Intercomparison of In Situ Sensors for Ground-Based Land Surface Temperature Measurements
Abstract
1. Introduction
2. Materials and Methods
2.1. Sites and Measurements
2.2. Data Analysis
2.2.1. Estimation of LST from Brightness Temperatures
2.2.2. Surface Emissivity
3. Results
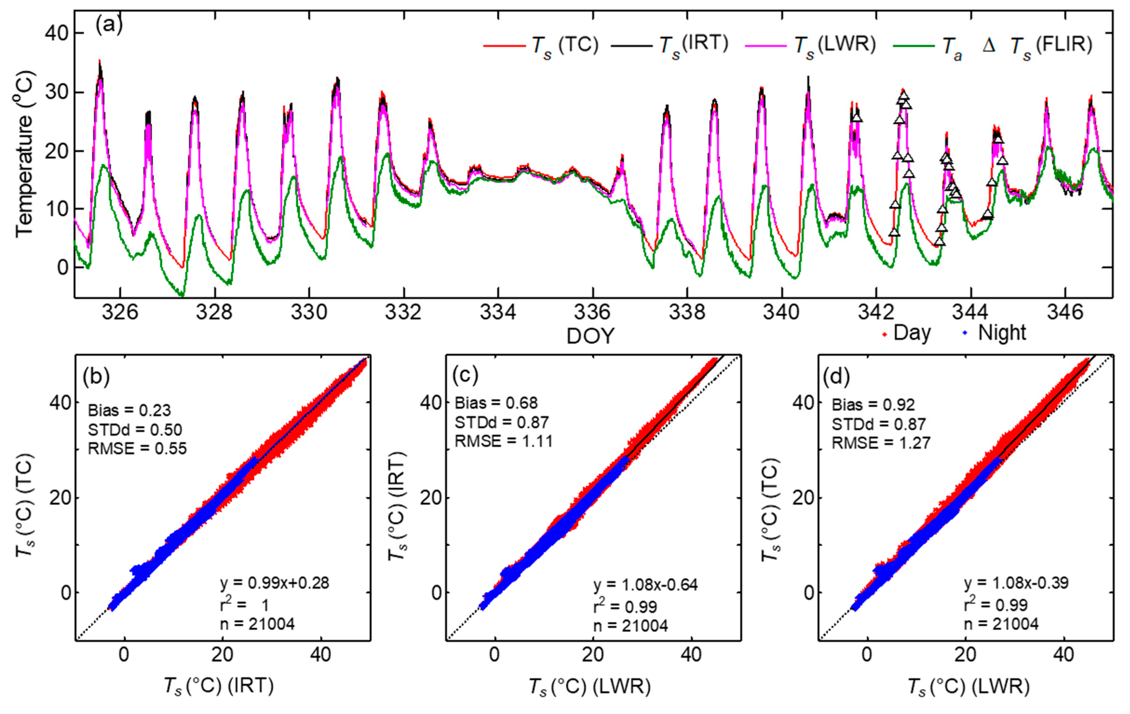
3.1. Comparison of Surface Temperature Measurement Using IRTs, FLIR Camera, and Thermocouples
3.2. Comparison of LST Measurements Using All In Situ Sensors
3.3. Comparison of Land Surface Temperature and Near Surface Air Temperature
3.4. Comparison of LST Measurements over Four Grassland Sites
4. Discussion and Conclusions
Author Contributions
Funding
Acknowledgments
Conflicts of Interest
References
- Global Climate Observing System (GCOS). The Global Observing System for Climate: Implementation Needs (GCOS-200); GCOS: Geneva, Switzerland, 2016. [Google Scholar]
- Anderson, M.C.; Hain, C.; Wardlow, B.; Pimstein, A.; Mecikalski, J.R.; Kustas, W.P. Evaluation of drought indices based on thermal remote sensing of evapotranspiration over the continental United States. J. Clim. 2011, 24, 2025–2044. [Google Scholar] [CrossRef]
- Jin, M.; Dickinson, R.; Vogelmann, A. A comparison of CCM2–BATS skin temperature and surface-air temperature with satellite and surface observations. J. Clim. 1997, 10, 1505–1524. [Google Scholar] [CrossRef]
- Schmugge, T.J.; Becker, F. Remote sensing observations for the monitoring of land-surface fluxes and water budgets. In Land Surface Evaporation; Springer: New York, NY, USA, 1991; pp. 337–347. [Google Scholar]
- Friedl, M.; Davis, F. Sources of variation in radiometric surface temperature over a tallgrass prairie. Remote Sens. Environ. 1994, 48, 1–17. [Google Scholar] [CrossRef]
- Nemani, R.R.; Running, S.W.; Pielke, R.A.; Chase, T.N. Global vegetation cover changes from coarse resolution satellite data. J. Geophys. Res. Atmos. 1996, 101, 7157–7162. [Google Scholar] [CrossRef]
- Li, Z.-L.; Tang, B.-H.; Wu, H.; Ren, H.; Yan, G.; Wan, Z.; Trigo, I.F.; Sobrino, J.A. Satellite-derived land surface temperature: Current status and perspectives. Remote Sens. Environ. 2013, 131, 14–37. [Google Scholar] [CrossRef]
- Dash, P.; Göttsche, F.-M.; Olesen, F.-S.; Fischer, H. Land surface temperature and emissivity estimation from passive sensor data: Theory and practice-current trends. Int. J. Remote Sens. 2002, 23, 2563–2594. [Google Scholar] [CrossRef]
- Norman, J.M.; Becker, F. Terminology in thermal infrared remote sensing of natural surfaces. Agric. For. Meteorol. 1995, 77, 153–166. [Google Scholar] [CrossRef]
- Jin, M.; Dickinson, R.E. Land surface skin temperature climatology: Benefitting from the strengths of satellite observations. Environ. Res. Lett. 2010, 5, 044004. [Google Scholar] [CrossRef]
- Good, E.J.; Ghent, D.J.; Bulgin, C.E.; Remedios, J.J. A spatiotemporal analysis of the relationship between near-surface air temperature and satellite land surface temperatures using 17 years of data from the ATSR series. J. Geophys. Res. Atmos. 2017, 122, 9185–9210. [Google Scholar] [CrossRef]
- Pepin, N.; Maeda, E.E.; Williams, R. Use of remotely sensed land surface temperature as a proxy for air temperatures at high elevations: Findings from a 5000 m elevational transect across Kilimanjaro. J. Geophys. Res. Atmos. 2016, 121, 9998–10015. [Google Scholar] [CrossRef]
- Oyler, J.W.; Dobrowski, S.Z.; Holden, Z.A.; Running, S.W. Remotely sensed land skin temperature as a spatial predictor of air temperature across the conterminous United States. J. Appl. Meteorol. Climatol. 2016, 55, 1441–1457. [Google Scholar] [CrossRef]
