Congestion Control and Traffic Differentiation for Heterogeneous 6TiSCH Networks in IIoT
Abstract
1. Introduction
- We introduce a congestion control approach to achieve load balancing and improve network performance in terms of packet delivery under heavy load conditions. In the proposed approach, a new joint routing metric is defined to select parent nodes considering queue occupancy along with the hop distance and link quality metrics.
- To further support the functionality of the above strategy, we propose a Trickle timer reset strategy to detect overloaded nodes and to react to congestion in a timely fashion while maintaining minimum network overhead.
- Moreover, we design a multi-queue model where each node uses three different queues corresponding to three traffic categories, which is the typical case in most IIoT scenarios. Each queue is given a transmission priority where packets from higher priority queues are transmitted first. In addition, we provide a stochastic mathematical model to formulate the average queue waiting time of the proposed multi-queue model.
- We evaluate the performance of the proposed work through extensive discrete-time simulations and conduct performance comparisons with existing work to demonstrate its effectiveness. The results show that our proposed framework achieves improved packet delivery and low queue losses under heavy load scenarios, as well as improved real-time performance of critical traffic.
2. Problem Statement and Related Work
2.1. Problem Statement
2.2. Related Work
3. The Proposed Congestion Control Mechanism
3.1. Detecting and Controlling Congestion
3.1.1. The HL-Criterion
3.1.2. The LB-Criterion
3.2. Exchanging the Queue Backlog Information
3.3. Modified Trickle Timer Algorithm
4. Multi-Queue Model and Priority-Based Transmission
4.1. The Multi-Queue Transmission Model
- T1: represents the safety-critical traffic that has the highest priority, e.g., fire alarms and emergency shutdown.
- T2: denotes the acyclic control traffic, which is often time critical. T2 has lower priority than T1, but higher priority than T3.
- T3: represents periodic monitoring traffic that is less critical and generated at predictable time instants, e.g., periodic temperature measurements. T3 has the lowest priority with relaxed timing requirements.
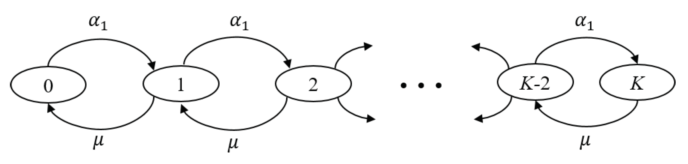
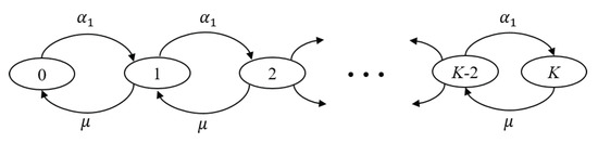
4.2. Mathematical Analysis
