Feasibility of Backscatter Communication Using LoRAWAN Signals for Deep Implanted Devices and Wearable Applications
Abstract
1. Introduction
2. Materials and Methods
2.1. System Description and Theory of Operation
2.2. Data Transmission
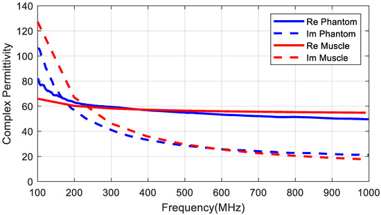
2.3. Phantom Design
2.4. Antenna for Deeply Implanted Backscatter
2.5. Link Budget
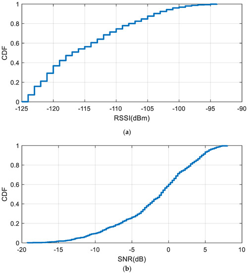
3. Results
4. Discussion
5. Conclusions
Author Contributions
Funding
Conflicts of Interest
References
- Adelantado, F.; Vilajosana, X.; Tuset-Peiro, P.; Martinez, B.; Melia-Segui, J.; Watteyne, T. Understanding the Limits of LoRaWAN. IEEE Commun. Mag. 2017, 55, 34–40. [Google Scholar] [CrossRef]
- De Carvalho Silva, J.; Rodrigues, J.J.P.C.; Alberti, A.M.; Solic, P.; Aquino, A.L.L. LoRaWAN—A low power WAN protocol for Internet of Things: A review and opportunities. In Proceedings of the 2nd International Multidisciplinary Conference on Computer and Energy Science (SpliTech), Split, Croatia, 12–14 July 2017; pp. 1–6. [Google Scholar]
- Bankov, D.; Khorov, E.; Lyakhov, A. On the Limits of LoRaWAN Channel Access. In Proceedings of the 2016 International Conference on Engineering and Telecommunication (EnT), Dolgoprudny, Russia, 29–30 November 2016; pp. 10–14. [Google Scholar] [CrossRef]
- Casals, L.; Mir, B.; Vidal, R.; Gomez, C. Modeling the Energy Performance of LoRaWAN. Sensors 2017, 17, 2364. [Google Scholar] [CrossRef] [PubMed]
- Vangelista, L. Frequency Shift Chirp Modulation: The LoRa Modulation. IEEE Signal Process. Lett. 2017, 24, 1818–1821. [Google Scholar] [CrossRef]
- Semtech SX1276/77/78/79-137 MHz to 1020 MHz Low Power Long Range Transceiver. Available online: https://semtech.my.salesforce.com/sfc/p/E0000000JelG/a/2R0000001OKs/Bs97dmPXeatnbdoJNVMIDaKDlQz8q1N_gxDcgqi7g2o (accessed on 14 February 2020).