- Yang, Y.Z.; Cai, W.H.; Yang, J. Evaluation of MODIS land surface temperature data to estimate near-surface air temperature in Northeast China. Remote Sens. 2017, 9, 410. [Google Scholar] [CrossRef]
- Qin, J.; Liang, S.; Liu, R.; Zhang, H.; Hu, B. A weak-constraint-based data assimilation scheme for estimating surface turbulent fluxes. IEEE Geosci. Remote Sens. Lett. 2007, 4, 649–653. [Google Scholar] [CrossRef]
- Reichle, R.H.; Kumar, S.V.; Mahanama, S.P.; Koster, R.D.; Liu, Q. Assimilation of satellite-derived skin temperature observations into land surface models. J. Hydrometeorol. 2010, 11, 1103–1122. [Google Scholar] [CrossRef]
- Rodell, M.; Houser, P.; Jambor, U.; Gottschalck, J.; Mitchell, K.; Meng, C.-J.; Arsenault, K.; Cosgrove, B.; Radakovich, J.; Bosilovich, M. The global land data assimilation system. Bull. Am. Meteorol. Soc. 2004, 85, 381–394. [Google Scholar] [CrossRef]
- Prigent, C.; Jimenez, C.; Aires, F. Toward “all weather,” long record, and real-time land surface temperature retrievals from microwave satellite observations. J. Geophys. Res. Atmos. 2016, 121, 5699–5717. [Google Scholar] [CrossRef]
- Hulley, G.C.; Ghent, D.; Göttsche, F.M.; Guillevic, P.C.; Mildrexler, D.J.; Coll, C. Land Surface Temperature. In Taking the Temperature of the Earth; Elsevier: Amsterdam, The Netherlands, 2019; pp. 57–127. [Google Scholar]
- McMillin, L.M. Estimation of sea surface temperatures from two infrared window measurements with different absorption. J. Geophys. Res. 1975, 80, 5113–5117. [Google Scholar] [CrossRef]
- Li, Z.-L.; Becker, F. Feasibility of land surface temperature and emissivity determination from AVHRR data. Remote Sens. Environ. 1993, 43, 67–85. [Google Scholar] [CrossRef]
- Ghent, D.; Corlett, G.; Göttsche, F.M.; Remedios, J. Global land surface temperature from the along-track scanning radiometers. J. Geophys. Res. Atmos. 2017, 122, 12167–12193. [Google Scholar] [CrossRef]
- Guillevic, P.C.; Biard, J.C.; Hulley, G.C.; Privette, J.L.; Hook, S.J.; Olioso, A.; Göttsche, F.M.; Radocinski, R.; Román, M.O.; Yu, Y. Validation of Land Surface Temperature products derived from the Visible Infrared Imaging Radiometer Suite (VIIRS) using ground-based and heritage satellite measurements. Remote Sens. Environ. 2014, 154, 19–37. [Google Scholar] [CrossRef]
- Urban, M.; Eberle, J.; Hüttich, C.; Schmullius, C.; Herold, M. Comparison of satellite-derived land surface temperature and air temperature from meteorological stations on the pan-Arctic Scale. Remote Sens. 2013, 5, 2348–2367. [Google Scholar] [CrossRef]
- Hachem, S.; Duguay, C.; Allard, M. Comparison of MODIS-derived land surface temperatures with ground surface and air temperature measurements in continuous permafrost terrain. Cryosphere 2012, 6, 51. [Google Scholar] [CrossRef]
- Mildrexler, D.J.; Zhao, M.; Running, S.W. A global comparison between station air temperatures and MODIS land surface temperatures reveals the cooling role of forests. J. Geophys. Res. Biogeosci. 2011, 116. [Google Scholar] [CrossRef]
- Gallo, K.; Hale, R.; Tarpley, D.; Yu, Y. Evaluation of the relationship between air and land surface temperature under clear-and cloudy-sky conditions. J. Appl. Meteorol. Climatol. 2011, 50, 767–775. [Google Scholar] [CrossRef]
- Diamond, H.J.; Karl, T.R.; Palecki, M.A.; Baker, C.B.; Bell, J.E.; Leeper, R.D.; Easterling, D.R.; Lawrimore, J.H.; Meyers, T.P.; Helfert, M.R. US Climate Reference Network after one decade of operations: Status and assessment. Bull. Am. Meteorol. Soc. 2013, 94, 485–498. [Google Scholar] [CrossRef]
