Next Article in Journal
Application of the TDR Soil Moisture Sensor for Terramechanical Research
Next Article in Special Issue
Facile Chemical Bath Synthesis of SnS Nanosheets and Their Ethanol Sensing Properties
Previous Article in Journal
Fuzzy Logic Type-2 Based Wireless Indoor Localization System for Navigation of Visually Impaired People in Buildings
Previous Article in Special Issue
Thermal Wave Scattering by an Elliptic Subsurface Hole Buried in a Block, Based on the Non-Fourier Equation
 
 
Font Type:
Arial Georgia Verdana
Font Size:
Aa Aa Aa
Line Spacing:
Column Width:
Background:
Article

Relaxation-Related Piezoelectric and Dielectric Behavior of Bi(Mg,Ti)O3–PbTiO3 Ceramic

School of Electrical and Electronics Engineering, Chung-Ang University, Heukseok-Ro 84, Seoul 06974, Korea
*
Author to whom correspondence should be addressed.
Sensors 2019, 19(9), 2115; https://doi.org/10.3390/s19092115
Submission received: 1 April 2019 / Revised: 26 April 2019 / Accepted: 1 May 2019 / Published: 7 May 2019
(This article belongs to the Special Issue Smart Structures and Materials for Sensor Applications)

Abstract

Piezoelectric and dielectric materials have attracted much attention for their functional device applications. Despite its excellent piezoelectric properties, the content of lead in piezoelectric materials should be restricted to prevent future environmental problems. Therefore, reduced lead content in piezoelectric materials with similar piezoelectric properties is favorable. In our research, piezoelectric materials with decreased lead content will be studied and discussed. Even though the lead content is decreased in Bi(Mg0.5Ti0.5)O3–PbTiO3 ceramics, they show piezoelectric properties similar to that of lead zirconate titanate (PZT)-based materials. We believe this high piezoelectric behavior is related to the relaxation behavior of Bi(Mg0.5Ti0.5)O3–PbTiO3 (BMT–PT) ceramics. In this study, 0.62Bi(Mg0.5Ti0.5)O3–0.38PbTiO3 ceramics were prepared by the conventional sintering process. These piezoelectric ceramics were sintered at varying temperatures of 975–1100 °C. Crystallinity and structural properties were analyzed and discussed. X-ray diffraction pattern analysis demonstrated that the optimal sintering temperature was around 1075 °C. A very high Curie temperature of 447 °C was recorded for 0.62BMT–0.38PT ceramics sintered at 1075 °C. For the first time, we found that the origin of the high Curie temperature, d33, and the dielectric constant is the relaxation behavior of different dipoles in 0.62BMT–0.38PT ceramics.