4.2.1. Average Queue Waiting Time in Q1
4.2.2. Average Queue Waiting Time in Q2
4.2.3. Average Queue Waiting Time in Q3
5. Performance Evaluations
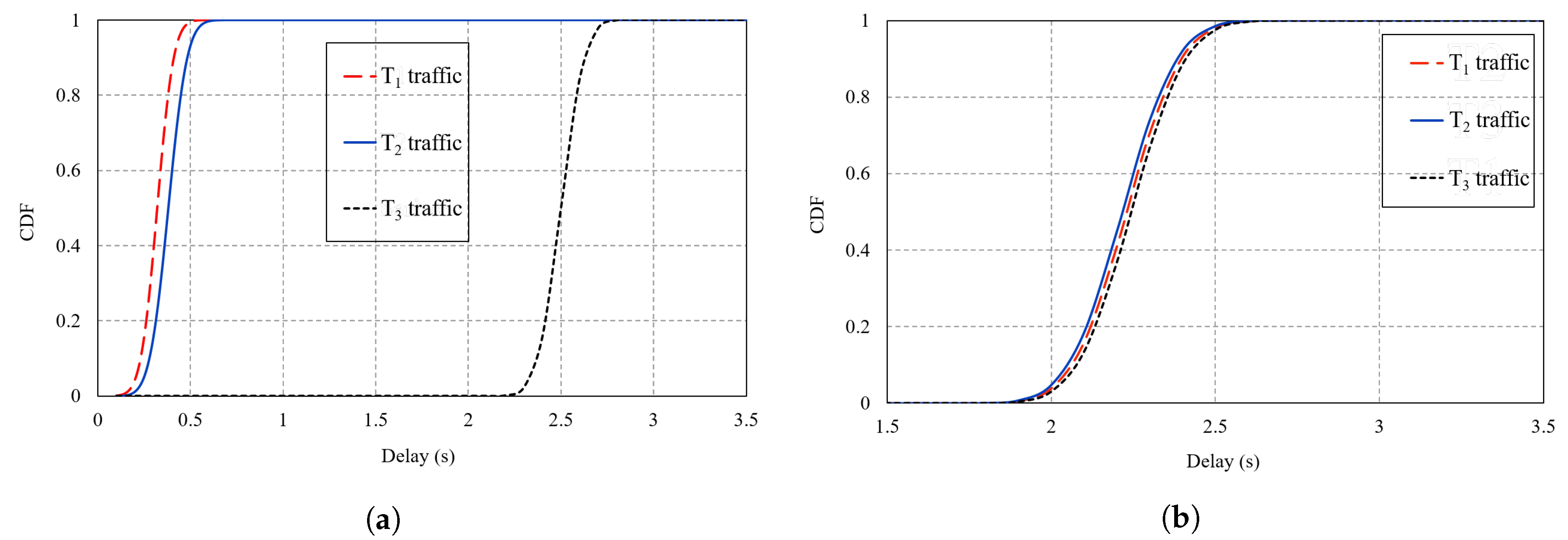
5.1. Single-Traffic Scenario
5.2. Multi-Traffic Scenario
6. Conclusions and Future Work
Author Contributions
Funding
Conflicts of Interest
References
- Sisinni, E.; Saifullah, A.; Han, S.; Jennehag, U.; Gidlund, M. Industrial internet of things: Challenges, opportunities, and directions. IEEE Trans. Ind. Inform. 2018, 14, 4724–4734. [Google Scholar] [CrossRef]
- Xu, H.; Yu, W.; Griffith, D.; Golmie, N. A Survey on industrial internet of things: A cyber-physical systems perspective. IEEE Access 2018, 6, 78238–78259. [Google Scholar] [CrossRef]
- Vallati, C.; Brienza, S.; Anastasi, G.; Das, S.K. Improving network formation in 6tisch networks. IEEE Trans. Mobile Comput. 2019, 18, 98–110. [Google Scholar] [CrossRef]
- Vitturi, S.; Zunino, C.; Sauter, T. Industrial communication systems and their future challenges: Next-generation ethernet, iiot, and 5g. Proc. IEEE 2019, 107, 944–961. [Google Scholar] [CrossRef]
- Karaagac, A.; Haxhibeqiri, J.; Moerman, I.; Hoebeke, J. Time-critical communication in 6TiSCH networks. In Proceedings of the 2018 IEEE Wireless Communications and Networking Conference Workshops (WCNCW), Barcelona, Spain, 15–18 April 2018; pp. 161–166. [Google Scholar]
- Winter, T.; Thubert, P.; Brandt, A.; Hui, J.; Kelsey, R.; Levis, P.; Pister, K.; Struik, R.; Vasseur, J.; Alexander, R. RPL: IPv6 Routing Protocol for Low-Power and Lossy Networks. Available online: https://tools.ietf.org/html/rfc6550 (accessed on 11 May 2020).
- Ghaleb, B.; Al-Dubai, A.Y.; Ekonomou, E.; Alsarhan, A.; Nasser, Y.; Mackenzie, L.M.; Boukerche, A. A survey of limitations and enhancements of the Ipv6 routing protocol for low-power and lossy networks: A focus on core operations. IEEE Commun. Surv. Tutor. 2019, 21, 1607–1635. [Google Scholar] [CrossRef]
- Thubert, P. Objective Function Zero for the Routing Protocol for Low-Power and Lossy Networks (RPL). Available online: https:tools.ietf.org/html/rfc6552 (accessed on 11 May 2020).
- Gnawali, O.; Levis, P. The Minimum Rank with Hysteresis Objective Function. Available online: https://tools.ietf.org/html/rfc6719 (accessed on 11 May 2010).
- Levis, P.; Clausen, T.; Hui, J.; Gnawali, O.; Ko, J. The Trickle Algorithm. Available online: https://tools.ietf.org/html/rfc6206 (accessed on 20 May 2020).