- Augustine, J.A.; DeLuisi, J.J.; Long, C.N. SURFRAD-A national surface radiation budget network for atmospheric research. Bull. Am. Meteorol. Soc. 2000, 81, 2341–2357. [Google Scholar] [CrossRef]
- Augustine, J.A.; Hodges, G.B.; Cornwall, C.R.; Michalsky, J.J.; Medina, C.I. An update on SURFRAD-The GCOS Surface Radiation budget network for the continental United States. J. Atmos. Ocean. Technol. 2005, 22, 1460–1472. [Google Scholar] [CrossRef]
- Coll, C.; Niclòs, R.; Puchades, J.; García-Santos, V.; Galve, J.M.; Pérez-Planells, L.; Valor, E.; Theocharous, E. Laboratory calibration and field measurement of land surface temperature and emissivity using thermal infrared multiband radiometers. Int. J. Appl. Earth Obs. Geoinf. 2019, 78, 227–239. [Google Scholar] [CrossRef]
- Theocharous, E.; Barker Snook, I.; Fox, N.P. 2016 Comparison of IR Brightness Temperature Measurements in Support of Satellite Validation. Part 4: Land Surface Temperature Comparison of Radiation Thermometers. Technical Report; ESA: Paris, France, 2017.
- Göttsche, F.-M.; Olesen, F.; Poutier, L.; Langlois, S.; Wimmer, W.; Garcia Santos, V.; Coll, C.; Niclos, R.; Arbelo, M.; Monchau, J.-P. Report from the Field Inter-Comparison Experiment (FICE) for Land Surface Temperature, Technical Report; ESA: Paris, France, 2017.
- Morris, V. Infrared Thermometer (IRT) Handbook; DOE Office of Science Atmospheric Radiation Measurement (ARM) Program; U.S. Department of Energy: Washington, DC, USA, 2006.
- Hook, S.J.; Vaughan, R.G.; Tonooka, H.; Schladow, S.G. Absolute radiometric in-flight validation of mid infrared and thermal infrared data from ASTER and MODIS on the Terra spacecraft using the Lake Tahoe, CA/NV, USA, automated validation site. IEEE Trans. Geosci. Remote Sens. 2007, 45, 1798–1807. [Google Scholar] [CrossRef]
- FLIR. FLIR Tau2 Product Specification, Document Number: 102-PS242–40 Version 141; FLIR: Wilsonville, OR, USA, 2015. [Google Scholar]
- Aubrecht, D.M.; Helliker, B.R.; Goulden, M.L.; Roberts, D.A.; Still, C.J.; Richardson, A.D. Continuous, long-term, high-frequency thermal imaging of vegetation: Uncertainties and recommended best practices. Agric. For. Meteorol. 2016, 228, 315–326. [Google Scholar] [CrossRef]
- Aubry-Wake, C.; Baraer, M.; McKenzie, J.M.; Mark, B.G.; Wigmore, O.; Hellström, R.Å.; Lautz, L.; Somers, L. Measuring glacier surface temperatures with ground-based thermal infrared imaging. Geophys. Res. Lett. 2015, 42, 8489–8497. [Google Scholar] [CrossRef]
- Vollmer, M.; Möllmann, K.-P. Infrared Thermal Imaging: Fundamentals, Research and Applications; John Wiley & Sons: Weinheim, Germany, 2017. [Google Scholar]
- Usamentiaga, R.; Venegas, P.; Guerediaga, J.; Vega, L.; Molleda, J.; Bulnes, F.G. Infrared thermography for temperature measurement and non-destructive testing. Sensors 2014, 14, 12305–12348. [Google Scholar] [CrossRef]
- Wang, K.; Wan, Z.; Wang, P.; Sparrow, M.; Liu, J.; Zhou, X.; Haginoya, S. Estimation of surface long wave radiation and broadband emissivity using Moderate Resolution Imaging Spectroradiometer (MODIS) land surface temperature/emissivity products. J. Geophys. Res. Atmos. 2005, 110. [Google Scholar] [CrossRef]
- Wiber, A.; Kratz, D.; Gupta, S. Surface Emissivity Maps for Use in Satellite Retrievals of Longwave Radiation. NASA Center for AeroSpace Information (CASI). NASATchNote991999. Available online: https://eosweb.larc.nasa.gov/sites/default/files/project/calipso/Wilber (accessed on 17 September 2018).