- Wixted, A.J.; Kinnaird, P.; Larijani, H.; Tait, A.; Ahmadinia, A.; Strachan, N. Evaluation of LoRa and LoRaWAN for Wireless Sensor Networks. In Proceedings of the 2016 IEEE SENSORS, Orlando, FL, USA, 30 October–3 November 2016; pp. 1–3. [Google Scholar]
- Thomas, S.J.; Besnoff, J.S.; Reynolds, M.S. Modulated Backscatter for Ultra-Low Power Uplinks from Wearable and Implantable Devices. In Proceedings of the 2012 ACM Workshop on Privacy in the Electronic Society—WPES’ 12, Raleigh, NC, USA, 15 October 2012. [Google Scholar]
- Besnoff, J.S.; Reynolds, M.S. Near Field Modulated Backscatter for in Vivo Biotelemetry. In Proceedings of the 2012 IEEE International Conference on RFID (RFID), Nice, France, 5–7 November 2012; pp. 135–140. [Google Scholar]
- Vasisht, D.; Zhang, G.; Abari, O.; Lu, H.-M.; Flanz, J.; Katabi, D. In-Body Backscatter Communication and Localization. In Proceedings of the 2018 Conference of the ACM Special Interest Group on Data Communication, Budapest, Hungary, 20 August 2018; pp. 132–146. [Google Scholar]
- Khaleghi, A.; Balasingham, I. Wireless Capsule Endoscopy Using Backscatter Communication. In Proceedings of the 13th European Conference on Antennas and Propagation (EuCAP), Krakow, Poland, 31 March–5 April 2019; pp. 1–5. [Google Scholar]
- Iyer, V.; Talla, V.; Kellogg, B.; Gollakota, S.; Smith, J. Inter-Technology Backscatter. In Proceedings of the 2016 Conference on ACM SIGCOMM, Florianopolis, Brazil, 22–26 August 2016; pp. 356–369. [Google Scholar]
- Liu, W.; Huang, K.; Zhou, X.; Durrani, S. Next Generation Backscatter Communication: Systems, Techniques, and Applications. EURASIP J. Wirel. Commun. Netw. 2019, 2019, 69. [Google Scholar] [CrossRef]
- Van Huynh, N.; Hoang, D.T.; Lu, X.; Niyato, D.; Wang, P.; Kim, D.I. Ambient Backscatter Communications: A Contemporary Survey. IEEE Commun. Surv. Tutor. 2018, 20, 2889–2922. [Google Scholar] [CrossRef]
- Zhao, J.; Gong, W.; Liu, J. X-tandem: Towards Multi-Hop Backscatter Communication with Commodity Wifi. In Proceedings of the 24th Annual International Conference on Mobile Computing and Networking, New Delhi, India, 31 October 2018; pp. 497–511. [Google Scholar]
- Varshney, A.; Harms, O.; Pérez-Penichet, C.; Rohner, C.; Hermans, F.; Voigt, T. Lorea: A Backscatter Architecture That Achieves a Long Communication Range. In Proceedings of the 15th ACM Conference on Embedded Network Sensor Systems, Delft, The Netherlands, 6–8 November 2017; pp. 1–14. [Google Scholar]
- Zhang, P.; Rostami, M.; Hu, P.; Ganesan, D. Enabling Practical Backscatter Communication for On-body Sensors. In Proceedings of the 2016 conference on ACM SIGCOMM, Florianopolis, Brazil, 22–26 August 2016; pp. 370–383. [Google Scholar]
- Peng, Y.; Shangguan, L.; Hu, Y.; Qian, Y.; Lin, X.; Chen, X.; Fang, D.; Jamieson, K. PLoRa: A Passive Long-Range Data Network from Ambient Lora Transmissions. In Proceedings of the 2018 Conference of the ACM Special Interest Group on Data Communication, Budapest, Hungary, 20–25 August 2018; pp. 147–160. [Google Scholar]
- Talla, V.; Hessar, M.; Kellogg, B.; Najafi, A.; Smith, J.R.; Gollakota, S. LoRa Backscatter: Enabling the Vision of Ubiquitous Connectivity. Proc. ACM Interact. Mob. Wearable Ubiquitous Technol. 2017, 1, 1–24. [Google Scholar] [CrossRef]
- Islam, M.N.; Yuce, M.R. Review of Medical Implant Communication System (MICS) Band and Network. ICT Express 2016, 2, 188–194. [Google Scholar] [CrossRef]
- Green, R.B. The General Theory of Antenna Scattering. Ph.D. Thesis, ElectroScience Laboratory, Ohio State University, Columbus, OH, USA, 1963. [Google Scholar]
- Collin, R.E.; Zucker, F.J. The Receiving Antenna. In Antenna Theory; McGraw-Hill: New York, NY, USA, 1969. [Google Scholar]
- Nikitin, P.; Rao, K.; Lam, S.; Pillai, V.; Martinez, R.; Heinrich, H. Power Reflection Coefficient Analysis for Complex Impedances in RFID Tag Design. IEEE Trans. Microw. Theory Tech. 2005, 53, 2721–2725. [Google Scholar] [CrossRef]
- ADG901/ADG902 Datasheet. Analog Devices. Available online: https://www.analog.com/media/en/technical-documentation/data-sheets/ADG901_902.pdf (accessed on 17 October 2020).
