grilo, A. LoRaWAN multi-hop uplink extension. Procedia Comput. Sci. 2018, 130, 424–431. [Google Scholar] [CrossRef]
- Ebi, C.; Schaltegger, F.; Rüst, A.; Blumensaat, F. Synchronous LoRa mesh network to monitor processes in underground infrastructure. IEEE Access 2019, 7, 57663–57677. [Google Scholar] [CrossRef]
- Huh, H.; Kim, J.Y. LoRa-based Mesh Network for IoT Applications. In Proceedings of the 2019 IEEE 5th World Forum on Internet of Things (WF-IoT), Limerick, Ireland, 15–18 April 2019; pp. 524–527. [Google Scholar]
- Lundell, D.; Hedberg, A.; Nyberg, C.; Fitzgerald, E. A routing protocol for LoRa mesh networks. In Proceedings of the 2018 IEEE 19th International Symposium on “A World of Wireless, Mobile and Multimedia Networks” (WoWMoM), Chania, Greece, 2–15 June 2018; pp. 14–19. [Google Scholar]
- Dwijaksara, M.H.; Jeon, W.S.; Jeong, D.G. Multihop Gateway-to-Gateway Communication Protocol for LoRa Networks. In Proceedings of the 2019 IEEE International Conference on Industrial Technology (ICIT), Melbourne, Australia, 13–15 February 2019; pp. 949–954. [Google Scholar]
- Ye, W.; Heidemann, J.; Estrin, D. An energy-efficient MAC protocol for wireless sensor networks. In Proceedings of the Twenty-First Annual Joint Conference of the IEEE Computer and Communications Societies, New York, NY, USA, 23–27 June 2002; Volume 3, pp. 1567–1576. [Google Scholar]
- Van Dam, T.; Langendoen, K. An adaptive energy-efficient MAC protocol for wireless sensor networks. In Proceedings of the 1st international conference on Embedded networked sensor systems, Los Angeles, CA, USA, 5–7 November 2003; pp. 171–180. [Google Scholar]
- Roy, A.; Sarma, N. AEEMAC: Adaptive energy efficient MAC protocol for wireless sensor networks. In Proceedings of the 2011 Annual IEEE India Conference, Hyderabad, India, 16–18 December 2011; pp. 1–6. [Google Scholar]
- Van Hoesel, L.; Havinga, P. A lightweight medium access protocol (LMAC) for wireless sensor networks. In Proceedings of the 1st Int. Workshop on Networked Sensing Systems (INSS 2004), Tokio, Japan, 14–17 December 2004. [Google Scholar]
- El-Hoiydi, A.; Decotignie, J.D. WiseMAC: An ultra low power MAC protocol for multi-hop wireless sensor networks. In International Symposium on Algorithms and Experiments for Sensor Systems, Wireless Networks and Distributed Robotics; Springer: Berlin, Germany, 2004; pp. 18–31. [Google Scholar]
- Polastre, J.; Hill, J.; Culler, D. Versatile low power media access for wireless sensor networks. In Proceedings of the 2nd international conference on Embedded networked sensor systems, Baltimore, MD, USA, 15–17 November 2004; pp. 95–107. [Google Scholar]
- Zheng, T.; Radhakrishnan, S.; Sarangan, V. PMAC: An adaptive energy-efficient MAC protocol for wireless sensor networks. In Proceedings of the 19th IEEE International Parallel and Distributed Processing Symposium, Denver, CO, USA, 4–8 April 2005; p. 8. [Google Scholar]
- Buettner, M.; Yee, G.V.; Anderson, E.; Han, R. X-MAC: A short preamble MAC protocol for duty-cycled wireless sensor networks. In Proceedings of the 4th international conference on Embedded networked sensor systems, Boulder, CO, USA, 31 October–3 November 2006; pp. 307–320. [Google Scholar]
- Jang, B.; Lim, J.B.; Sichitiu, M.L. AS-MAC: An asynchronous scheduled MAC protocol for wireless sensor networks. In Proceedings of the 2008 5th IEEE International Conference on Mobile Ad Hoc and Sensor Systems, Atlanta, GA, USA, 29 September–2 October 2008; pp. 434–441. [Google Scholar]
- Sun, Y.; Gurewitz, O.; Johnson, D.B. RI-MAC: A receiver-initiated asynchronous duty cycle MAC protocol for dynamic traffic loads in wireless sensor networks. In Proceedings of the 6th ACM conference on Embedded network sensor systems, Raleigh, NC, USA, 16–18 November 2008; pp. 1–14. [Google Scholar]
- Tang, L.; Sun, Y.; Gurewitz, O.; Johnson, D.B. PW-MAC: An energy-efficient predictive-wakeup MAC protocol for wireless sensor networks. In Proceedings of the 2011 IEEE INFOCOM, Shanghai, China, 21 July 2011; pp. 1305–1313. [Google Scholar]
- Petajajarvi, J.; Mikhaylov, K.; Roivainen, A.; Hanninen, T.; Pettissalo, M. On the coverage of LPWANs: Range evaluation and channel attenuation model for LoRa technology. In Proceedings of the 2015 14th International Conference on ITS Telecommunications (ITST), Copenhagen, Denmark, 2–4 December 2015; pp. 55–59. [Google Scholar]
- Semtech. SX1276 | 137 MHz to 1020 MHz Long Range Low Power Transceiver. Available online: https://www.semtech.com/products/wireless-rf/lora-transceivers/sx1276 (accessed on 1 December 2020).