- Aguilar, J.L.C.; Gentle, A.R.; Smith, G.B.; Chen, D. A method to measure total atmospheric long-wave down-welling radiation using a low cost infrared thermometer tilted to the vertical. Energy 2015, S81, 233–244. [Google Scholar] [CrossRef]
- Krishnan, P.; Kochendorfer, J.; Dumas, E.J.; Guillevic, P.C.; Baker, C.B.; Meyers, T.P.; Martos, B. Comparison of in-situ, aircraft, and satellite land surface temperature measurements over a NOAA Climate Reference Network site. Remote Sens. Environ. 2015, 165, 249–264. [Google Scholar] [CrossRef]
- Hulley, G.C.; Hook, S.J. Generating consistent land surface temperature and emissivity products between ASTER and MODIS data for earth science research. IEEE Trans. Geosci. Remote Sens. 2010, 49, 1304–1315. [Google Scholar] [CrossRef]
- Nerry, F.; Labed, J.; Stoll, M.-P. Emissivity signatures in the thermal IR band for remote sensing: Calibration procedure and method of measurement. Appl. Opt. 1988, 27, 758–764. [Google Scholar] [CrossRef]
- Qin, Z.; Berliner, P.; Karnieli, A. Ground temperature measurement and emissivity determination to understand the thermal anomaly and its significance on the development of an arid environmental ecosystem in the sand dunes across the Israel–Egypt border. J. Arid Environ. 2005, 60, 27–52. [Google Scholar] [CrossRef]
- Zhang, Y.; Li, Z.; Li, J. Comparisons of emissivity observations from satellites and the ground at the CRCS Dunhuang Gobi site. J. Geophys. Res. Atmos. 2014, 119, 13026–13041. [Google Scholar] [CrossRef]
- Rubio, E.; Caselles, V.; Badenas, C. Emissivity measurements of several soils and vegetation types in the 8–14, μm Wave band: Analysis of two field methods. Remote Sens. Environ. 1997, 59, 490–521. [Google Scholar] [CrossRef]
- Gillespie, A.; Rokugawa, S.; Matsunaga, T.; Cothern, J.S.; Hook, S.; Kahle, A.B. A temperature and emissivity separation algorithm for Advanced Spaceborne Thermal Emission and Reflection Radiometer (ASTER) images. IEEE Trans. Geosci. Remote Sens. 1998, 36, 1113–1126. [Google Scholar] [CrossRef]
- Wang, W.; Liang, S.; Meyers, T. Validating MODIS land surface temperature products using long-term nighttime ground measurements. Remote Sens. Environ. 2008, 112, 623–635. [Google Scholar] [CrossRef]
- Iqbal, M. An Introduction to Solar Radiation; Acdemic Press: Don Mills, ON, Canada, 1983. [Google Scholar]
- Guillevic, P.; Göttsche, F.; Nickeson, J.; Hulley, G.; Ghent, D.; Yu, Y.; Trigo, I.; Hook, S.; Sobrino, J.; Remedios, J. Land surface temperature product validation best practice protocol. Version 1.0. Best Pract. Satell. Deriv. Land Prod. Valid. 2017, 60. [Google Scholar] [CrossRef]
- Mukammal, E. A note on dew deposition on pyrradiometers. Sol. Energy 1972, 13, 421–423. [Google Scholar] [CrossRef]
- Wan, Z.; Dozier, J. A generalized split-window algorithm for retrieving land-surface temperature from space. IEEE Trans. Geosci. Remote Sens. 1996, 34, 892–905. [Google Scholar]
- Wilson, T.; Meyers, T. Determining vegetation indices from solar and photosynthetically active radiation fluxes. Agric. For. Meteorol. 2007, 144, 160–179. [Google Scholar] [CrossRef]
- Wang, K.; Liang, S. Evaluation of ASTER and MODIS land surface temperature and emissivity products using long-term surface longwave radiation observations at SURFRAD sites. Remote Sens. Environ. 2009, 113, 1556–1565. [Google Scholar] [CrossRef]