- LTC6907-Micropower, 40 kHz to 4 MHz Resistor Set Oscillator in SOT-23. Linear Technology. Available online: https://www.analog.com/media/en/technical-documentation/data-sheets/6907fa.pdf (accessed on 17 October 2020).
- 868 and 915MHz Dual (Wideband) ISM Band SMD Chip Antenna P/N 0900AT43A0070. Johanson Technology, 2015. Available online: https://www.johansontechnology.com/datasheets/0900AT43A0070/0900AT43A0070.pdf (accessed on 17 October 2020).
- Nikitin, P.V.; Rao, K.V.S. Antennas and Propagation in UHF RFID Systems. In Proceedings of the 2008 IEEE International Conference on RFID, Las Vegas, NV, USA, 16–17 April 2008; pp. 277–288. [Google Scholar]
- Gabriel, S.; Lau, R.W.; Gabriel, C. The Dielectric Properties of Biological Tissues: II. Measurements in the Frequency Range 10 Hz to 20 GHz. Phys. Med. Biol. 1996, 41, 2251–2269. [Google Scholar] [CrossRef]
- Castello-Palacios, S.; Garcia-Pardo, C.; Alloza-Pascual, M.; Fornes-Leal, A.; Cardona, N.; Valles-Lluch, A. Gel Phantoms for Body Microwave Propagation in the (2 to 26.5) GHz Frequency Band. IEEE Trans. Antennas Propag. 2019, 67, 6564–6573. [Google Scholar] [CrossRef]
- Chou, C.-K.; Chen, G.-W.; Guy, A.W.; Luk, K.H. Formulas for Preparing Phantom Muscle Tissue at Various Radiofrequencies. Bioelectromagnetics 1984, 5, 435–441. [Google Scholar] [CrossRef] [PubMed]
- Castello-Palacios, S.; Valles-Lluch, A.; Garcia-Pardo, C.; Fornes-Leal, A.; Cardona, N. Formulas for Easy-to-Prepare Tailored Phantoms at 2.4 GHz ISM Band. In Proceedings of the 11th International Symposium on Medical Information and Communication Technology (ISMICT), Lisbon, Portugal, 6–8 February 2017; pp. 27–31. [Google Scholar]
- Peterson, D.M.; Turner, W.; Pham, K.; Yu, H.; Bashirullah, R.; Euliano, N.; Fitzsimmons, J.R. A Tissue Equivalent Phantom of the Human Torso for in vivo Biocompatible Communications. In Proceedings of the 26th Southern Biomedical Engineering Conference SBEC 2010, College Park, MD, USA, 30 April–2 May 2010; pp. 414–417. [Google Scholar]
- Burdette, E.; Cain, F.; Seals, J. In Vivo Probe Measurement Technique for Determining Dielectric Properties at VHF through Microwave Frequencies. IEEE Trans. Microw. Theory Tech. 1980, 28, 414–427. [Google Scholar] [CrossRef]
- Ayappa, K.; Davis, H.; Crapiste, G.; Davis, E.; Gordon, J. Microwave Heating: An Evaluation of Power Formulations. Chem. Eng. Sci. 1991, 46, 1005–1016. [Google Scholar] [CrossRef]
- Soontornpipit, P.; Furse, C.M.; Chung, Y.C. Design of Implantable Microstrip Antenna for Communication with Medical Implants. IEEE Trans. Microw. Theory Tech. 2004, 52, 1944–1951. [Google Scholar] [CrossRef]
- Murphy, O.H.; McLeod, C.N.; Navaratnarajah, M.; Yacoub, M.; Toumazou, C. A Pseudo-Normal-Mode Helical Antenna for Use with Deeply Implanted Wireless Sensors. IEEE Trans. Antennas Propag. 2011, 60, 1135–1139. [Google Scholar] [CrossRef]