Graphical Abstract

1. Introduction

Since the discovery of Pb(Zr,Ti)O3 (PZT) in the 1950s, it has been applied in piezoelectric transducers, actuators, and sensors because of its excellent piezoelectric properties [1]. PZT is also important in new high-precision switchable measurement methods, where dielectric properties are highly important. These methods compensate for environmental effects, voltage offset, frequency drift, and temperature influence, as previously reported in [2,3,4]. Due to its outstanding piezoelectric and mechanical properties, ceramic-based PZT actuators have received a great deal of attention in the industry. However, it is desirable to use materials with a low lead content to avoid environmental problems [5,6,7,8]. Therefore, there is a great need to discover piezoelectric materials that have a low lead content while still having favorable characteristics like those of PZT ceramics.
Recently, BiFeO3-based (BF) perovskite materials have been intensively investigated, owing to their complex electric properties resulting from ferromagnetism and ferroelectricity [9,10,11]. For high temperature device applications, BF-based materials, (1 − x)BiMeO3–xPbTiO3 (Me3+ = Fe, Sc, Mg, In, Y, Yb, Ga), are attractive. These materials contain metallic components in a distorted perovskite structure, which has a higher Curie temperature between the ferroelectric and paraelectric states than that of PZT ceramics [12]. In particular, bismuth-based perovskite system Bi(Mg0.5Ti0.5)O3–PbTiO3 (BMT–PT) ceramics are expected to have a higher Curie temperature with relative polarization and piezoelectric charge coefficient. Since the origin of the BiMeO3–PTiO3 system is multiferroic material, it is expected to have weaker piezoelectric and dielectric properties than the PZT-based system. Despite the higher Curie temperature than that of the PZT system, lower piezoelectric and dielectric properties can be an obstacle for device applications. However, as a lead-containing material, BMT–PT piezoelectric material has similarly excellent piezoelectric properties as PZT, even though it has a low level of lead compared to PZT [13]. The multiferroic and relatively weak ferroelectric properties in the BiMeO3–PTiO3 system, which is usually observed in the electric field-dependent polarization process, can be the main obstacles for its future piezoelectric applications. However, as we have mentioned before, a relatively high piezoelectric charge coefficient of more than 200 pC/N with a higher Curie temperature range over 400 °C can improve its prospects for future multifunctional applications, including actuators and sensors.
In this study, we will prepare a BMT–PT system by optimizing the sintering temperature. The main advantages of a BMT–PT piezoelectric system are summarized in Table 1. As seen in Table 1, this system has high piezoelectric properties, a high Curie temperature, and a moderate price. However, as a representative lead content-reduced material, BiScO3–PbTiO3 also has a high piezoelectric coefficient and a high Curie temperature, but this material is very expensive and not feasible for application in electronic devices. The optimized composition of the BMT–PT system was selected through the phase diagram, and then the morphotropic phase boundary (MPB) was extracted to achieve the maximum piezoelectric properties [14]. In our assumption, we believe that 0.62Bi(Mg0.5Ti0.5)O3–0.38PbTiO3 ceramics have a mixture of rhombohedra and tetragonal structures. This assumption will be tested and discussed after X-ray diffraction (XRD) analysis. Therefore, the composition of 0.62Bi(Mg0.5Ti0.5)O3–0.38PbTiO3 was selected in this experiment [15]. Crystalline properties, including XRD patterns, and electrical properties, including piezoelectric and dielectric properties, will be investigated and discussed.

2. Materials and Methods

The 0.62Bi(Mg0.5Ti0.5)O3–0.38PbTiO3 (0.62BMT–0.38PT) ceramics were prepared by a standard ceramic sintering technique using the blended oxides method. The raw materials, Bi2O3, 4MgCO3∙Mg(OH)2∙5H2O, TiO2, and PbO, were weighed and combined by ball-milling with a ZrO2 ball in ethyl alcohol for 24 h. The blended powders were calcined at 900 °C for 2 h in a furnace. The desiccated powders were blended with polyvinyl alcohol (PVA) and compressed into a disk with a diameter of 10 mm and thickness of 1 mm. The sample was then sintered at various temperatures ranging from 975 to 1100 °C (975, 1000, 1025, 1050, 1075, and 1100 °C) for 2 h in a sealed alumina crucible to avoid loss of Bi2O3 and PbO due to sublimation. Silver electrodes were formed on both sides of the ceramic plates by screen printing. The poling process was performed in a silicon oil bath at 100 °C with an applied electric field of 1 kV/mm. The crystalline properties were analyzed by XRD using a Cu Kα radiation source (Bruker ARS), and the electric properties were analyzed by an HP 4294 impedance analyzer. Field emission scanning electron microscopy (FESEM) was used to examine the microstructure. To characterize its piezoelectric and dielectric properties, the piezoelectric charge coefficient and electric field-dependent polarization processes were performed, in this experiment, by employing the Sawyer–Tower method with 0.1 Hz.