- Krishnan, P.; Meyers, T.P.; Scott, R.L.; Kennedy, L.; Heuer, M. Energy exchange and evapotranspiration over two temperate semi-arid grasslands in North America. Agric. For. Meteorol. 2012, 153, 31–44. [Google Scholar] [CrossRef]
- Coll, C.; Caselles, V.; Galve, J.M.; Valor, E.; Niclos, R.; Sánchez, J.M.; Rivas, R. Ground measurements for the validation of land surface temperatures derived from AATSR and MODIS data. Remote Sens. Environ. 2005, 97, 288–300. [Google Scholar] [CrossRef]
- Valor, E.; Sánchez, J.M.; Niclòs, R.; Moya, R.; Barberà, M.J.; Caselles, V.; Coll, C. Comparison of in Situ Land Surface Temperatures Measured with Radiometers and Pyrgeometers: Consequences for Calibration and Validation of Thermal Infrared Sensors. In Proceedings of the IGARSS 2018–2018 IEEE International Geoscience and Remote Sensing Symposium, Valencia, Spain, 22–27 July 2018; pp. 7961–7964. [Google Scholar]
- Simó, G.; Martínez-Villagrasa, D.; Jiménez, M.A.; Caselles, V.; Cuxart, J. Impact of the surface–atmosphere variables on the relation between air and land surface temperatures. Pure Appl. Geophys. 2018, 175, 3939–3953. [Google Scholar] [CrossRef]
- Childs, P.R.; Greenwood, J.; Long, C. Review of temperature measurement. Rev. Sci. Instrum. 2000, 71, 2959–2978. [Google Scholar] [CrossRef]
- Kim, Y.; Still, C.J.; Roberts, D.A.; Goulden, M.L. Thermal infrared imaging of conifer leaf temperatures: Comparison to thermocouple measurements and assessment of environmental influences. Agric. For. Meteorol. 2018, 248, 361–371. [Google Scholar] [CrossRef]
- Chen, C. Determining the leaf emissivity of three crops by infrared thermometry. Sensors 2015, 15, 11387–11401. [Google Scholar] [CrossRef]
- Xu, Z.; Liu, S.; Li, X.; Shi, S.; Wang, J.; Zhu, Z.; Xu, T.; Wang, W.; Ma, M. Intercomparison of surface energy flux measurement systems used during the HiWATER-MUSOEXE. J. Geophys. Res. Atmos. 2013, 118, 13140–13157. [Google Scholar] [CrossRef]
- Li, H.; Sun, D.; Yu, Y.; Wang, H.; Liu, Y.; Liu, Q.; Du, Y.; Wang, H.; Cao, B. Evaluation of the VIIRS and MODIS LST products in an arid area of Northwest China. Remote Sens. Environ. 2014, 142, 111–121. [Google Scholar] [CrossRef]
- Adderley, C.; Christen, A.; Voogt, J. The effect of radiometer placement and view on inferred directional and hemispheric radiometric temperatures of an urban canopy. Atmos. Meas. Tech. 2015, 8, 2699–2714. [Google Scholar] [CrossRef]
- Chehbouni, A.; Nouvellon, Y.; Kerr, Y.; Moran, M.S.; Watts, C.; Prevot, L.; Goodrich, D.; Rambal, S. Directional effect on radiative surface temperature measurements over a semiarid grassland site. Remote Sens. Environ. 2001, 76, 360–372. [Google Scholar] [CrossRef]
- Li, F.; Jackson, T.J.; Kustas, W.P.; Schmugge, T.J.; French, A.N.; Cosh, M.H.; Bindlish, R. Deriving land surface temperature from Landsat 5 and 7 during SMEX02/SMACEX. Remote Sens. Environ. 2004, 92, 521–534. [Google Scholar] [CrossRef]
- Duan, S.-B.; Li, Z.-L.; Li, H.; Göttsche, F.-M.; Wu, H.; Zhao, W.; Leng, P.; Zhang, X.; Coll, C. Validation of Collection 6 MODIS land surface temperature product using in situ measurements. Remote Sens. Environ. 2019, 225, 16–29. [Google Scholar] [CrossRef]
- Crum, S.M.; Jenerette, G.D. Microclimate Variation among Urban Land Covers: The Importance of Vertical and Horizontal Structure in Air and Land Surface Temperature Relationships. J. Appl. Meteorol. Climatol. 2017, 56, 2531–2543. [Google Scholar] [CrossRef]