- Kiourti, A.; Nikita, K.S. A Review of Implantable Patch Antennas for Biomedical Telemetry: Challenges and Solutions [Wireless Corner]. IEEE Antennas Propag. Mag. 2012, 54, 210–228. [Google Scholar] [CrossRef]
- Donaldson, P.E.K.; Sayer, E. A Technology for Implantable Hermetic Packages. Part 2: An Implementation. Med. Biol. Eng. Comput. 1981, 19, 403–405. [Google Scholar] [CrossRef]
- Merli, F.; Fuchs, B.; Mosig, J.R.; Skrivervik, A.K. The Effect of Insulating Layers on the Performance of Implanted Antennas. IEEE Trans. Antennas Propag. 2010, 59, 21–31. [Google Scholar] [CrossRef]
- Teo, A.J.; Mishra, A.; Park, I.; Kim, Y.-J.; Park, W.-T.; Yoon, Y.-J. Polymeric Biomaterials for Medical Implants and Devices. ACS Biomater. Sci. Eng. 2016, 2, 454–472. [Google Scholar] [CrossRef]
- Huang, F.-J.; Lee, C.-M.; Chang, C.-L.; Chen, L.-K.; Yo, T.-C.; Lai, S.-C. Rectenna Application of Miniaturized Implantable Antenna Design for Triple-Band Biotelemetry Communication. IEEE Trans. Antennas Propag. 2011, 59, 2646–2653. [Google Scholar] [CrossRef]
- Kiourti, A.; Christopoulou, M.; Nikita, K.S. Performance of a Novel Miniature Antenna Implanted in the Human Head for Wireless Biotelemetry. In Proceedings of the 2011 IEEE International Symposium on Antennas and Propagation (APSURSI), Spokane, WA, USA, 3–8 July 2011; pp. 392–395. [Google Scholar]
- Liu, W.; Yeh, F.; Ghavami, M. Miniaturized Implantable Broadband Antenna for Biotelemetry Communication. Microw. Opt. Technol. Lett. 2008, 50, 2407–2409. [Google Scholar] [CrossRef]
- Nikolayev, D.; Zhadobov, M.; Le Coq, L.; Karban, P.; Sauleau, R. Robust Ultraminiature Capsule Antenna for Ingestible and Implantable Applications. IEEE Trans. Antennas Propag. 2017, 65, 6107–6119. [Google Scholar] [CrossRef]
- Semtech SX1272/3/6/7/8: LoRa Modem Designers Guide AN1200.13, Revision 1 Edition. July 2013. Available online: https://www.rs-online.com/designspark/rel-assets/ds-assets/uploads/knowledge-items/application-notes-for-the-internet-of-things/LoRaDesignGuide.pdf (accessed on 15 March 2020).
- Goldsmith, A. Wireless Communications; Cambridge University Press: Cambridge, UK, 2005. [Google Scholar]
- Lazaro, A.; Girbau, D.; Salinas, D. Radio Link Budgets for UHF RFID on Multipath Environments. IEEE Trans. Antennas Propag. 2009, 57, 1241–1251. [Google Scholar] [CrossRef]
- Tuset-Peiro, P.; Anglès-Vazquez, A.; Vicario, J.L.; Vilajosana, X. On the Suitability of the 433 MHz Band for M2M Low-Power Wireless Communications: Propagation Aspects. Trans. Emerg. Telecommun. Technol. 2013, 25, 1154–1168. [Google Scholar] [CrossRef]
- Atmel 8-bit AVR Microcontroller with 2/4/8K Bytes In-System Programmable Flash. ATtiny 25/V/ATtiny45/V/ATtiny85/V, Rev. 2586Q-AVR-08/2013. Available online: https://ww1.microchip.com/downloads/en/DeviceDoc/Atmel-2586-AVR-8-bit-Microcontroller-ATtiny25-ATtiny45-ATtiny85_Datasheet.pdf (accessed on 17 October 2020).
