Self-Adherent Biodegradable Gelatin-Based Hydrogel Electrodes for Electrocardiography Monitoring
Abstract
1. Introduction
2. Materials and Methods
2.1. Materials
2.2. Fabrication of PEDOT:PSS/Gelatin Hydrogel Electrodes
2.3. Mechanical Tests
2.4. Measurement of Electrical Properties
2.5. Adhesion Tests
2.6. Biocompatibility Tests
2.7. ECG Measurements
2.8. Statistical Analysis
3. Results and Discussion
3.1. Fabrication of Conductive Gelatin-Based Hydrogels
3.2. Mechanical Properties of Gelatin-Based Hydrogel Electrodes
3.3. Electrical Conductivity of Hydrogel Electrodes
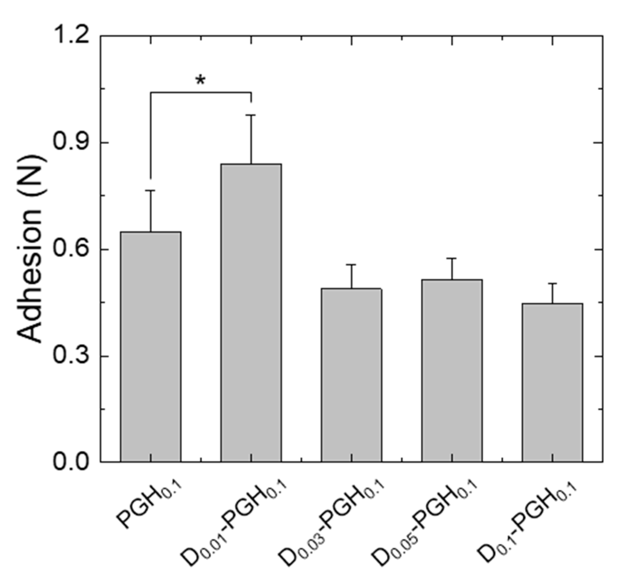
3.4. Skin Adhesion Tests Using Self-Adherent Hydrogel Electrodes
3.5. ECG Measurement Using Biocompatible Self-Adherent Hydrogel Electrodes
4. Conclusions
Supplementary Materials
Author Contributions
Funding
Conflicts of Interest
References
- Berg, A.H.; Scherer, P.E. Adipose tissue, inflammation, and cardiovascular disease. Circ. Res. 2015, 96, 939–949. [Google Scholar] [CrossRef] [PubMed]
- Thanapatay, D.; Suwansaroj, C.; Thanawattano, C. ECG beat classification method for ECG printout with principle components analysis and support vector machines. ICEIE 2010, 1, 72–75. [Google Scholar] [CrossRef]
- Cho, H. A study of sensing locations for ECG monitoring clothing based on the skin change rate. Fash. Text. Res. J. 2015, 17, 844–853. [Google Scholar] [CrossRef]
- Korzeniewska, E.; Duraj, A.; Koneczny, C.; Krawczyk, A. Thin film electrodes as elements of telemedicine systems. Prz. Elektrotech. 2015, 91, 162–165. [Google Scholar] [CrossRef]
- Hoffmann, K.P.; Ruff, R. Flexible dry surface-electrodes for ECG long-term monitoring. IEEE EMBS 2007, 5739–5742. [Google Scholar] [CrossRef]
- Marozas, V.; Petrenas, A.; Daukantas, S.; Lukosevicius, A. A comparison of conductive textile-based and silver/silver chloride gel electrodes in exercise electrocardiogram recordings. J. Electrocardiol. 2011, 44, 189–194. [Google Scholar] [CrossRef]
- Xu, C.; Lemon, W.; Liu, C. Design and fabrication of a high-density metal microelectrode array for neural recording. Sens. Actuator A Phys. 2002, 96, 78–85. [Google Scholar] [CrossRef]
- Park, S.; Song, Y.J.; Boo, H.; Chung, T.D. Nanoporous Pt microelectrode for neural stimulation and recording: In vitro characterization. J. Phys. Chem. C 2010, 114, 8721–8726. [Google Scholar] [CrossRef]
- Tam, H.; Webster, J.G. Minimizing electrode motion artifact by skin abrasion. IEEE Trans. Biomed. Eng. 1977, 24, 134–139. [Google Scholar] [CrossRef]
- Park, H.H.; Seong, M.; Sun, K.; Ko, H.; Kim, S.M.; Jeong, H.E. Flexible and shape-reconfigurable hydrogel interlocking adhesives for high adhesion in wet environments based on anisotropic swelling of hydrogel microstructures. ACS Macro Lett. 2017, 6, 1325–1330. [Google Scholar] [CrossRef]
- Green, R.A.; Baek, S.; Poole-Warren, L.A.; Martens, P.J. Conducting polymer-hydrogels for medical electrode applications. Sci. Technol. Adv. Mater. 2010, 11, 014107. [Google Scholar] [CrossRef] [PubMed]
- Yang, J.; Martin, D.C. Impedance spectroscopy and nanoindentation of conducting poly (3, 4-ethylenedioxythiophene) coatings on microfabricated neural prosthetic devices. J. Mater. Res. 2006, 21, 1124–1132. [Google Scholar] [CrossRef]
