User Oriented Transmit Antenna Selection in Massive Multi-User MIMO SDR Systems
Abstract
1. Introduction
2. System Model
2.1. Full MU-MIMO System
2.2. AS Aided MU-MIMO System
3. Proposed User-Oriented AS Aided MU-MIMO System and SDR Hardware Implementation
3.1. Proposed UOSTxAS System
3.2. Implementation of UOSTxAS in NI SDR MIMO System
4. Results and Discussion
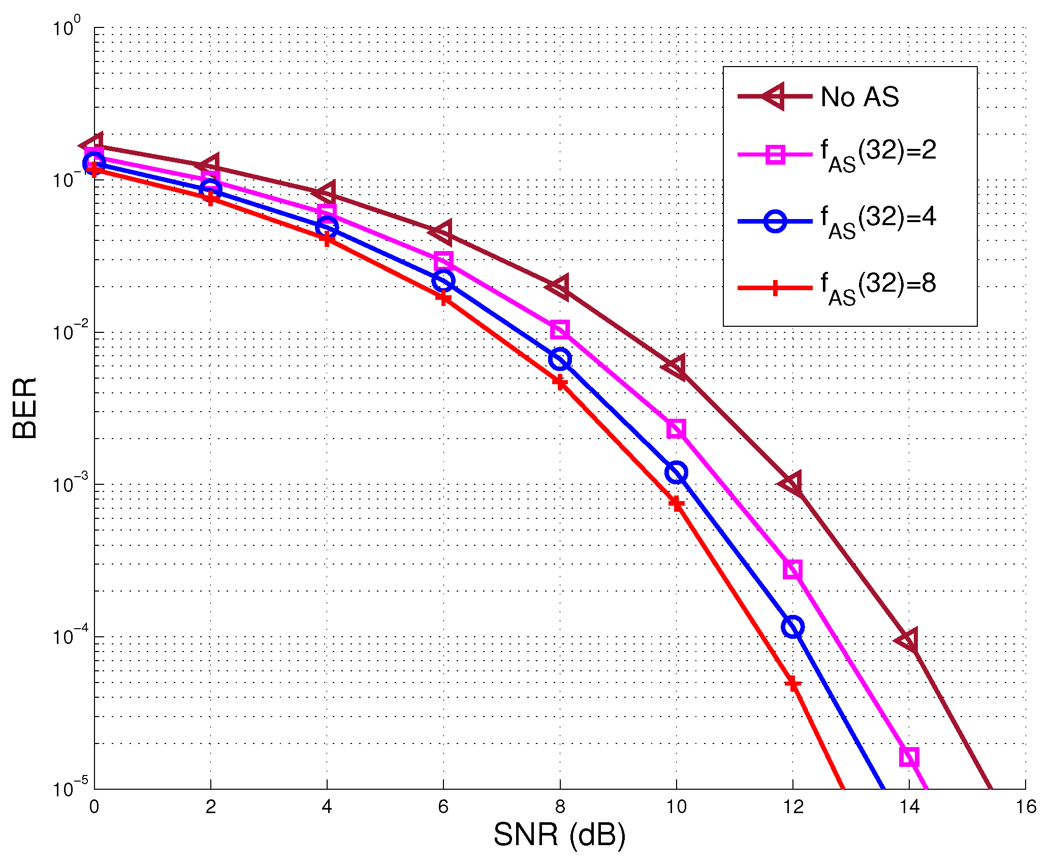
4.1. AS Aided MU-MIMO System
4.2. Proposed UOSTxAS System
4.3. Measurement Results from NI SDR MIMO Platform
5. Conclusions
Author Contributions
Funding
Conflicts of Interest
References
- Zhang, J.; Chen, S.; Maunder, R.G.; Zhang, L.; Hanzo, L. Adaptive Coding and Modulation for Large-Scale Antenna Array Based Aeronautical Communications in the Presence of Co-channel Interference. IEEE Trans. Wirel. Commun. 2017, 17, 1343–1357. [Google Scholar] [CrossRef]
- Zhang, P.; Chen, S.; Hanzo, L. Two-Tier Channel Estimation Aided Near-Capacity MIMO Transceivers Relying on Norm-Based Joint Transmit and Receive Antenna Selection. IEEE Trans. Wirel. Commun. 2015, 14, 122–137. [Google Scholar] [CrossRef]
- Zhang, P.; Xu, J.; Zhong, S.; Feng, H.; Huang, L.; Yuan, T.; Zhang, J. Design of Reconfigurable SDR Platform for Antenna Selection Aided MIMO Communication System. IEEE Access 2019, 7, 169267–169280. [Google Scholar] [CrossRef]
- Choi, J.; Lee, N.; Hong, S.; Caire, G. Joint User Selection, Power Allocation, and Precoding Design with Imperfect CSIT for Multi-Cell MU-MIMO Downlink Systems. IEEE Trans. Wirel. Commun. 2020, 19. [Google Scholar] [CrossRef]
- Wang, C.; Haider, F.; Gao, X.; Yang, Y.; Yuan, D.; Aggoune, H.M.; Haas, H.; Fletcher, S.; Hepsaydir, E. Cellular architecture and key technologies for 5G wireless communication networks. IEEE Commun. Mag. 2014, 52, 122–130. [Google Scholar] [CrossRef]
- Thompson, J.; Ge, X.; Wu, H.; Irmer, R.; Jiang, H.; Fettweis, G.; Alamouti, S. 5G wireless communication systems: Prospects and challenges [Guest Editorial]. IEEE Commun. Mag. 2014, 52, 62–64. [Google Scholar] [CrossRef]
- Sanayei, S.; Nosratinia, A. Antenna selection in MIMO systems. IEEE Commun. Mag. 2004, 42, 68–73. [Google Scholar] [CrossRef]
- Chung, W.; Hung, C. Multi-Antenna Selection Using Space Shift Keying in MIMO Systems. In Proceedings of the 2012 IEEE 75th Vehicular Technology Conference (VTC Spring), Yokohama, Japan, 6–9 May 2012. [Google Scholar] [CrossRef]
- Rajashekar, R.; Hari, K.V.S.; Hanzo, L. Antenna Selection in Spatial Modulation Systems. IEEE Commun. Lett. 2013, 17, 521–524. [Google Scholar] [CrossRef]
- Xu, C.; Sugiura, S.; Ng, S.X.; Hanzo, L. Spatial Modulation and Space-Time Shift Keying: Optimal Performance at a Reduced Detection Complexity. IEEE Trans. Commun. 2013, 61, 206–216. [Google Scholar] [CrossRef]
- Yang, P.; Xiao, Y.; Guan, Y.L.; Hanzo, L. Transmit Antenna Selection for Multiple-Input Multiple-Output Spatial Modulation Systems. IEEE Trans. Commun. 2016, 64, 2035–2048. [Google Scholar] [CrossRef]