- Ali-Rantala, P.; Ukkonen, L.; Sydanheimo, L.; Keskilammi, M.; Kivikoski, M. Different Kinds of Walls and Their Effect on the Attenuation of Radiowaves Indoors. In Proceedings of the IEEE Antennas and Propagation Society International Symposium. Digest. Held in Conjunction with: USNC/CNC/URSI North American Radio Sci. Meeting (Cat. No.03CH37450), Columbus, OH, USA, 22–27 June 2003; pp. 1020–1023. [Google Scholar] [CrossRef]
- Lorenzo-Navarro, J.; Lazaro, A.; Girbau, D.; Villarino, R.; Gil, E. Analysis of on-Body Transponders Based on Frequency Selective Surfaces. Prog. Electromagn. Res. 2016, 157, 133–143. [Google Scholar] [CrossRef]
- Lorenzo, J.; Lazaro, A.; Villarino, R.; Girbau, D. Diversity Study of a Frequency Selective Surface Transponder for Wearable Applications. IEEE Trans. Antennas Propag. 2017, 65, 2701–2706. [Google Scholar] [CrossRef]
- Milici, S.; Lazaro, A.; Lorenzo, J.; Villarino, R.; Girbau, D. Wearable Sensors Based on Modulated Frequency Selective Surfaces. In Proceedings of the 47th European Microwave Conference (EuMC), Nuremberg, Germany, 10–12 October 2017; pp. 942–945. [Google Scholar]
- Ramrakhyani, A.K.; Mirabbasi, S.; Chiao, M. Design and Optimization of Resonance-Based Efficient Wireless Power Delivery Systems for Biomedical Implants. IEEE Trans. Biomed. Circuits Syst. 2010, 5, 48–63. [Google Scholar] [CrossRef] [PubMed]
- Jiang, D.; Cirmirakis, D.; Schormans, M.; Perkins, T.A.; Donaldson, N.; Demosthenous, A. An Integrated Passive Phase-Shift Keying Modulator for Biomedical Implants with Power Telemetry Over a Single Inductive Link. IEEE Trans. Biomed. Circuits Syst. 2016, 11, 64–77. [Google Scholar] [CrossRef]
- Lin, Y.-P.; Yeh, C.-Y.; Huang, P.-Y.; Wang, Z.-Y.; Cheng, H.-H.; Li, Y.-T.; Chuang, C.-F.; Huang, P.-C.; Tang, K.-T.; Ma, H.-P.; et al. A Battery-Less, Implantable Neuro-Electronic Interface for Studying the Mechanisms of Deep Brain Stimulation in Rat Models. IEEE Trans. Biomed. Circuits Syst. 2015, 10, 98–112. [Google Scholar] [CrossRef]
- Wentz, C.T.; Bernstein, J.G.; Monahan, P.; Guerra, A.; Rodriguez, A.; Boyden, E.S. A Wirelessly Powered and Controlled Device for Optical Neural Control of Freely-Behaving Animals. J. Neural Eng. 2011, 8, 046021. [Google Scholar] [CrossRef]
- Lazaro, A.; Boada, M.; Villarino, R.; Girbau, D. Study on the Reading of Energy-Harvested Implanted NFC Tags Using Mobile Phones. IEEE Access 2019, 8, 2200–2221. [Google Scholar] [CrossRef]
- Ma, S.; Sydanheimo, L.; Ukkonen, L.; Bjorninen, T. Split-Ring Resonator Antenna System with Cortical Implant and Head-Worn Parts for Effective Far-Field Implant Communications. IEEE Antennas Wirel. Propag. Lett. 2018, 17, 710–713. [Google Scholar] [CrossRef]
- Miozzi, C.; Saggio, G.; Gruppioni, E.; Marrocco, G. Constrained Safety-Integrity Performance of Through-the-Arms UHF-RFID Transcutaneous Wireless Communication for the Control of Prostheses. IEEE J. Radio Freq. Identif. 2019, 3, 236–244. [Google Scholar] [CrossRef]
- Microsemi ZL70103 Medical Implantable RF Transceiver MICS-Band RF Telemetry, Datasheet, Revision 2. Available online: https://www.microsemi.com/product-directory/implantable-medical-transceivers/3915-zl70103#resources (accessed on 17 October 2020).