3. Results and Discussion

Figure 1 shows the XRD patterns for the 0.62BMT–0.38PT systems, which were sintered at various temperatures. The specimens were sintered from 975 to 1100 °C in steps of 25 °C. Figure 2 displays the (001) XRD peaks of 0.62BMT–0.38PT piezoelectric ceramics according to the sintering temperature range. As shown in Figure 1 and Figure 2, the XRD patterns show very weak variation in peak intensities and positions. This means that the degree of crystallization and d-space of lattice parameters were slightly changed after the sintering process. As observed in Figure 2, the (001) peak position of 0.62BMT–0.38PT ceramics were shifted to lower angles as the sintering temperature increased. It means that the lattice parameter c increased as the sintering temperature increased. Furthermore, it seems that 0.62BMT–0.38PT piezoelectric systems have good crystalline structure without a pyrochlore phase.
Figure 3 depicts the degree of crystallization for the (001) direction in the 0.62BMT–0.38PT ceramic. The crystallization degree of (001) approached or even exceeded 10% at the sintering temperature of 1075 °C. This means that the distorted perovskite structure of 0.62BMT–0.38PT ceramics has a high degree of c-axis orientation as sintering temperature increases, which corresponds to the added thermal energy to form the crystalline structure. However, when the sintering temperature was increased beyond 1100 °C, the peak ratio of (001) decreased. We believe this maximum value of peak ratio (001) at 1075 °C and decreased peak ratio at 1100 °C are probably related with the crystallization degree. Therefore, we can argue that a sintering temperature of 1075 °C is the optimized sintering temperature owing to the increased (001) relative intensities.
Figure 4 shows the FESEM images for the 0.62BMT–0.38PT ceramics, which were sintered at various temperatures. As shown in the FESEM images, the grain size of 0.62BMT–0.38PT ceramics increased as the sintering temperature increased. At a sintering temperature of 1075 °C, 0.62BMT–0.38PT ceramics showed a large grain size with a dense structure. Due to this highly dense structure, 0.62BMT–0.38PT ceramics that were sintered at 1075 °C showed the highest piezoelectric and dielectric properties among the specimens. However, as the sintering temperature of 1100 °C was attained, the grain shape was distorted, and the size was decreased.
Figure 5 reveals the bulk and theoretical density of 0.62BMT–0.38PT ceramics depending on the sintering temperature. As the sintering temperature increased, the density increased up to 1075 °C and then decreased. This behavior is similar to that of grain size as observed in the FESEM images. As the sintering temperature increased, 0.62BMT–0.38PT ceramics became crystallized, therefore, the density was increased. However, as the sintering temperature was further increased up to 1100 °C, the density decreased. We believe that this decreased bulk density comes from the oversintered phase of 0.62BMT–0.38PT ceramics. It also seems that the bulk density of 0.62BMT–0.38PT ceramics correlated with the FESEM images, which is described in Figure 4.
Figure 6 shows the frequency-dependent dielectric permittivity of 0.62BMT–0.38PT ceramics from 1 kHz to 1 MHz. Clearly, 0.62BMT–0.38PT ceramics sintered at the 1075 °C showed the highest dielectric permittivity of 625 at 1 kHz, whereas those sintered at 975 °C showed the lowest dielectric permittivity of 480 at 1 kHz.
It seems that 0.62BMT–0.38PT ceramics have high dielectric permittivity ranges at room temperature. The solid lines indicate the simulation fitting from the measured samples with the power law. The power law of εr = Af−n was employed to fit dielectric relaxation behavior [21]. Ceramics of 0.62BMT–0.38PT sintered at 1075 °C showed the highest exponent of 0.219 among the specimens. Compared to other specimens, this means that the variance of dielectric permittivity for 0.62BMT–0.38PT ceramics sintered at 1075 °C has the highest exponent of 0.219 and highest dielectric permittivity of 625. The high exponent value of 0.219 from the power law equation means that many different dipoles were involved in the relaxation process with continuous freezing out of dipoles with increasing frequency range. Therefore, 0.62BMT–0.38PT piezoelectric ceramics showed rapid change in the dielectric constant when increasing the frequency range. Owing to this high relaxation behavior, 0.62BMT–0.38PT ceramics sintered at 1075 °C have the highest piezoelectric properties. The dielectric permittivity of 0.62BMT–0.38PT ceramics sintered at 1075 °C also have the highest dielectric permittivity values.
Figure 7 shows the electric field-dependent polarizations for 0.62BMT–0.38PT ceramics with different sintering temperatures. As the sintering temperature was increased, the polarization increased. In particular, 0.62BMT–0.38PT ceramics sintered at 1075 and 1100 °C showed higher ferroelectric properties compared to other specimens. It seems that the higher the sintering temperature, the larger the polarization behavior. In the case of the electric field-dependent polarization case, sintering temperature dependencies are more clearly observed.
Figure 8 shows the piezoelectric charge coefficient and electromechanical coupling coefficient of 0.62BMT–0.38PT ceramics depending on the sintering temperature range. The piezoelectric charge coefficient and electromechanical coupling coefficient of 0.62BMT–0.38PT ceramics sintered at 1075 °C showed the highest values of 240 pC/N and 47%, respectively. These high piezoelectric charge coefficient and electromechanical coupling coefficient coincided well with the dense behavior observed in FESEM images and bulk densities.
Figure 9 displays the piezoelectric voltage coefficient and figure of merit (FoM) of 0.62BMT–0.38PT ceramics. As shown in Figure 9, the highest value of the piezoelectric voltage coefficient of 41 × 10−3 Vm/N and FoM of 9.8 pm2/N were obtained for the 0.62BMT–0.38PT ceramics. Since the piezoelectric voltage coefficient was derived from the piezoelectric charge coefficient and dielectric constant, g33 = d33r, we can expect that the piezoelectric voltage coefficient of 0.62BMT–0.38PT ceramics sintered at 1075 °C has the highest values of 41 × 10−3 Vm/N and FoM of 9.8 pm2/N.
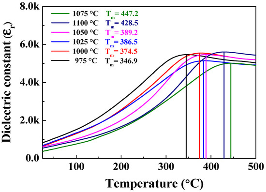
Figure 10 shows the temperature-dependent dielectric permittivity εr of the 0.62BMT–0.38PT ceramic sintered from 975 to 1100 °C. At sintering temperatures of 975, 1000, 1025, 1050, 1075, and 1100 °C, the Curie temperature was 346.9, 374.5, 386.5, 389.2, 447.2, and 428.5 °C, respectively. As the sintering temperature increased from 975 to 1075 °C, the Curie temperature increased from 346.9 to 447.2 °C. As the sintering temperature reached 1100 °C, the Curie temperature suddenly decreased. Compared to other specimens, BMT–PT ceramics sintered at 975 °C had the lowest Curie temperature of 346.9 °C, whereas those sintered at 1075 °C had the highest Curie temperature of 447.2 °C.

