Active Hyperspectral Sensor Based on MEMS Fabry-Pérot Interferometer
Abstract
1. Introduction
2. Materials and Methods
2.1. Instrument Design
2.2. Supercontinuum Generation
2.3. Fabry-PérotInterferometer
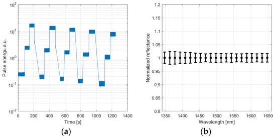
3. Results
3.1. Supercontinuum Propagation
3.2. Receiver Response
3.3. Field Trials
4. Discussions
Author Contributions
Funding
Acknowledgments
Conflicts of Interest
References
- Lu, G.; Fei, B. Medical hyperspectral imaging: A review. J. Biomed. Opt. 2014, 19, 010901. [Google Scholar] [CrossRef] [PubMed]
- Feng, Y.Z.; Sun, D.W. Application of hyperspectral imaging in food safety inspection and control: A review. Crit. Rev. Food. Sci. 2012, 52, 1039–1058. [Google Scholar] [CrossRef] [PubMed]
- Adão, T.; Hruška, J.; Pádua, L.; Bessa, J.; Peres, E.; Morais, R.; Sousa, J. Hyperspectral imaging: A review on UAV-based sensors, data processing and applications for agriculture and forestry. Remote Sens. 2017, 9, 1110. [Google Scholar] [CrossRef]
- Howle, C.R.; Stothard, D.J.; Rae, C.F.; Ross, M.; Truscott, B.S.; Dyer, C.D.; Dunn, M.H. Active hyperspectral imaging system for the detection of liquids. In Proceedings of the SPIE Defense and Security Symposium, Orlando, FL, USA, 16–20 March 2008; Fountain, A.W., Patrick, J., Gardner, P.J., Eds.; SPIE: Washington, DC, USA, 2008. [Google Scholar]
- Boudreau, S.; Levasseur, S.; Perilla, C.; Roy, S.; Genest, J. Chemical detection with hyperspectral lidar using dual frequency combs. Opt. Express 2013, 21, 7411–7418. [Google Scholar] [CrossRef] [PubMed]
- Dudley, J.M. Supercontinuum Generation in Optical Fibers; Cambridge University Press: Cambridge, UK, 2010. [Google Scholar]
- Silva, F.; Austin, D.R.; Thai, A.; Baudisch, M.; Hemmer, M.; Faccio, D.; Couairon, A.; Biegert, J. Multi-octave supercontinuum generation from mid-infrared filamentation in a bulk crystal. Nat. Commun. 2012, 3, 807. [Google Scholar] [CrossRef]
- Manninen, A.; Kääriäinen, T.; Parviainen, T.; Buchter, S.; Heiliö, M.; Laurila, T. Long distance active hyperspectral sensing using high-power near-infrared supercontinuum light source. Opt. Express 2014, 22, 7172–7177. [Google Scholar] [CrossRef] [PubMed]
- Alexander, V.V.; Shi, Z.; Islam, M.N.; Ke, K.; Kalinchenko, G.; Freeman, M.J.; Ifarraguerri, A.; Meola, J.; Absi, A.; Leonard, J.; et al. Field trial of active remote sensing using a high-power short-wave infrared supercontinuum laser. Appl. Opt. 2013, 52, 6813–6823. [Google Scholar] [CrossRef] [PubMed]
- Islam, M.N.; Freeman, M.J.; Peterson, L.M.; Ke, K.; Ifarraguerri, A.; Bailey, C.; Wager, M.; Anthony, A.; Leonard, J.; Baker, H.; et al. Field tests for round-trip imaging at a 1.4 km distance with change detection and ranging using a short-wave infrared super-continuum laser. Appl. Opt. 2016, 55, 1584–1602. [Google Scholar] [CrossRef] [PubMed]
- Orchard, D.A.; Turner, A.J.; Michaille, L.; Ridley, K.R. White light lasers for remote sensing. In Proceedings of the SPIE Security + Defense, Wales, UK, 15–18 September 2008; David, H., Titterton, D.H., Mark, A., Richardson, M.A., Eds.; SPIE: Washington, DC, USA, 2008. [Google Scholar]
- Nischan, M.; Joseph, R.; Libby, J. Active spectral imaging. Linc. Lab. 2003, 14, 131–144. [Google Scholar]
- Hakala, T.; Suomalainen, J.; Kaasalainen, S.; Chen, Y. Full waveform hyperspectral LiDAR for terrestrial laser scanning. Opt. Express 2012, 20, 7119–7127. [Google Scholar] [CrossRef] [PubMed]