- Åsberg, P.; Inganäs, O. Hydrogels of a conducting conjugated polymer as 3-D enzyme electrode. Biosens. Bioelectron. 2003, 19, 199–207. [Google Scholar] [CrossRef]
- Shi, Y.; Pan, L.; Liu, B.; Wang, Y.; Cui, Y.; Bao, Z.; Yu, G. Nanostructured conductive polypyrrole hydrogels as high-performance, flexible supercapacitor electrodes. J. Mater. Chem. A 2014, 2, 6086–6091. [Google Scholar] [CrossRef]
- Hwang, I.; Kim, H.N.; Seong, M.; Lee, S.-H.; Kang, M.; Yi, H.; Bae, W.G.; Kwak, M.K.; Jeong, H.E. Multifunctional smart skin adhesive patches for advanced health care. Adv. Healthc. Mater. 2018, 7, 1800275. [Google Scholar] [CrossRef]
- Tavakoli, J.; Tang, Y. Hydrogel based sensors for biomedical applications: An updated review. Polymers 2017, 9, 364. [Google Scholar] [CrossRef]
- Gao, Y.; Guo, F.; Cao, P.; Liu, J.; Li, D.; Wu, J.; Wang, N.; Su, Y.; Zhao, Y. Winding-locked carbon nanotubes/polymer nanofibers helical yarn for ultrastretchable conductor and strain sensor. ACS Nano 2020, 14, 3442–3450. [Google Scholar] [CrossRef]
- Cai, Y.; Qin, J.; Li, W.; Tyagi, A.; Liu, Z.; Hossain, M.D.; Chen, H.; Kim, J.-K.; Liu, H.; Zhuang, M.; et al. A stretchable, conformable, and biocompatible graphene strain sensor based on a structured hydrogel for clinical application. J. Mater. Chem. A 2019, 7, 27099–27109. [Google Scholar] [CrossRef]
- Lou, C.; Li, R.; Li, Z.; Liang, T.; Wei, Z.; Run, M.; Yan, X.; Liu, X. Flexible graphene electrodes for prolonged dynamic ECG monitoring. Sensors 2016, 16, 1833. [Google Scholar] [CrossRef]
- Yuk, H.; Lu, B.; Zhao, X. Hydrogel bioelectronics. Chem. Soc. Rev. 2019, 48, 1642–1667. [Google Scholar] [CrossRef]
- Zhang, H.; Xu, J.; Wen, Y.; Wang, Z.; Zhang, J.; Ding, W. Conducting poly (3, 4-ethylenedioxythiophene): Poly (styrene-sulfonate) film electrode with superior long-term electrode stability in water and synergistically enhanced electrocatalytic ability for application in electrochemical sensors. Synth. Met. 2015, 204, 39–47. [Google Scholar] [CrossRef]
- Groenendaal, L.; Jonas, F.; Freitag, D.; Pielartzik, H.; Reynolds, J.R. Poly (3, 4-ethylenedioxythiophene) and its derivatives: Past, present, and future. Adv. Mater. 2000, 12, 481–494. [Google Scholar] [CrossRef]
- Wen, Y.; Xu, J. Scientific importance of water-processable PEDOT-PSS and preparation, challenge and new application in sensors of its film electrode: A review. J. Polym. Sci. A Polym. Chem. 2017, 55, 1121–1150. [Google Scholar] [CrossRef]
- Lee, Y.; Chung, H.J.; Yeo, S.; Ahn, C.H.; Lee, H.; Messersmith, P.B.; Park, T.G. Thermo-sensitive, injectable, and tissue adhesive sol-gel transition hyaluronic acid/pluronic composite hydrogels prepared from bio-inspired catechol-thiol reaction. Soft Matter 2010, 6, 977–983. [Google Scholar] [CrossRef]
- Murphy, S.V.; Atala, A. 3D bioprinting of tissues and organs. Nat. Biotechnol. 2014, 32, 773. [Google Scholar] [CrossRef] [PubMed]
- Shin, J.; Lee, J.S.; Lee, C.; Park, H.J.; Yang, K.; Jin, Y.; Ryu, J.H.; Hong, K.S.; Moon, S.-H.; Chung, H.-M.; et al. Tissue adhesive catechol-modified hyaluronic acid hydrogel for effective, minimally invasive cell therapy. Adv. Funct. Mater. 2015, 25, 3814–3824. [Google Scholar] [CrossRef]