- Lim, C. A survey on congestion control for RPL-based wireless sensor networks. Sensors 2019, 19, 2567. [Google Scholar] [CrossRef] [PubMed]
- Farag, H.; Sisinni, E.; Gidlund, M.; Österberg, P. Priority-aware wireless fieldbus protocol for mixed-criticality industrial wireless sensor networks. IEEE Sens. J. 2019, 19, 2767–2780. [Google Scholar] [CrossRef]
- Kim, H.; Im, H.; Lee, M.; Paek, J.; Bahk, S. A measurement study of TCP over RPL in low-power and lossy networks. J. Commun. Netw. 2015, 17, 647–655. [Google Scholar] [CrossRef]
- Tahir, Y.; Yang, S.; McCann, J. BRPL: Backpressure RPL for high-throughput and mobile IoTs. IEEE Trans. Mob. Comput. 2018, 17, 29–43. [Google Scholar] [CrossRef]
- Capone, S.; Brama, R.; Accettura, N.; Striccoli, D.; Boggia, G. An energy efficient and reliable composite metric for RPL organized networks. In Proceedings of the 2014 12th IEEE International Conference on Embedded and Ubiquitous Computing, Milano, Italy, 26–28 August 2014; pp. 178–184. [Google Scholar]
- Zhao, M.; Ho, I.W.; Chong, P.H.J. An energy-efficient region-based RPL routing protocol for low-power and lossy networks. IEEE Internet Things J. 2016, 3, 1319–1333. [Google Scholar] [CrossRef]
- Farag, H.; Gidlund, M.; Österberg, P. A delay-bounded MAC protocol for mission- and time-critical applications in industrial wireless sensor networks. IEEE Sens. J. 2018, 18, 2607–2616. [Google Scholar] [CrossRef]
- Shen, W.; Zhang, T.; Barac, F.; Gidlund, M. PriorityMAC: A priority- enhanced MAC protocol for critical traffic in industrial wireless sensor and actuator networks. IEEE Trans. Ind. Inform. 2014, 10, 824–835. [Google Scholar] [CrossRef]
- Zheng, T.; Gidlund, M.; Åkerberg, J. WirArb: A new mac protocol for time critical industrial wireless sensor network applications. IEEE Sens. J. 2016, 16, 2127–2139. [Google Scholar] [CrossRef]
- Lall, S.; Alfa, A.S.; Maharaj, B.T. The role of queuing theory in the design and analysis of wireless sensor networks: An insight. In Proceedings of the 2016 IEEE 14th International Conference on Industrial Informatics (INDIN), Poitiers, France, 19–21 July 2016; pp. 1191–1194. [Google Scholar]
- Qiu, T.; Zheng, K.; Han, M.; Chen, C.L.P.; Xu, M. A data-emergency-aware scheduling scheme for internet of things in smart cities. IEEE Trans. Ind. Inform. 2018, 14, 2042–2051. [Google Scholar] [CrossRef]
- Nasser, N.; Karim, L.; Taleb, T. Dynamic multilevel priority packet scheduling scheme for wireless sensor network. IEEE Trans. Wirel. Commun. 2013, 12, 1448–1459. [Google Scholar] [CrossRef]
- Lee, E.M.; Kashif, A.; Lee, D.H.; Kim, I.T.; Park, M.S. Location based multi-queue scheduler in wireless sensor network. In Proceedings of the 2010 The 12th International Conference on Advanced Communication Technology (ICACT), Phoenix Park, Korea, 7–10 February 2010; Volume 1, pp. 551–555. [Google Scholar]
- Bhandari, S.; Sharma, S.K.; Wang, X. Latency minimization in wireless IoT using prioritized channel access and data aggregation. In Proceedings of the GLOBECOM 2017—2017 IEEE Global Communications Conference, Singapore, 4–8 December 2017; pp. 1–6. [Google Scholar]
- Ha, M.; Kwon, K.; Kim, D.; Kong, P. Dynamic and distributed load balancing scheme in multi-gateway based 6LoWPAN. In Proceedings of the 2014 IEEE International Conference on Internet of Things (iThings), Taipei, Taiwan, 1–3 Septembar 2014; pp. 87–94. [Google Scholar]
- Al-Kashoash, H.A.A.; Hafeez, M.; Kemp, A.H. Congestion control for 6LoWPAN networks: A game theoretic framework. IEEE Internet Things J. 2017, 4, 760–771. [Google Scholar] [CrossRef]
- Al-Kashoash, H.A.A.; Hafeez, M.; Kemp, A.H. Congestion control in wireless sensor networks by hybrid multi-objective optimization algorithm. Comput. Netw. 2018, 138, 90–107. [Google Scholar]
- Al-Kashoash, H.A.A.; Amer, H.M.; Mihaylova, L.; Kemp, A.H. Optimization-based hybrid congestion alleviation for 6LoWPAN networks. IEEE Internet Things J. 2017, 4, 2070–2081. [Google Scholar] [CrossRef]
- Lodhi, M.A.; Rehman, A.; Khan, M.M.; Hussain, F.B. Multiple path RPL for low power lossy networks. In Proceedings of the 2015 IEEE Asia Pacific Conference on Wireless and Mobile (APWiMob), Bandung, Indonesia, 27–29 August 2015; pp. 279–284. [Google Scholar]
- Bhandari, K.S.; Hosen, A.S.M.S.; Cho, G.H. CoAR: Congestion-aware routing protocol for low power and lossy networks for IoT applications. Sensors 2018, 18, 3838. [Google Scholar] [CrossRef] [PubMed]
- Coladon, T.; Vučinić, M.; Tourancheau, B. Multiple redundancy constants with Trickle. In Proceedings of the Annual IEEE International Symposium on Personal, Indoor and Mobile Radio Communications, Hong Kong, China, 30 August–2 September 2015; pp. 1951–1956. [Google Scholar]
- Vučinić, M.; Król, M.; Jonglez, B.; Coladon, T.; Tourancheau, B. Trickle-D: High fairness and low transmission load with dynamic redundancy. IEEE Internet Things J. 2017, 4, 1477–1488. [Google Scholar] [CrossRef]
- Vasseur, J.; Kim, M.; Pister, K.; Dejean, N.; Barthel, D. Routing Metrics Used for Path Calculation in Low-Power and Lossy Networks. Available online: https://tools.ietf.org/html/rfc6551 (accessed on 20 May 2020).