- Tomlinson, C.J.; Chapman, L.; Thornes, J.E.; Baker, C.J.; Prieto-Lopez, T. Comparing night-time satellite land surface temperature from MODIS and ground measured air temperature across a conurbation. Remote Sens. Lett. 2012, 3, 657–666. [Google Scholar] [CrossRef]
- Good, E.J. An in situ-based analysis of the relationship between land surface “skin” and screen-level air temperatures. J. Geophys. Res. Atmos. 2016, 121, 8801–8819. [Google Scholar] [CrossRef]
- Prakash, S.; Shati, F.; Norouzi, H.; Blake, R. Observed differences between near-surface air and skin temperatures using satellite and ground-based data. Theor. Appl. Climatol. 2019, 137, 587–600. [Google Scholar] [CrossRef]
- Huang, M.; Lee, P.; McNider, R.; Crawford, J.; Buzay, E.; Barrick, J.; Liu, Y.; Krishnan, P. Temporal and spatial variability of daytime land surface temperature in Houston: Comparing DISCOVER-AQ aircraft observations with the WRF model and satellites. J. Geophys. Res. Atmos. 2016, 121, 185–195. [Google Scholar] [CrossRef]
- Malbéteau, Y.; Parkes, S.; Aragon, B.; Rosas, J.; McCabe, M.F. Capturing the diurnal cycle of land surface temperature using an unmanned aerial vehicle. Remote Sens. 2018, 10, 1407. [Google Scholar] [CrossRef]
- Kelly, J.; Kljun, N.; Olsson, P.-O.; Mihai, L.; Liljeblad, B.; Weslien, P.; Klemedtsson, L.; Eklundh, L. Challenges and best practices for deriving temperature data from an uncalibrated UAV thermal infrared camera. Remote Sens. 2019, 11, 567. [Google Scholar] [CrossRef]
- Ortega-Farías, S.; Ortega-Salazar, S.; Poblete, T.; Kilic, A.; Allen, R.; Poblete-Echeverría, C.; Ahumada-Orellana, L.; Zuñiga, M.; Sepúlveda, D. Estimation of energy balance components over a drip-irrigated olive orchard using thermal and multispectral cameras placed on a helicopter-based unmanned aerial vehicle (UAV). Remote Sens. 2016, 8, 638. [Google Scholar] [CrossRef]
- Lee, T.R.; Buban, M.; Dumas, E.; Baker, C.B. A new technique to estimate sensible heat fluxes around micrometeorological towers using small unmanned aircraft systems. J. Atmos. Ocean. Technol. 2017, 34, 2103–2112. [Google Scholar] [CrossRef]
- Wang, S.; Garcia, M.; Bauer-Gottwein, P.; Jakobsen, J.; Zarco-Tejada, P.J.; Bandini, F.; Paz, V.S.; Ibrom, A. High spatial resolution monitoring land surface energy, water and CO2 fluxes from an Unmanned Aerial System. Remote Sens. Environ. 2019, 229, 14–31. [Google Scholar] [CrossRef]
- Lundquist, J.D.; Chickadel, C.; Cristea, N.; Currier, W.R.; Henn, B.; Keenan, E.; Dozier, J. Separating snow and forest temperatures with thermal infrared remote sensing. Remote Sens. Environ. 2018, 209, 764–779. [Google Scholar] [CrossRef]
- Berni, J.A.; Zarco-Tejada, P.J.; Suárez, L.; Fereres, E. Thermal and narrowband multispectral remote sensing for vegetation monitoring from an unmanned aerial vehicle. IEEE Trans. Geosci. Remote Sens. 2009, 47, 722–738. [Google Scholar] [CrossRef]
- Hulley, G.C.; Hook, S.J. A radiance-based method for estimating uncertainties in the Atmospheric Infrared Sounder (AIRS) land surface temperature product. J. Geophys. Res. Atmos. 2012, 117. [Google Scholar] [CrossRef]
- Torres-Rua, A. Vicarious calibration of sUAS microbolometer temperature imagery for estimation of radiometric land surface temperature. Sensors 2017, 17, 1499. [Google Scholar] [CrossRef] [PubMed]











| Instrument | Spectral Range (µm) | Accuracy | Instrument Height (m) | FOV (°) | Footprint Area (m2) |
|---|---|---|---|---|---|