- Xu, C.; Sugiura, S.; Ng, S.X.; Zhang, P.; Wang, L.; Hanzo, L. Two Decades of MIMO Design Tradeoffs and Reduced-Complexity MIMO Detection in Near-Capacity Systems. IEEE Access 2017, 5, 18564–18632. [Google Scholar] [CrossRef]
- Takemura, N.; Honma, N.; Kawagoe, A. Improvement of Interference Suppression Performance Using Antenna Selection of Mobile Terminal for Full-Duplex 4 × 4 MIMO System. IEEE Trans. Antennas Propag. 2020, 17, 4186–4195. [Google Scholar] [CrossRef]
- Liu, Z.; Feng, S. Antenna Selection for Full-Duplex Distributed Antenna Systems. IEEE Access 2019, 7, 132516–132524. [Google Scholar] [CrossRef]
- Ban, T.-W.; Jung, B.C. A Practical Antenna Selection Technique in Multiuser Massive MIMO Networks. IEICE Trans. Commun. 2013, E96.B, 2901–2905. [Google Scholar] [CrossRef]
- Li, H.; Song, L.; Debbah, M. Energy Efficiency of Large-Scale Multiple Antenna Systems with Transmit Antenna Selection. IEEE Trans. Commun. 2014, 62, 638–647. [Google Scholar] [CrossRef]
- Ibrahim, M.S.; Konar, A.; Sidiropoulos, N.D. Fast Algorithms for Joint Multicast Beamforming and Antenna Selection in Massive MIMO. IEEE Trans. Signal Process. 2020, 68, 1897–1909. [Google Scholar] [CrossRef]
- Xu, G.; Liu, A.; Jiang, W.; Xiang, H.; Luo, W. Joint user scheduling and antenna selection in distributed massive MIMO systems with limited backhaul capacity. China Commun. 2014, 11, 17–30. [Google Scholar] [CrossRef]
- Lee, B.; Ngo, L.; Shim, B. Antenna group selection based user scheduling for massive MIMO systems. In Proceedings of the 2014 IEEE Global Communications Conference, Austin, TX, USA, 8–12 December 2014. [Google Scholar] [CrossRef]
- Benmimoune, M.; Driouch, E.; Ajib, W.; Massicotte, D. Joint Transmit Antenna Selection and User Scheduling for Massive MIMO Systems. In Proceedings of the 2015 IEEE Wireless Communications and Networking Conference (WCNC), New Orleans, LA, USA, 9–12 March 2015. [Google Scholar] [CrossRef]
- De Sabata, A.; Balint, C.; Bechet, P.; Miclăuş, S. USRP based HF spectrum occupancy measurements at two locations in central and Western Romania. In Proceedings of the 2017 International Symposium on Signals, Circuits and Systems (ISSCS), Iasi, Romania, 13–14 July 2017. [Google Scholar] [CrossRef]
- Soni, G.; Megh, G. Experimental investigation of spectrum sensing for LTE frequency band based on USRP 2920/VST 5644. In Proceedings of the 2016 International Conference on Control, Instrumentation, Communication and Computational Technologies (ICCICCT), Kumaracoil, India, 16–17 December 2016. [Google Scholar]
- Kumar, K.A. ARM-FPGA Implementation of a Partially Reconfigurable OFDM-MIMO Phy-Link. In Proceedings of the 2018 International CET Conference on Control, Communication, and Computing (IC4), Thiruvananthapuram, India, 5–7 July 2018. [Google Scholar]