- Wang, J.; Tang, F.; Wang, Y.; Lu, Q.; Liu, S.; Li, L. Self-healing and highly stretchable gelatin hydrogel for self-powered strain sensor. ACS Appl. Mater. Interfaces 2020, 12, 1558–1566. [Google Scholar] [CrossRef]
- Parker, N.G.; Povey, M.J.W. Ultrasonic study of the gelation of gelatin: Phase diagram, hysteresis and kinetics. Food Hydrocoll. 2012, 26, 99–107. [Google Scholar] [CrossRef]
- Bigi, A.; Cojazzi, G.; Panzavolta, S.; Roveri, N.; Rubini, K. Stabilization of gelatin films by crosslinking with genipin. Biomaterials 2002, 23, 4827–4832. [Google Scholar] [CrossRef]
- Solorio, L.; Zwolinski, C.; Lund, A.W.; Farrell, M.J.; Stegemann, J.P. Gelatin microspheres crosslinked with genipin for local delivery of growth factors. J. Tissue Eng. Regen. Med. 2010, 4, 514–523. [Google Scholar] [CrossRef]
- Liang, H.C.; Chang, W.H.; Liang, H.F.; Lee, M.H.; Sung, H.W. Crosslinking structures of gelatin hydrogels crosslinked with genipin or a water-soluble carbodiimide. J. Appl. Polym. Sci. 2004, 91, 4017–4026. [Google Scholar] [CrossRef]
- Yang, T. Mechanical and Swelling Properties of Hydrogels. Ph.D. Thesis, KTH Royal Institute of Technology, Stockholm, Sweden, 2012. [Google Scholar]
- Spencer, A.R.; Primbetova, A.; Koppes, A.N.; Koppes, R.A.; Fenniri, H.; Annabi, N. Electroconductive gelatin methacryloyl-PEDOT:PSS composite hydrogels: Design, synthesis, and properties. ACS Biomater. Sci. Eng. 2018, 4, 1558–1567. [Google Scholar] [CrossRef]
- Feig, V.R.; Tran, H.; Lee, M.; Bao, Z. Mechanically tunable conductive interpenetrating network hydrogels that mimic the elastic moduli of biological tissue. Nat. Commun. 2018, 9, 2740. [Google Scholar] [CrossRef] [PubMed]
- Goding, J.; Vallejo-Giraldo, C.; Syed, O.; Green, R. Considerations for hydrogel applications to neural bioelectronics. J. Mater. Chem. B 2019, 7, 1625–1636. [Google Scholar] [CrossRef]
- Huang, D.; Goh, T.; Kong, J.; Zheng, Y.; Zhao, S.; Xu, Z.; Taylor, A.D. Perovskite solar cells with a DMSO-treated PEDOT:PSS hole transport layer exhibit higher photovoltaic performance and enhanced durability. Nanoscale 2017, 9, 4236–4243. [Google Scholar] [CrossRef]
- Lee, I.; Kim, G.W.; Yang, M.; Kim, T.-S. Simultaneously enhancing the cohesion and electrical conductivity of PEDOT:PSS conductive polymer films using DMSO Additives. ACS Appl. Mater. Interfaces 2016, 8, 302–310. [Google Scholar] [CrossRef] [PubMed]
- Kant, V.; Jangir, B.L.; Kumara, V. Gross and histopathological effects of dimethyl sulfoxide on wound healing in rats. Wound Med. 2020, 30, 100194. [Google Scholar] [CrossRef]
- Vosgueritchian, M.; Lipomi, D.J.; Bao, Z. Highly conductive and transparent PEDOT:PSS films with a fluorosurfactant for stretchable and flexible transparent electrodes. Adv. Funct. Mater. 2012, 22, 421–428. [Google Scholar] [CrossRef]
- Wang, X.; Ge, M.-Q.; Feng, G.-Y. The effects of DMSO on structure and properties of PVA/PEDOT:PSS blended fiber. Fibers Polym. 2015, 16, 2578–2585. [Google Scholar] [CrossRef]
- Hwang, K.-H.; Kim, D.I.; Nam, S.-H.; Seo, H.J.; Boo, J.-H. Study on the effect of DMSO on the changes in the conductivity of PEDOT:PSS. Funct. Mater. Lett. 2018, 11, 1850043. [Google Scholar] [CrossRef]