| Infrared Thermometer (IRT) | (°C) | ||||
| Apogee (SI-111) | 8–14 | ±0.2 3 | 1.7 | 44 | 1.48 |
| Apogee (IRTS-P) | 6.5–14 | ±0.3 | 2.0 | 56 | 3.55 |
| Heitronics (KT19.85) | 9.6–1.5 | ±0.2 | 1.7 | 3 | 0.006 |
| JPLR (500 series) 1 | 8–14 | ±0.1 | 1.7 | 36 | 0.96 |
| IR camera | |||||
| FLIR (Tau2) | 7.5–13.0 | ±5.0 | 1.7 | 45 × 35 | 1.51 |
| Pyrgeometer (LWR) 2 | (Wm−2) | ||||
| Kipp and Zonen (CNR1-CG3) | 4.5–42.0 | DT ± 10% 4 | 1.7 | 150 | 126 |
| Site | Latitude, Longitude | Elevation (m) | Year | Measurement Height (m) | |
|---|---|---|---|---|---|
| LST | AT | ||||
| Audubon, Arizona | 31.5907 N, 110.5090 W | 1469 | 2008 | 2 | 1.25 |
| Brookings, South Dakota | 44.3452 N, 96.8358 W | 497 | 2008 | 2 | 1.5 |
| Canaan Valley, West Virginia | 39.0633 N, 79.4208 W | 994 | 2008 | 2 | 2.5 |
| Fort Peck, Montana | 48.3077 N, 105.1019 W | 634 | 2012 | 2 | 1.25 |
| Data | y | x | (b, c) | r2 | RMSE | Bias | STDd | n |
|---|---|---|---|---|---|---|---|---|
| All | Tb (Heitronics) | Tb (Apogee) | 1.01, −0.37 | 1 | 0.36 | −0.26 | 0.25 | 24,914 |
| Daytime | 0.99, −0.2 | 1 | 0.34 | −0.22 | 0.25 | 11,447 | ||
| Nighttime | 1.02, −0.52 | 1 | 0.38 | −0.29 | 0.24 | 13,468 | ||
| All | Tb (JPLR) | Tb (Heitronics) | 0.99, 0.37 | 1 | 0.35 | 0.23 | 0.27 | 21,860 |
| Daytime | 1, 0.11 | 1 | 0.29 | 0.15 | 0.25 | 10,801 | ||
| Nighttime | 0.98, 0.6 | 1 | 0.41 | 0.30 | 0.27 | 11,059 | ||
| All | Tb (JPLR) | Tb (Apogee) | 0.99, 0.8 | 1 | 0.16 | −0.003 | 0.16 | 21,860 |
| Daytime | 0.99, −0.03 | 1 | 0.21 | −0.06 | 0.19 | 10,801 | ||
| Nighttime | 0.99, 0.08 | 1 | 0.09 | 0.05 | 0.08 | 11,059 | ||
| All | Tb (Heitronics) | Ts (TC) | 0.97, −1.5 | 0.98 | 2.25 | −1.95 | 1.14 | 24,914 |
| Daytime | 0.93, −0.65 | 0.98 | 2.53 | −2.14 | 1.34 | 11,447 | ||
| Nighttime | 01.07, 2.6 | 0.98 | 1.99 | −1.78 | 0.89 | 13,468 | ||
| All | Tb (JPLR) | Ts (TC) | 0.93, −0.47 | 0.98 | 1.92 | −1.63 | 0.97 | 21,860 |
| Daytime | 0.91, −0.12 | 0.98 | 2.28 | −1.94 | 1.21 | 10,801 | ||
| Nighttime | 1.04, −1.9 | 0.98 | 1.48 | −1.32 | 0.65 | 11,059 | ||
| All | Tb (Apogee) | Ts (TC) | 0.96, −1.1 | 0.99 | 1.94 | −1.68 | 0.97 | 24,914 |
| Daytime | 0.93, −0.49 | 0.99 | 2.25 | −1.91 | 1.19 | 11,447 | ||
| Nighttime | 1.05, −2 | 0.99 | 1.63 | −1.48 | 0.67 | 13,468 | ||
| All | Mean Tb (IRTs) | Tb (FLIR) | 1.03, −3.9 | 0.99 | 3.41 | −3.37 | 0.49 | 25 |
| Data | y | x | (b, c) | r2 | RMSE | Bias | STDd | n |
|---|---|---|---|---|---|---|---|---|
| All | Ts(TC) | Ts(IRT) | 0.99, 0.28 | 1 | 0.55 | 0.23 | 0.50 | 21,004 |
| Daytime | 0.98, 0.59 | 1 | 0.67 | 0.26 | 0.62 | 10,509 | ||
| Nighttime | 1.02, −0.05 | 1 | 0.40 | 0.40 | 0.20 | 10,495 | ||
| Day clear sky | 0.97, 0.86 | 1 | 0.81 | 0.23 | 0.78 | 3532 | ||
| All | Ts(TC) | Ts(LWR) | 1.08, 0.−39 | 1 | 1.27 | 0.92 | 0.88 | 21,004 |
| Daytime | 1.07, −0.15 | 0.99 | 1.65 | 1.36 | 0.94 | 10,509 | ||
| Nighttime | 1.05, −0.12 | 0.99 | 0.70 | 0.47 | 0.52 | 10,495 | ||
| Day clear sky | 1.08, 0.11 | 0.99 | 2.21 | 1.91 | 1.10 | 3532 | ||
| All | Ts(IRT) | Ts(LWR) | 1.08, −0.64 | 0.99 | 1.11 | 0.68 | 0.87 | 21,004 |
| Daytime | 1.09, −0.72 | 0.99 | 1.46 | 1.09 | 0.96 | 10,509 | ||
| Nighttime | 1.02, −0.034 | 0.99 | 0.56 | 0.27 | 0.49 | 10,495 | ||
| Day clear sky | 1.1, −0.75 | 1 | 2.05 | 1.68 | 1.16 | 3532 |
| Data | y | x | (b, c) | r2 | RMSE | Bias | STDd | n |
|---|---|---|---|---|---|---|---|---|
| All | Ts (IRT) | Ta (PRT) | 1.02, 4.9 | 0.51 | 7.86 | 5.16 | 5.93 | 21,004 |