- Zhu, G.; Liao, C.H.; Sakdejayont, T.; Lai, I.W.; Narusue, Y.; Morikawa, H. Improving the capacity of a mesh LoRa network by spreading-factor-based network clustering. IEEE Access 2019, 7, 21584–21596. [Google Scholar] [CrossRef]











| Ref. | Link Layer | Network Layer | Cross-Layer | Objective | Reliability/ Consumption/ Latency | Duty Cycle Limit |
|---|---|---|---|---|---|---|
| [33] | CT TDMA | Broadcast | No | Reliability | High/-/- | No |
| [34] [35] | Centralized | Tree Distance Vector | No | Reliability | High/High/Medium | No |
| [36] | TDMA CAD | Tree Distance Vector | Yes | Consumption Reliability Latency | High/-/Medium | No |
| [37] | - | Anycast with memory | No | Reliability Latency | Medium/High/Low | No |
| [38] | TDMA | Broadcast | No | Consumption Reliability | High/Medium/Low | No |
| [39] | Distributed TDMA and CAD | Tree Distance Vector | Yes | Reliability Latency | High/-/Low | No |
| [41] | RLMAC | RPL | No | - | -/-/Medium | Yes |
| [42] | - | RPL | No | - | -/-/- | Yes |
| [43] | TDMA CSMA/CA | RPL | No | - | -/-/High | Yes |
| [45] | TSCH | RPL | No | Reliability | -/-/- | Yes |
| [46] | LBS | IPv6 | No | Reliability Security | High/-/- | No |
| [48] | CAD | Modified LoRaWAN and DSDV | No | Reliability | Medium/-/- | No |
| [49] | TDMA | Tree Distance Vector | No | Reliability | Medium/-/Medium | No |
| [50] | TDMA | Tree Distance Vector | Yes | Reliability | -/-/- | No |
| [51] | CAD | HWMP AODV | No | Reliability | -/High/Low | No |
| [52] | Modified LoRaWAN | AODV | No | Reliability | -/High/Low | No |
| Reference | Link Layer | Objective | Reliability/ Consumption/ Latency | Duty Cycle Limit |
|---|---|---|---|---|
| [53] | RTS/CTS | Consumption | -/Medium/Medium | No |
| [54] | RTS/CTS and Early Timeout | Consumption | -/Low/Medium | No |
| [55] | RTS/CTS and Combining Packets | Consumption | -/Low/Medium | No |
| [56] | Distributed TDMA | Consumption | -/Low/Low | No |
| [57] | Preamble Sampling and Neighbour Learning | Consumption | Medium/Low/Medium | No |
| [58] | CCA and Preamble Sampling | Consumption | High/Low/Medium | No |
| [59] | Sleep-Awake Pattern and Neighbour Learning | Consumption Throughput | High/Medium/- | No |
| [60] | Strobed Preamble Sampling | Consumption | Medium/Low/Medium | No |
| [61] | Asynchronous Wake-up and Neighbour Learning | Consumption Reliability | High/Low/Medium | No |
| [62] | Target Preamble Sampling | Consumption Reliability | High/Low/Low | No |
| [63] | Target Preamble Sampling and Pseudo-Random Neighbour Learning | Consumption Reliability | High/Very Low/Low | No |
| B | |||
|---|---|---|---|
| 44.032 s. | 81.9968 s. | 119.9104 s. | |
| 25.1264 s. | 44.0832 s. | 63.0400 s. | |
| 18.8075 s. | 31.4453 s. | 44.0832 s. | |
| 15.6480 s. | 25.1264 s. | 34.6048 s. | |
| B | |||
| 40.4992 s. | 75.3508 s. | 110.1824 s. | |
| 23.0784 s. | 40.4992 s. | 57.9200 s. | |
| 17.2715 s. | 28.8853 s. | 40.4992 s. | |
| 14.3680 s. | 23.0784 s. | 31.7888 s. |
Publisher’s Note: MDPI stays neutral with regard to jurisdictional claims in published maps and institutional affiliations. |
© 2020 by the authors. Licensee MDPI, Basel, Switzerland. This article is an open access article distributed under the terms and conditions of the Creative Commons Attribution (CC BY) license (http://creativecommons.org/licenses/by/4.0/).
Share and Cite
López Escobar, J.J.; Gil-Castiñeira, F.; Díaz Redondo, R.P. JMAC Protocol: A Cross-Layer Multi-Hop Protocol for LoRa. Sensors 2020, 20, 6893. https://doi.org/10.3390/s20236893
López Escobar JJ, Gil-Castiñeira F, Díaz Redondo RP. JMAC Protocol: A Cross-Layer Multi-Hop Protocol for LoRa. Sensors. 2020; 20(23):6893. https://doi.org/10.3390/s20236893
Chicago/Turabian StyleLópez Escobar, Juan José, Felipe Gil-Castiñeira, and Rebeca P. Díaz Redondo. 2020. "JMAC Protocol: A Cross-Layer Multi-Hop Protocol for LoRa" Sensors 20, no. 23: 6893. https://doi.org/10.3390/s20236893
APA StyleLópez Escobar, J. J., Gil-Castiñeira, F., & Díaz Redondo, R. P. (2020). JMAC Protocol: A Cross-Layer Multi-Hop Protocol for LoRa. Sensors, 20(23), 6893. https://doi.org/10.3390/s20236893