- Li, W.; Sun, G.; Niu, Z.; Gao, S.; Qiao, H. Estimation of leaf biochemical content using a novel hyperspectral full-waveform LiDAR system. Remote Sens. Lett. 2014, 5, 693–702. [Google Scholar] [CrossRef]
- Powers, M.A.; Davis, C.C. Spectral LADAR: Active range-resolved three-dimensional imaging spectroscopy. Appl. Opt. 2012, 51, 1468–1478. [Google Scholar] [CrossRef] [PubMed]
- Du, L.; Gong, W.; Shi, S.; Yang, J.; Sun, J.; Zhu, B.; Song, S. Estimation of rice leaf nitrogen contents based on hyperspectral LIDAR. Int. J. Appl. Earth Obs. 2016, 44, 136–143. [Google Scholar] [CrossRef]
- Rissanen, A.; Guo, B.; Saari, H.; Näsilä, A.; Mannila, R.; Akujärvi, A.; Ojanen, H. VTT’s Fabry-Perot interferometer technologies for hyperspectral imaging and mobile sensing applications. In Proceedings of the SPIE OPTO, San Francisco, CA, USA, 30 January–1 February 2017; Piyawattanametha, W., Park, Y., Eds.; SPIE: Washington, DC, USA, 2017. [Google Scholar]
- Perot, A.; Fabry, C. On the application of interference phenomena to the solution of various problems of spectroscopy and metrology. Astrophys. J. 1899, 9, 87. [Google Scholar] [CrossRef]
- Akujärvi, A.; Guo, B.; Mannila, R.; Rissanen, A. MOEMS FPI sensors for NIR-MIR microspectrometer applications. In Proceedings of the SPIE OPTO, San Francisco, CA, USA, 13–18 February 2016; Piyawattanametha, W., Park, Y., Eds.; SPIE: Washington, DC, USA, 2016. [Google Scholar]
- Rissanen, A.; Akujärvi, A.; Antila, J.E.; Blomberg, M.; Saari, H.K. MOEMS miniature spectrometers using tuneable Fabry-Perot interferometers. J. Micro Nanolithogr. MEMS MOEMS 2012, 11, 023003. [Google Scholar] [CrossRef]
- Rissanen, A.; Mannila, R.; Tuohiniemi, M.; Akujärvi, A.; Antila, J. Tunable MOEMS Fabry-Perot interferometer for miniaturized spectral sensing in near-infrared. In Proceedings of the SPIE MOEMS-MEMS, San Francisco, CA, USA, 3–6 February 2014; Piyawattanametha, W., Park, Y., Eds.; SPIE: Washington, DC, USA, 2014. [Google Scholar]
- Jaanson, P.; Vaigu, A.; Kääriäinen, T.; Mannila, R.; Lehtomäki, V.; Manninen, A. A continuously tunable NIR laser and its applications in material classification. In Proceedings of the SPIE Remote Sensing, Berlin, Germany, 10–13 September 2018; Singh, U.N., Tzeremes, G.D., Eds.; SPIE: Washington, DC, USA, 2018. [Google Scholar]
- Werle, P.O.; Mücke, R.; Slemr, F. The limits of signal averaging in atmospheric trace-gas monitoring by tunable diode-laser absorption spectroscopy (TDLAS). Appl. Phys. 1993, 5, 131–139. [Google Scholar] [CrossRef]









© 2019 by the authors. Licensee MDPI, Basel, Switzerland. This article is an open access article distributed under the terms and conditions of the Creative Commons Attribution (CC BY) license (http://creativecommons.org/licenses/by/4.0/).
Share and Cite
Kääriäinen, T.; Jaanson, P.; Vaigu, A.; Mannila, R.; Manninen, A. Active Hyperspectral Sensor Based on MEMS Fabry-Pérot Interferometer. Sensors 2019, 19, 2192. https://doi.org/10.3390/s19092192
Kääriäinen T, Jaanson P, Vaigu A, Mannila R, Manninen A. Active Hyperspectral Sensor Based on MEMS Fabry-Pérot Interferometer. Sensors. 2019; 19(9):2192. https://doi.org/10.3390/s19092192
Chicago/Turabian StyleKääriäinen, Teemu, Priit Jaanson, Aigar Vaigu, Rami Mannila, and Albert Manninen. 2019. "Active Hyperspectral Sensor Based on MEMS Fabry-Pérot Interferometer" Sensors 19, no. 9: 2192. https://doi.org/10.3390/s19092192
APA StyleKääriäinen, T., Jaanson, P., Vaigu, A., Mannila, R., & Manninen, A. (2019). Active Hyperspectral Sensor Based on MEMS Fabry-Pérot Interferometer. Sensors, 19(9), 2192. https://doi.org/10.3390/s19092192