| Daytime | 0.97, 8.1 | 0.35 | 10.51 | 7.69 | 7.16 | 10,509 | ||
| Nighttime | 0.79, 4.7 | 0.81 | 3.63 | 2.64 | 2.50 | 10,495 | ||
| Day clear sky | 1.14, 11 | 0.33 | 15.35 | 12.48 | 8.95 | 3532 | ||
| All | 1.06, 4.7 | 0.63 | 7.55 | 5.32 | 5.35 | 24,903 | ||
| Daytime | Ts (TC) | Ta (PRT) | 1.03, 7.4 | 0.46 | 10.29 | 7.79 | 6.72 | 11,447 |
| Nighttime | 0.86, 4.5 | 0.87 | 3.92 | 3.22 | 2.24 | 13,456 | ||
| Day clear sky | 1.23, 9.5 | 0.44 | 15.00 | 12.33 | 8.54 | 3762 |
| Site Name | y | x | Data | (b, c) | r2 | RMSE | Bias | STDd | n |
|---|---|---|---|---|---|---|---|---|---|
| Audubon | Ts (IRT) | Ts (LWR) | Day | 1, 1.4 | 1 | 1.53 | 1.53 | 0.07 | 9114 |
| Night | 1.01, 1.4 | 1 | 1.45 | 1.45 | 0.07 | 8454 | |||
| Ts | Ta | Day | 1.28, −0.54 | 0.8 | 7.48 | 4.98 | 5.57 | 9114 | |
| Night | 1.01, −1.4 | 0.96 | 1.98 | −1.38 | 1.42 | 8454 | |||
| Brookings | Ts (IRT) | Ts (LWR) | Day | 1.04, 1 | 1 | 2.2 | 1.32 | 1.76 | 10,928 |
| Night | 0.99, −0.39 | 1 | 0.8 | −0.38 | 0.7 | 6544 | |||
| Ts | Ta | Day | 1.03, 0.66 | 0.98 | 2.35 | 0.86 | 2.18 | 10,928 | |
| Night | 0.98, 1.4 | 0.99 | 2.04 | −1.44 | 1.44 | 6544 | |||
| Canaan Valley | Ts (IRT) | Ts (LWR) | Day | 0.97, 0.04 | 0.99 | 1.27 | −0.25 | 1.23 | 9156 |
| Night | 0.96, 0.27 | 0.98 | 1.19 | 0.16 | 1.17 | 7588 | |||
| Ts | Ta | Day | 1.09, 0.73 | 0.93 | 3.33 | 1.57 | 2.94 | 9145 | |
| Night | 0.97, −1.6 | 0.97 | 2.26 | −1.72 | 1.47 | 7591 | |||
| Fort Peck | Ts (IRT) | Ts (LWR) | Day | 1.01, 0.18 | 1 | 0.89 | 0.36 | 0.81 | 9147 |
| Night | 0.98, 0.19 | 1 | 0.66 | 0.18 | 0.63 | 7291 | |||
| Ts | Ta | Day | 1.15, 2.1 | 0.94 | 5.75 | 3.69 | 4.41 | 9147 | |
| Night | 0.99, −0.37 | 0.99 | 1.28 | −0.37 | 1.22 | 7261 | |||
| Ts (LWR) | Ts (LWR) | All | 1.03, 0.02 | 0.99 | 1.69 | 0.24 | 1.68 | 16,408 | |
| (SEBN) | (SURFRAD) | ||||||||
| Ts (IRT) | Ts (LWR) | All | 1.03, 0.25 | 0.99 | 1.97 | 0.52 | 1.91 | 16,408 | |
| (SEBN) | (SURFRAD) | ||||||||
| Ts (IRT) | Ts (LWR) | All | 1.06, 0.46 | 0.99 | 2.33 | 1.05 | 2.08 | 9182 | |
| (USCRN) | (SURFRAD) | ||||||||
| Ts (IRT) | Ts (IRT) | All | 0.97, −0.13 | 0.99 | 1.44 | −0.45 | 1.37 | 8523 | |
| (SEBN) | (USCRN) | ||||||||
| Ts (LWR) | Ts (IRT) | All | 0.96, −32 | 0.99 | 1.67 | −0.77 | 1.48 | 8523 | |
| (SEBN) | (USCRN) |
© 2020 by the authors. Licensee MDPI, Basel, Switzerland. This article is an open access article distributed under the terms and conditions of the Creative Commons Attribution (CC BY) license (http://creativecommons.org/licenses/by/4.0/).
Share and Cite
Krishnan, P.; Meyers, T.P.; Hook, S.J.; Heuer, M.; Senn, D.; Dumas, E.J. Intercomparison of In Situ Sensors for Ground-Based Land Surface Temperature Measurements. Sensors 2020, 20, 5268. https://doi.org/10.3390/s20185268
Krishnan P, Meyers TP, Hook SJ, Heuer M, Senn D, Dumas EJ. Intercomparison of In Situ Sensors for Ground-Based Land Surface Temperature Measurements. Sensors. 2020; 20(18):5268. https://doi.org/10.3390/s20185268
Chicago/Turabian StyleKrishnan, Praveena, Tilden P. Meyers, Simon J. Hook, Mark Heuer, David Senn, and Edward J. Dumas. 2020. "Intercomparison of In Situ Sensors for Ground-Based Land Surface Temperature Measurements" Sensors 20, no. 18: 5268. https://doi.org/10.3390/s20185268
APA StyleKrishnan, P., Meyers, T. P., Hook, S. J., Heuer, M., Senn, D., & Dumas, E. J. (2020). Intercomparison of In Situ Sensors for Ground-Based Land Surface Temperature Measurements. Sensors, 20(18), 5268. https://doi.org/10.3390/s20185268