4. Conclusions

In this research, the piezoelectric and dielectric properties of 0.62BMT–0.38PT ceramics with different sintering temperatures were investigated and discussed. A very high Curie temperature of 447 °C was recorded for 0.62BMT–0.38PT ceramics sintered at 1075 °C. 0.62BMT–0.38PT piezoelectric ceramics have a reduced lead content and high piezoelectric charge coefficient of 237 pC/N and can, therefore, be used in piezoelectric applications where the environment is harsh. Even though 0.62BMT–0.38PT ceramics had a lower lead content compared to Pb(Zr0.5Ti0.5)O3-based conventional piezoelectric ceramics, 0.62BMT–0.38PT piezoelectric ceramics still have excellent piezoelectric and dielectric properties with a high Curie temperature. We believe that the high piezoelectric properties of 0.62BMT–0.38PT are related to relaxation behavior. We believe 0.62BMT–0.38PT ceramics, with their lower lead content, can act as alternative materials for lead-based piezoelectric materials. Reducing the lead content of piezoelectric materials is expected to help not only by preventing environmental pollution on Earth but, also, by being more useful as a piezoelectric material because of its excellent characteristics compared to lead-free piezoelectric material. For example, 0.62BMT–0.38PT ceramics can be applied in piezoelectric transducers or as a sintering aid, using ferroelectricity, that does not change at a high temperature.

Author Contributions

M.Y.P. performed the experiments and wrote the paper; J.-H.J. made some additional experiment and analysis and J.-H.K. analyzed experimental data and wrote the paper.

Funding

This research was supported by the MSIP, Korea, under the ITRC support program (IITP-2018-2014-1-00636) supervised by the IITP and supported by the Human Resources Development (No. 20184030202070) of the Korea Institute of Energy Technology Evaluation and Planning (KETEP) grant funded by the Korea government Ministry of Trade, Industry and Energy.

Conflicts of Interest

The authors declare no conflict of interest.