- Drew, B.J.; Califf, R.M.; Funk, M.; Kaufman, E.S.; Krucoff, M.W.; Laks, M.M.; Macfarlane, P.W.; Sommargren, C.; Swiryn, S.; Van Hare, G.F. Practice standards for electrocardiographic monitoring in hospital settings. Circulation 2004, 110, 2721–2746. [Google Scholar] [CrossRef] [PubMed]
- Keselbrener, L.; Keselbrener, M.; Akselrod, S. Nonlinear high pass filter for R-wave detection in ECG signal. Med. Eng. Phys. 1997, 19, 481–484. [Google Scholar] [CrossRef]
- Guo, D.G.; Tay, F.E.; Yu, L.M.; Xu, L.; Nyan, M.N.; Chong, F.W.; Yap, K.L.; Xu, B. A wearable BSN-based ECG-recording system using micromachined electrode for continuous arrhythmia monitoring. In Proceedings of the 5th International Summer School and Symposium on Medical Devices and Biosensors, Hong Kong, China, 1–3 June 2008; pp. 41–44. [Google Scholar] [CrossRef]
- Baik, S.; Lee, H.J.; Kim, D.W.; Kim, J.W.; Lee, Y.; Pang, C. Bioinspired adhesive architectures: From skin patch to integrated bioelectronics. Adv. Mater. 2019, 31, 1803309. [Google Scholar] [CrossRef] [PubMed]
- Yi, H.; Lee, S.H.; Ko, H.; Lee, D.; Bae, W.G.; Kim, T.I.; Hwang, D.S.; Jeong, H.E. Ultra-adaptable and wearable photonic skin based on a shape-memory, responsive cellulose derivative. Adv. Funct. Mater. 2019, 29, 1902720. [Google Scholar] [CrossRef]






| Hydrogel | Composition |
|---|---|
| GH | Gelatin/Genipin (1:0.01) |
| PGH0.01 | PEDOT:PSS/Gelatin/Genipin (0.01:1:0.01) |
| PGH0.05 | PEDOT:PSS/Gelatin/Genipin (0.05:1:0.01) |
| PGH0.1 | PEDOT:PSS/Gelatin/Genipin (0.1:1:0.01) |
| D0.01-PGH0.1 | DMSO(0.01)–PEDOT:PSS/Gelatin/Genipin (0.1:1:0.01) |
| D0.03-PGH0.1 | DMSO(0.03)–PEDOT:PSS/Gelatin/Genipin (0.1:1:0.01) |
| D0.05-PGH0.1 | DMSO(0.05)–PEDOT:PSS/Gelatin/Genipin (0.1:1:0.01) |
| D0.1-PGH0.1 | DMSO(0.1)–PEDOT:PSS/Gelatin/Genipin (0.1:1:0.01) |
© 2020 by the authors. Licensee MDPI, Basel, Switzerland. This article is an open access article distributed under the terms and conditions of the Creative Commons Attribution (CC BY) license (http://creativecommons.org/licenses/by/4.0/).
Share and Cite
Lee, Y.; Yim, S.-G.; Lee, G.W.; Kim, S.; Kim, H.S.; Hwang, D.Y.; An, B.-S.; Lee, J.H.; Seo, S.; Yang, S.Y. Self-Adherent Biodegradable Gelatin-Based Hydrogel Electrodes for Electrocardiography Monitoring. Sensors 2020, 20, 5737. https://doi.org/10.3390/s20205737
Lee Y, Yim S-G, Lee GW, Kim S, Kim HS, Hwang DY, An B-S, Lee JH, Seo S, Yang SY. Self-Adherent Biodegradable Gelatin-Based Hydrogel Electrodes for Electrocardiography Monitoring. Sensors. 2020; 20(20):5737. https://doi.org/10.3390/s20205737
Chicago/Turabian StyleLee, Yechan, Sang-Gu Yim, Gyeong Won Lee, Sodam Kim, Hong Sung Kim, Dae Youn Hwang, Beum-Soo An, Jae Ho Lee, Sungbaek Seo, and Seung Yun Yang. 2020. "Self-Adherent Biodegradable Gelatin-Based Hydrogel Electrodes for Electrocardiography Monitoring" Sensors 20, no. 20: 5737. https://doi.org/10.3390/s20205737
APA StyleLee, Y., Yim, S.-G., Lee, G. W., Kim, S., Kim, H. S., Hwang, D. Y., An, B.-S., Lee, J. H., Seo, S., & Yang, S. Y. (2020). Self-Adherent Biodegradable Gelatin-Based Hydrogel Electrodes for Electrocardiography Monitoring. Sensors, 20(20), 5737. https://doi.org/10.3390/s20205737