- Hiari, O.; Mesleh, R. A Reconfigurable SDR Transmitter Platform Architecture for Space Modulation MIMO Techniques. IEEE Access 2017, 5, 24214–24228. [Google Scholar] [CrossRef]
- Liu, Y.; Li, C.; Xia, X.; Quan, X.; Liu, D.; Xu, Q.; Pan, W.; Tang, Y.; Kang, K. Multiband User Equipment Prototype Hardware Design for 5G Communications in Sub-6-GHz Band. IEEE Trans. Microw. Theory. Tech. 2019, 67, 2916–2927. [Google Scholar] [CrossRef]
- Wang, J.; Wang, K.; Han, B.; Zhang, S.; Wen, C.; Jin, S. SDR Implementation of a 5G-Oriented Ultra-Dense Distributed MIMO Prototype System. In Proceedings of the 2018 10th International Conference on Wireless Communications and Signal Processing (WCSP), Hangzhou, China, 18–20 October 2018. [Google Scholar] [CrossRef]
- LabView Communications MIMO Application Framework 1.5. Available online: http://www.ni.com/download/mimo-application-framework-1.5 (accessed on 28 September 2018).
- Viswanathan, H.; Venkatesan, S.; Huang, H. Downlink capacity evaluation of cellular networks with known-interference cancellation. IEEE J. Sel. Areas. Commun. 2003, 21, 802–811. [Google Scholar] [CrossRef]










| Base Station | Users | |
|---|---|---|
| PXI chassis (PXI-1085) | Controller (PXIe-8135 24GB/s) | PC |
| 4 MXI-Expresses | 1-2 USRP-RIOs (USRP-2943R) | |
| 2 FPGA modules (PXIe-7976) | ||
| 8-channel clock distribution accessory (CDA-2990) | ||
| 4 USRP-RIOs (USRP-2943R) | ||
| System | Simulation Time |
|---|---|
| MU-MIMO | 7.71 ms |
| AS aided MU-MIMO | 8.04 ms |
| UOSTxAS MU-MIMO | 8.33 ms |
| Parameter | Value |
|---|---|
| Maximum Numbers of Users | 4 |
| Numbers of users antennas | 1 |
| Numbers of BS antennas | 8 |
| Bandwidth | 120 MHz |
| Carrier frequency | 3.610 GHz |
| Sample frequency | 30.72 MHz |
| FFT size | 2048 |
| Modulation | QPSK |
| Precoding | Zero Force |
© 2020 by the authors. Licensee MDPI, Basel, Switzerland. This article is an open access article distributed under the terms and conditions of the Creative Commons Attribution (CC BY) license (http://creativecommons.org/licenses/by/4.0/).
Share and Cite
Zhong, S.; Feng, H.; Zhang, P.; Xu, J.; Huang, L.; Yuan, T.; Huo, Y. User Oriented Transmit Antenna Selection in Massive Multi-User MIMO SDR Systems. Sensors 2020, 20, 4867. https://doi.org/10.3390/s20174867
Zhong S, Feng H, Zhang P, Xu J, Huang L, Yuan T, Huo Y. User Oriented Transmit Antenna Selection in Massive Multi-User MIMO SDR Systems. Sensors. 2020; 20(17):4867. https://doi.org/10.3390/s20174867
Chicago/Turabian StyleZhong, Shida, Haogang Feng, Peichang Zhang, Jiajun Xu, Lei Huang, Tao Yuan, and Yongkai Huo. 2020. "User Oriented Transmit Antenna Selection in Massive Multi-User MIMO SDR Systems" Sensors 20, no. 17: 4867. https://doi.org/10.3390/s20174867
APA StyleZhong, S., Feng, H., Zhang, P., Xu, J., Huang, L., Yuan, T., & Huo, Y. (2020). User Oriented Transmit Antenna Selection in Massive Multi-User MIMO SDR Systems. Sensors, 20(17), 4867. https://doi.org/10.3390/s20174867