References

  1. Wang, L.; Song, T.K.; Lee, S.C.; Cho, J.H.; Sakka, Y. Effect of Bi(B)O3 perovskite substitution on enhanced tetragonality and ferroelectric transition temperature in Pb(Zr,Ti)O3 ceramics. Mater. Chem. Phys. 2011, 129, 322–325. [Google Scholar] [CrossRef]
  2. Matko, V.; Milanovic, M. Temperature-compensated capacitance-frequency converter with high resolution. Sens. Actuators A 2014, 220, 262–269. [Google Scholar] [CrossRef]
  3. Matko, V. Next Generation AT-Cut Quartz Crystal Sensing Devices. Sensors 2011, 11, 4474–4482. [Google Scholar] [CrossRef] [PubMed]
  4. Nie, J.; Liu, J.; Li, N.; Meng, X. Dew point measurement using dual quartz crystal resonator sensor. Sens. Actuators B 2017, 246, 792–799. [Google Scholar] [CrossRef]
  5. Li, J.-F.; Wang, K. Ferroelectric and Piezoelectric Properties of Fine-Grained Na0.5K0.5NbO3 Lead-Free Piezoelectric Ceramics Prepared by Spark Plasma Sintering. J. Am. Ceram. Soc. 2006, 89, 706–709. [Google Scholar] [CrossRef]
  6. Takenaka, T.; Nagata, H. Current status and prospects of lead-free piezoelectric ceramics. J. Eur. Ceram. Soc. 2005, 25, 2693–2700. [Google Scholar] [CrossRef]
  7. Baettig, P.; Schelle, C.F.; LeSar, R.; Waghmare, U.V.; Spaldin, N.A. Theoretical Prediction of New High-Performance Lead-Free Piezoelectric. Chem. Mater. 2005, 17, 1376–1380. [Google Scholar] [CrossRef]
  8. Saleem, M.; Hwan, L.D.; Kim, I.-S.; Kim, M.-S.; Maqbool, A.; Nisar, U.; Pervez, S.A.; Farooq, U.; Farooq, M.U.; Khalil, H.M.W.; et al. Revealing of Core Shell Effect on Frequency-Dependent Properties of Bi-based Relaxor/Ferroelectric Ceramic Composites. Sci. Rep. 2018, 8, 14146. [Google Scholar] [CrossRef] [PubMed]
  9. Yabuta, H.; Shimada, M.; Watanabe, T.; Hayashi, J.; Kubota, M.; Miura, K.; Fukui, T.; Fujii, I.; Wada, S. Microstructure of BaTiO3-Bi(Mg1/2Ti1/2)O3-BiFeO3 Piezoelectric Ceramics. Jpn. J. Appl. Phys. 2012, 51, 09LD04. [Google Scholar] [CrossRef]
  10. Leontsev, S.O.; Eitel, R.E. Dielectric and Piezoelectric Properties in Mn-Modified (1-x)BiFeO3-xBaTiO3 Ceramics. J. Am. Ceram. Soc. 2009, 92, 2957–2961. [Google Scholar] [CrossRef]
  11. Jiang, M.; Liu, X.; Chen, G.; Zhou, C. Dielectric and piezoelectric properties of LiSbO3 doped 0.995 K0.5Na0.5NbO3-0.005BiFeO3 piezoelectric ceramics. Mater. Lett. 2009, 63, 1262–1265. [Google Scholar] [CrossRef]
  12. Rai, R.; Kholkin, A.L.; Sharma, S. Multiferroic properties of BiFeO3 doped Bi(MgTi)O3-PbTiO3 ceramic system. J. Alloys Comps. 2010, 506, 815–819. [Google Scholar] [CrossRef]
  13. Kwon, Y.-H.; Ahn, J.-H.; Koh, J.-H. The Dielectric Properties of Bi(Mg,Ti)O3-PbTiO3 Ceramics. J. Nanosci. Nanotechnol. 2016, 16, 12927–12929. [Google Scholar] [CrossRef]
  14. Randall, C.A.; Eitel, R.; Jones, B.; Shrout, T.R. Investigation of a high Tc piezoelectric system: (1−x)Bi(Mg1/2Ti1/2)O3-(x)PbTiO3. J. Appl. Phys. 2014, 95, 3633–3639. [Google Scholar] [CrossRef]
  15. Zhang, Q.; Li, Z.; Li, F.; Xu, Z.; Yao, X. Temperature Dependence of Dielectric/Piezoelectric Properties of (1−x)Bi(Mg1/2Ti1/2)O3-xPbTiO3 Ceramics with an MPB Composition. J. Am. Ceram. Soc. 2010, 93, 3330–3334. [Google Scholar] [CrossRef]
  16. Zhao, H.; Hou, Y.; Yu, X.; Zheng, M.; Zhu, M. Construction of high Tc BiScO3-BiFeO3-PbTiO3 and its enhanced piezoelectric properties by sintering in oxygen atmosphere. J. Appl. Phys. 2018, 124, 194103. [Google Scholar] [CrossRef]
  17. Zhang, S.; Alberta, E.F.; Eitel, R.E.; Randall, C.A.; Shrout, T.R. Elastic, Piezoelectric, and Dielectric Characterization of Modified BiScO3-PbTiO3 Ceramics. IEEE Trans. Ultrason. Ferroelectr. Freq. Control 2005, 52, 2131–2139. [Google Scholar] [CrossRef] [PubMed]
  18. Qin, B.-Q.; Chen, Y.; Jiang, Y.; Jiang, Y.; Yue, X.; Xiao, D.; Zhu, J. Preparation and Characterization of (1−x)BiInO3-xPbTiO3 ceramics. In Proceedings of the 2007 Sixteenth IEEE International Symposium on the Applications of Ferroelectrics, Nara, Japan, 27–31 May 2007; pp. 616–617. [Google Scholar]