- Hou, J.; Rahul, J.; Luo, Z. Optimization of Parent-Node Selection in RPL-Based Networks. Available online: https://www.ietf.org/archive/id/draft-hou-roll-RPL-parent-selection-00.t (accessed on 20 May 2020).
- Giles, H.F.; Wagner, G.R.; Mount, E.M. Extrusion: The Definitive Processing Guide and Handbook; William Andrew: Oxford, UK, 2014. [Google Scholar]
- Rauwendaal, C. Understanding Extrusion; Hanser: Cincinnati, OH, USA, 2010. [Google Scholar]
- Buttazzo, G.C. Hard rEal-Time Computing Systems: Predictable Scheduling Algorithms and Applications; Springer: New York, NY, USA, 2011. [Google Scholar]
- Rom, R.; Sidi, M. Multiple Access protocols: Performance and Analysis; Springer: New York, NY, USA, 1989. [Google Scholar]
- Kleinrock, L. Queueing Systems Volume 1: Theory; Wiley: Hoboken, NJ, USA, 1975. [Google Scholar]
- Kleinrock, L. Queueing Systems Volume 2: Computer Applications; Wiley: Hoboken, NJ, USA, 1976. [Google Scholar]
- Miranda, J.; Abrishambaf, R.; Gomes, T.; Gonçalves, P.; Cabral, J.; Tavares, A.; Monteiro, J. Path loss exponent analysis in Wireless Sensor Networks: Experimental evaluation. In Proceedings of the 2013 11th IEEE International Conference on Industrial Informatics (INDIN), Bochum, Germany, 29–31 July 2013; pp. 54–58. [Google Scholar]
- Sisinni, E.; Tramarin, F. 9—Isochronous wireless communication system for industrial automation. In Industrial Wireless Sensor Networks; Woodhead Publishing: Cambridge, UK, 2016; pp. 167–188. [Google Scholar] [CrossRef]
- Åkerberg, J.; Gidlund, M.; Björkman, M. Future research challenges in wireless sensor and actuator networks targeting industrial automation. In Proceedings of the 2011 9th IEEE International Conference on Industrial Informatics, Caparica, Lisbon, 26–29 July 2011; pp. 410–415. [Google Scholar]


















| Parameter | Value |
|---|---|
| Network size | 30 nodes |
| Propagation model | Shadowing (log-normal) |
| Standard deviation | 14 dB |
| Deployment area | 200 × 200 |
| Transmission range | 30 |
| Data rate | 250 / |
| Packet length | 100 B |
| Slotframe length | 200 slots |
| Time slot duration | 10 |
| No. of channels | 4 |
| Output buffer size | 10 packets |
| No. of retransmissions | 3 |
| 3 | |
| 0.25 | |
| 0.5 | |
| 0.5 | |
| m | 4 |
© 2020 by the authors. Licensee MDPI, Basel, Switzerland. This article is an open access article distributed under the terms and conditions of the Creative Commons Attribution (CC BY) license (http://creativecommons.org/licenses/by/4.0/).
Share and Cite
Farag, H.; Österberg, P.; Gidlund, M. Congestion Control and Traffic Differentiation for Heterogeneous 6TiSCH Networks in IIoT. Sensors 2020, 20, 3508. https://doi.org/10.3390/s20123508
Farag H, Österberg P, Gidlund M. Congestion Control and Traffic Differentiation for Heterogeneous 6TiSCH Networks in IIoT. Sensors. 2020; 20(12):3508. https://doi.org/10.3390/s20123508
Chicago/Turabian StyleFarag, Hossam, Patrik Österberg, and Mikael Gidlund. 2020. "Congestion Control and Traffic Differentiation for Heterogeneous 6TiSCH Networks in IIoT" Sensors 20, no. 12: 3508. https://doi.org/10.3390/s20123508
APA StyleFarag, H., Österberg, P., & Gidlund, M. (2020). Congestion Control and Traffic Differentiation for Heterogeneous 6TiSCH Networks in IIoT. Sensors, 20(12), 3508. https://doi.org/10.3390/s20123508