- Bae, J.; Song, K.; Lee, H.; Cho, H.; Yoo, H.-J. A 0.24-nJ/b Wireless Body-Area-Network Transceiver with Scalable Double-FSK Modulation. IEEE J. Solid-State Circuits 2011, 47, 310–322. [Google Scholar] [CrossRef]
- Gao, Y.; Cheng, S.-J.; Toh, W.-D.; Kwok, Y.-S.; Tan, K.-C.B.; Chen, X.; Mok, W.-M.; Win, H.-H.; Zhao, B.; Diao, S.; et al. An Asymmetrical QPSK/OOK Transceiver SoC and 15:1 JPEG Encoder IC for Multifunction Wireless Capsule Endoscopy. IEEE J. Solid-State Circuits 2013, 48, 2717–2733. [Google Scholar] [CrossRef]
- Liu, Y.-H.; Chen, L.-G.; Lin, C.-Y.; Lin, T.-H. A 650-pJ/bit MedRadio Transmitter with an FIR-Embedded Phase Modulator for Medical Micro-Power Networks (MMNs). IEEE Trans. Circuits Syst. I: Regul. Pap. 2013, 60, 3279–3288. [Google Scholar] [CrossRef]
- Cho, H.; Kim, H.; Kim, M.; Jang, J.; Lee, Y.; Lee, K.J.; Bae, J.; Yoo, H.-J. A 79 pJ/b 80 Mb/s Full-Duplex Transceiver and a 100 kb/s Super-Regenerative Transceiver for Body Channel Communication. IEEE J. Solid-State Circuits 2015, 51, 310–317. [Google Scholar] [CrossRef]
- Saadeh, W.; Bin Altaf, M.A.; Alsuradi, H.; Yoo, J. A Pseudo OFDM With Miniaturized FSK Demodulation Body-Coupled Communication Transceiver for Binaural Hearing Aids in 65 nm CMOS. IEEE J. Solid-State Circuits 2017, 52, 757–768. [Google Scholar] [CrossRef]
- Khaleghi, A.; Hasanvand, A.; Balasingham, I. Radio Frequency Backscatter Communication for High Data Rate Deep Implants. IEEE Trans. Microw. Theory Tech. 2018, 67, 1093–1106. [Google Scholar] [CrossRef]























| Reference | Volume (mm3) | Antenna Type | Gain (dB) | Efficiency (%) | BW at −10 dB (MHz) |
|---|---|---|---|---|---|
| F-J. Huang et al. [41] | 245 | PIFA with superstrate | −7 | 39 | 115 |
| A. Kiourti et al. [42] | 32.7 | Meander patches | −45 | 0.81 | 40 |
| W.C. Liu [43] | 190 | Spiral patch | −26 | 0.61 | 50 |
| D. Nikolayev et al. [44] | 705 | Alumina capsule, λ/2 SIR | −22 | 0.4 | 16 |
| This study | 28 (236 1) | Ceramic SMD | −9.5 | 10.8 | 82.1 |
| Parameter | Value | Unit |
|---|---|---|
| Transmission power PTx | 20 | dBm |
| Transmission antenna gain GTx | 0 | dB |
| Receiver antenna gain GRx | 0 | dB |
| Tag antenna gain Ga | −10 | dB |
| Carrier frequency | 406 | MHz |
| Attenuation per unit length α | 165 | dB/m |
| Exponential decay factors n1 and n2 | 2.5 | |
| |ΓON-ΓOFF|2 | 2.8 1 | |
| Modulation factor m | 1/π2 | |
| Noise figure of the receiver NF | 6 | dB |
| Bandwidth BW | 125 | kHz |
| Spreading Factor SF | Chips/Symbol 1 | SNR (Signal to Noise Ratio) (dB) | Time on Air of a 10-byte Packet 2 (ms) | Bit rate (bps) | Sensitivity S (dBm) for BW = 125 kHz 3 |