  19. Gao, F.; Hong, R.; Liu, J.; Li, Z.; Cheng, L.; Tian, C. Phase formation and characterization of high Curie temperature xBiYbO3–(1−x)PbTiO3 piezoelectric ceramics. J. Eur. Ceram. Soc. 2009, 29, 1687–1693. [Google Scholar]
  20. Jiang, S.; Zhu, Z.; Zhang, L.; Xiong, X.; Yi, J.; Zeng, Y.; Liu, W.; Wang, Q.; Han, K.; Zhang, G. Electrical properties of Bi(Ni1/2Ti1/2)O3–PbTiO3 high-TC piezoelectric ceramics fabricated by the microwave sintering process. Mater. Sci. Eng. B Solid State Mater. Adv. Technol. 2014, 179, 36–40. [Google Scholar] [CrossRef]
  21. Weron, K.; Stanislavsky, A.; Jurlewicz, A.; Meerschaert, M.M.; Scheffler, H.-P. Clustered continuous-time random walks: diffusion and relaxation consequences. Proc. R. Soc. A 2012, 468, 1615–1628. [Google Scholar] [CrossRef] [PubMed]
Figure 1. X-ray diffraction (XRD) patterns of Bi(Mg0.5Ti0.5)O3–PbTiO3 ceramics according to sintering temperature.
Figure 1. X-ray diffraction (XRD) patterns of Bi(Mg0.5Ti0.5)O3–PbTiO3 ceramics according to sintering temperature.
Sensors 19 02115 g001
Figure 2. XRD (001) peak shifts of Bi(Mg0.5Ti0.5)O3–PbTiO3 ceramics according to sintering temperature.
Figure 2. XRD (001) peak shifts of Bi(Mg0.5Ti0.5)O3–PbTiO3 ceramics according to sintering temperature.
Sensors 19 02115 g002
Figure 3. Peak ratio (001) of Bi(Mg0.5Ti0.5)O3–PbTiO3 ceramics according to sintering temperature.
Figure 3. Peak ratio (001) of Bi(Mg0.5Ti0.5)O3–PbTiO3 ceramics according to sintering temperature.
Sensors 19 02115 g003
Figure 4. Field-emission scanning electron microscopy (FESEM) images of Bi(Mg0.5Ti0.5)O3–PbTiO3 according to sintering temperature.
Figure 4. Field-emission scanning electron microscopy (FESEM) images of Bi(Mg0.5Ti0.5)O3–PbTiO3 according to sintering temperature.
Sensors 19 02115 g004
Figure 5. Bulk density and relative density of Bi(Mg0.5Ti0.5)O3–PbTiO3 ceramics according to sintering temperature.
Figure 5. Bulk density and relative density of Bi(Mg0.5Ti0.5)O3–PbTiO3 ceramics according to sintering temperature.
Sensors 19 02115 g005
Figure 6. Frequency-dependent dielectric permittivity of Bi(Mg0.5Ti0.5)O3–PbTiO3 ceramics according to sintering temperature.
Figure 6. Frequency-dependent dielectric permittivity of Bi(Mg0.5Ti0.5)O3–PbTiO3 ceramics according to sintering temperature.
Sensors 19 02115 g006
Figure 7. Electric field-dependent polarization properties of Bi(Mg0.5Ti0.5)O3–PbTiO3 according to sintering temperature.
Figure 7. Electric field-dependent polarization properties of Bi(Mg0.5Ti0.5)O3–PbTiO3 according to sintering temperature.
Sensors 19 02115 g007
Figure 8. Piezoelectric coefficient d33 and kp of Bi(Mg0.5Ti0.5)O3–PbTiO3 according to sintering temperature.
Figure 8. Piezoelectric coefficient d33 and kp of Bi(Mg0.5Ti0.5)O3–PbTiO3 according to sintering temperature.
Sensors 19 02115 g008
Figure 9. Piezoelectric voltage coefficient and figure of merit (FoM) of Bi(Mg0.5Ti0.5)O3–PbTiO3 according to sintering temperature.
Figure 9. Piezoelectric voltage coefficient and figure of merit (FoM) of Bi(Mg0.5Ti0.5)O3–PbTiO3 according to sintering temperature.
Sensors 19 02115 g009
Figure 10. Temperature-dependent relative dielectric constant εr of Bi(Mg0.5Ti0.5)O3–PbTiO3 ceramic according to sintering temperature.
Figure 10. Temperature-dependent relative dielectric constant εr of Bi(Mg0.5Ti0.5)O3–PbTiO3 ceramic according to sintering temperature.
Sensors 19 02115 g010
Table 1. Comparison of piezoelectric properties of BiMeO3–PbTiO3 and other lead content-reduced ceramics.
Table 1. Comparison of piezoelectric properties of BiMeO3–PbTiO3 and other lead content-reduced ceramics.
Sintering TemperatureDielectric PermittivityCurie TemperaturePiezoelectric Charge CoefficientCostReference
BiFeO3–PbTiO31100 °C500 for 0.3BF–0.7PT500 °C165 pC/NModerate[12,16]
BiScO3–PbTiO3 1450 for 0.36BS–0.64PT450 °C460 pC/NVery High[12,17]
BiInO3–PbTiO3 600 for 0.1BiInO3–0.9TiO3541 °C Moderate[12,18]
BiYbO3–PbTiO31140 °C650 for
0.1BY–0.9PT
590 °C18 pC/NVery High[12,19]
BNT–PT
0.55Bi(Ni1/2Ti1/2)O3–0.45PbTiO3
1050 °C 400 °C293 pC/NModerate[12,20]
BMT–PT
(our samples)
1075 °C625 for 0.62BMT–0.38PT447 °C237 pC/NModerate

