A Fast 3D Near Range Imaging Algorithm for a Scanning Sparse MIMO Array in the Millimeter Band
Abstract
1. Introduction
2. Array Design
2.1. Resolution
2.2. Sampling Criteria
3. Fast 3D Near Range Imaging Algorithm
3.1. The Proposed Algorithm
3.2. Imaging Quality
3.3. Computational Complexity
4. Experimental Results
4.1. Numerical Simulations
- The spheres are located in the coordinate (−0.05, 0.6, 0.05), (0, 0.6, 0.05), (0.05, 0.6, 0.05), (−0.05, 0.5, 0), (0, 0.5, 0), (0.05, 0.5, 0), (−0.05, 0.4, −0.05), (0, 0.4, −0.05), (0.05, 0.4, −0.05) and the radii of them are 0.003 m (about a third of the center wavelength).
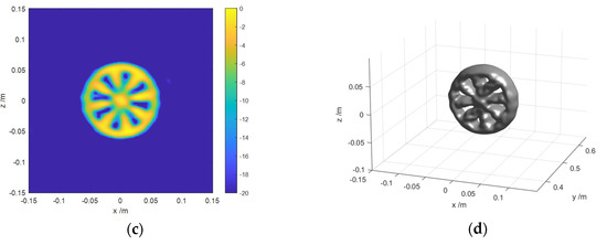
- The outer ring radius, inner ring radius and thickness of Siemens Star are 0.06 m, 0.01 m and 0.002 m, respectively.
- The horizontal, vertical interval and side-length of slab square are 0.007m, 0.0014m and 0.12m, respectively.
- All models are assumed to be perfect electric conductors.
- All models are meshed with physical optics (PO)-full ray-tracing.
- An electric dipole is used as a transmitter.
- A near-field point is designed as a receiver and is calculated only at the scattered part of the field.
4.2. Experimental Simulations
5. Conclusions
Author Contributions
Funding
Acknowledgments
Conflicts of Interest
References
- Liu, H.; Zhang, Y.X.; Long, Z.J.; Han, F.; Liu, Q.H. Three-dimensional reverse-time migration applied to a MIMO GPR system for subsurface imaging. In Proceedings of the 2016 16th International Conference on Ground Penetrating Radar (GPR), Hong Kong, 13–16 June 2016; pp. 1–4. [Google Scholar]
- Zhuge, X.; Yarovoy, A.G. Study on Two-Dimensional Sparse MIMO UWB Arrays for High Resolution Near-Field Imaging. IEEE Trans. Antennas Propag. 2012, 60, 4173–4182. [Google Scholar] [CrossRef]
- Sheen, D.M.; McMakin, D.L.; Hall, T.E. Three-dimensional millimeter-wave imaging for concealed weapon detection. IEEE Trans. Microw. Theory Tech. 2001, 49, 1581–1592. [Google Scholar] [CrossRef]
- Steinberg, B.D. Principles of Aperture and Array Systems Principles of Aperture and Array Systems Design; Wiley: New York, NY, USA, 1976. [Google Scholar]
- Qiao, L.; Wang, Y.; Zhao, Z.; Chen, Z. Exact Reconstruction for Near-Field Three-Dimensional Planar Millimeter-Wave Holographic Imaging. J. Infrared Millim. Terahertz Waves 2015, 36, 1221–1236. [Google Scholar] [CrossRef]
- Zhuge, X.; Yarovoy, A.G. A Sparse Aperture MIMO-SAR-Based UWB Imaging System for Concealed Weapon Detection. IEEE Trans. Geosci. Remote Sens. 2011, 49, 509–518. [Google Scholar] [CrossRef]
- Sheen, D.M. Sparse Multi-static Arrays for Near-field Millimeter-wave Imaging. In Proceedings of the 2013 IEEE Global Conference on Signal and Information Processing, Austin, TX, USA, 3–5 December 2013; pp. 699–702. [Google Scholar]
- Gumbmann, F.; Schmidt, L. Millimeter-Wave Imaging with Optimized Sparse Periodic Array for Short-Range Applications. IEEE Trans. Geosci. Remote Sens. 2011, 49, 3629–3638. [Google Scholar] [CrossRef]
- Baccouche, B.; Agostini, P.; Mohammadzadeh, S.; Kahl, M.; Weisenstein, C.; Jonuscheit, J.; Keil, A.; Löffler, T.; Sauer-Greff, W.; Urbansky, R.; et al. Three-Dimensional Terahertz Imaging With Sparse Multistatic Line Arrays. IEEE J. Sel. Top. Quantum Electron. 2017, 23, 1–11. [Google Scholar] [CrossRef]
- Gao, J.; Qin, Y.; Deng, B.; Wang, H.; Li, X. Novel Efficient 3D Short-Range Imaging Algorithms for a Scanning 1D-MIMO Array. IEEE Trans. Image Process. 2018, 27, 3631–3643. [Google Scholar] [CrossRef] [PubMed]
- Roberts, W.; Stoica, P.; Li, J.; Yardibi, T.; Sadjadi, F.A. Iterative Adaptive Approaches to MIMO Radar Imaging. IEEE J. Sel. Top. Signal Process. 2010, 4, 5–20. [Google Scholar] [CrossRef]
- Tan, X.; Roberts, W.; Li, J.; Stoica, P. Sparse Learning via Iterative Minimization with Application to MIMO Radar Imaging. IEEE Trans. Signal Process. 2011, 59, 1088–1101. [Google Scholar] [CrossRef]