|---|---|---|---|---|---|
| 7 | 128 | −7.5 | 56 | 5470 | −124.5 |
| 8 | 256 | −10 | 103 | 3125 | -127.0 |
| 9 | 512 | −12.5 | 205 | 1758 | −129.5 |
| 10 | 1024 | −15 | 371 | 977 | −132.5 |
| 11 | 2048 | −17.5 | 741 | 537 | −134.5 |
| 12 | 4096 | −20 | 1483 | 293 | −137.0 |
| Ref. | Technology /Power | Carrier Frequency | Modulation | Implanted Depth | Link Range Outside the Body | Bitrate (bps) | Base Station Receiver Sensitivity (dBm) |
|---|---|---|---|---|---|---|---|
| [54] | Inductive /RF | 700 kHz | CW (WPT) | 20 mm | BS 1 | - | - |
| [56] | Inductive /RF | 13.56 MHz | LSK, ASK | 15 mm | BS 1 | 2 Mbps | NA |
| [57] | Inductive /RF | 10 MHz | PPSK, OOK | 8 mm | BS 1 | 1.35 Mbps | NA |
| [58] | NFC /RF | 13.56 MHz | LSK, ASK | 15–20 mm | 3 cm | 26.4/848 kbps 2 | Depends on reader |
| [59,60] | UHF RFID /RF | 868/915 MHz | 5–15 mm | 0.6–1 m | 40 kbps | −60/−70 | |
| [61] | Active /Battery | 406/433 MHz 2.45 GHz Wakeup | OOK | NA | 10–20 cm | 400 kbps | −91 |
| [62,63,64,65,66] | Endoscopy /Battery | 20 to 925 MHz | BPSK, QPKS, FSK, OFDM | 10–20 cm | BS 1 | −85 | |
| [67] | Backscattering /Battery | 600 MHz | FSK | 10 cm | BS 1 | 1–5 | −87 |
| [9] | Backscattering /Battery | 915 MHz | ASK | 6 cm | BS 1 | 30 | −90 |
| This work | LoRa backscattering /Battery | 406–433 MHz | LoRa | 10–20 cm | <4 m | Few bps | −137 |
Publisher’s Note: MDPI stays neutral with regard to jurisdictional claims in published maps and institutional affiliations. |
© 2020 by the authors. Licensee MDPI, Basel, Switzerland. This article is an open access article distributed under the terms and conditions of the Creative Commons Attribution (CC BY) license (http://creativecommons.org/licenses/by/4.0/).
Share and Cite
Lazaro, M.; Lazaro, A.; Villarino, R. Feasibility of Backscatter Communication Using LoRAWAN Signals for Deep Implanted Devices and Wearable Applications. Sensors 2020, 20, 6342. https://doi.org/10.3390/s20216342
Lazaro M, Lazaro A, Villarino R. Feasibility of Backscatter Communication Using LoRAWAN Signals for Deep Implanted Devices and Wearable Applications. Sensors. 2020; 20(21):6342. https://doi.org/10.3390/s20216342
Chicago/Turabian StyleLazaro, Marc, Antonio Lazaro, and Ramon Villarino. 2020. "Feasibility of Backscatter Communication Using LoRAWAN Signals for Deep Implanted Devices and Wearable Applications" Sensors 20, no. 21: 6342. https://doi.org/10.3390/s20216342
APA StyleLazaro, M., Lazaro, A., & Villarino, R. (2020). Feasibility of Backscatter Communication Using LoRAWAN Signals for Deep Implanted Devices and Wearable Applications. Sensors, 20(21), 6342. https://doi.org/10.3390/s20216342