Share and Cite

MDPI and ACS Style

Park, M.Y.; Ji, J.-H.; Koh, J.-H. Relaxation-Related Piezoelectric and Dielectric Behavior of Bi(Mg,Ti)O3–PbTiO3 Ceramic. Sensors 2019, 19, 2115. https://doi.org/10.3390/s19092115

AMA Style

Park MY, Ji J-H, Koh J-H. Relaxation-Related Piezoelectric and Dielectric Behavior of Bi(Mg,Ti)O3–PbTiO3 Ceramic. Sensors. 2019; 19(9):2115. https://doi.org/10.3390/s19092115

Chicago/Turabian Style

Park, Min Young, Jae-Hoon Ji, and Jung-Hyuk Koh. 2019. "Relaxation-Related Piezoelectric and Dielectric Behavior of Bi(Mg,Ti)O3–PbTiO3 Ceramic" Sensors 19, no. 9: 2115. https://doi.org/10.3390/s19092115

APA Style

Park, M. Y., Ji, J.-H., & Koh, J.-H. (2019). Relaxation-Related Piezoelectric and Dielectric Behavior of Bi(Mg,Ti)O3–PbTiO3 Ceramic. Sensors, 19(9), 2115. https://doi.org/10.3390/s19092115

Note that from the first issue of 2016, this journal uses article numbers instead of page numbers. See further details here.

Article Metrics

Back to TopTop