- Naidu, P.S. Sensor Array Signal Processing, 2nd ed.; CRC Press, Inc.: Boca Raton, FL, USA, 2009; pp. 129–145. [Google Scholar]
- Cumming, I.G.; Wong, F.H. Digital Signal Processing of Synthetic Aperture Radar Data: Algorithms and Implementation; Artech House: Boston, MA, USA, 2005; pp. 44–47. [Google Scholar]
- Gubernatis, J.E.; Domany, E.; Krumhansl, J.A. The Born approximation in the theory of the scattering of elastic waves by flaws. J. Appl. Phys. 1977, 48, 2812–2819. [Google Scholar] [CrossRef]
- Lopez-Sanchez, J.M.; Fortuny-Guasch, J. 3-D radar imaging using range migration techniques. IEEE Trans. Antennas Propag. 2000, 48, 728–737. [Google Scholar] [CrossRef]
- Guo, Q.; Zhang, X.; Chang, T.; Cui, H.-L.; Tian, X. Three-dimensional bistatic array imaging using range migration algorithm. Electron. Lett. 2017, 53, 193–194. [Google Scholar] [CrossRef]
- Ahmed, S.S.; Schiessl, A.; Schmidt, L. A Novel Fully Electronic Active Real-Time Imager Based on a Planar Multistatic Sparse Array. IEEE Trans. Microw. Theory Tech. 2011, 59, 3567–3576. [Google Scholar] [CrossRef]
- Ahmed, S.S.; Schiessl, A.; Gumbmann, F.; Tiebout, M.; Methfessel, S.; Schmidt, L. Advanced Microwave Imaging. IEEE Microw. Mag. 2012, 13, 26–43. [Google Scholar] [CrossRef]
- Zhuge, X.; Yarovoy, A.G. Sparse multiple-input multiple-output arrays for high-resolution near-field ultra-wideband imaging. IET Microw. Antennas Propag. 2011, 5, 1552–1562. [Google Scholar] [CrossRef]
- Zhang, B.; Pi, Y.; Min, R. A near-field 3D circular Sar imaging technique based on spherical wave decomposition. Prog. Electromagn. Res. 2013, 141, 327–346. [Google Scholar] [CrossRef]
- Gao, J.; Qin, Y.; Deng, B.; Wang, H.; Li, X. A Novel Method for 3-D Millimeter-Wave Holographic Reconstruction Based on Frequency Interferometry Techniques. IEEE Trans. Microw. Theory Tech. 2018, 66, 1579–1596. [Google Scholar] [CrossRef]















| fc | B | LxR | ||
|---|---|---|---|---|
| 33 GHz | 6 GHz | 0.3 m | 0.3 m | 0.006 m |
| Algorithm | PLSR (dB) | ISLR (dB) |
|---|---|---|
| The proposed algorithm (A) | −21.6209 | −17.4170 |
| Enhanced algorithm (A) | −16.5958 | −13.7017 |
| BP algorithm (A) | −21.6414 | −17.3811 |
| The proposed algorithm (B) | −20.5030 | −16.1217 |
| BP algorithm (B) | –20.4073 | –16.0615 |
| The Main Operating | Calculated Quantities |
|---|---|
| Algorithm | Time Cost |
|---|---|
| The proposed algorithm (A) | 53.4809 s |
| Enhanced algorithm (A) | 6.4273 s |
| The proposed algorithm (B) | 39.4707 s |
| BP algorithm (B) | 2820.4890 s |
| Algorithm | Time Cost |
|---|---|
| The proposed algorithm (C) | 270.6647 s |
| Enhanced algorithm (C) | 45.6625 s |
| The proposed algorithm (D) | 228.3791 s |
| BP algorithm (D) | 25075.1153 s |
© 2020 by the authors. Licensee MDPI, Basel, Switzerland. This article is an open access article distributed under the terms and conditions of the Creative Commons Attribution (CC BY) license (http://creativecommons.org/licenses/by/4.0/).
Share and Cite
Wang, F.; Deng, B.; Yang, Q.; Wang, H.; Zhang, Y. A Fast 3D Near Range Imaging Algorithm for a Scanning Sparse MIMO Array in the Millimeter Band. Sensors 2020, 20, 4701. https://doi.org/10.3390/s20174701
Wang F, Deng B, Yang Q, Wang H, Zhang Y. A Fast 3D Near Range Imaging Algorithm for a Scanning Sparse MIMO Array in the Millimeter Band. Sensors. 2020; 20(17):4701. https://doi.org/10.3390/s20174701
Chicago/Turabian StyleWang, Feifan, Bin Deng, Qi Yang, Hongqiang Wang, and Ye Zhang. 2020. "A Fast 3D Near Range Imaging Algorithm for a Scanning Sparse MIMO Array in the Millimeter Band" Sensors 20, no. 17: 4701. https://doi.org/10.3390/s20174701
APA StyleWang, F., Deng, B., Yang, Q., Wang, H., & Zhang, Y. (2020). A Fast 3D Near Range Imaging Algorithm for a Scanning Sparse MIMO Array in the Millimeter Band. Sensors, 20(17), 4701. https://doi.org/10.3390/s20174701

