Ultra-Wideband Temperature Dependent Dielectric Spectroscopy of Porcine Tissue and Blood in the Microwave Frequency Range
Abstract
1. Introduction
2. Material and Methods
2.1. Measurement Setup
2.2. Temperature Dependent Dielectric Properties
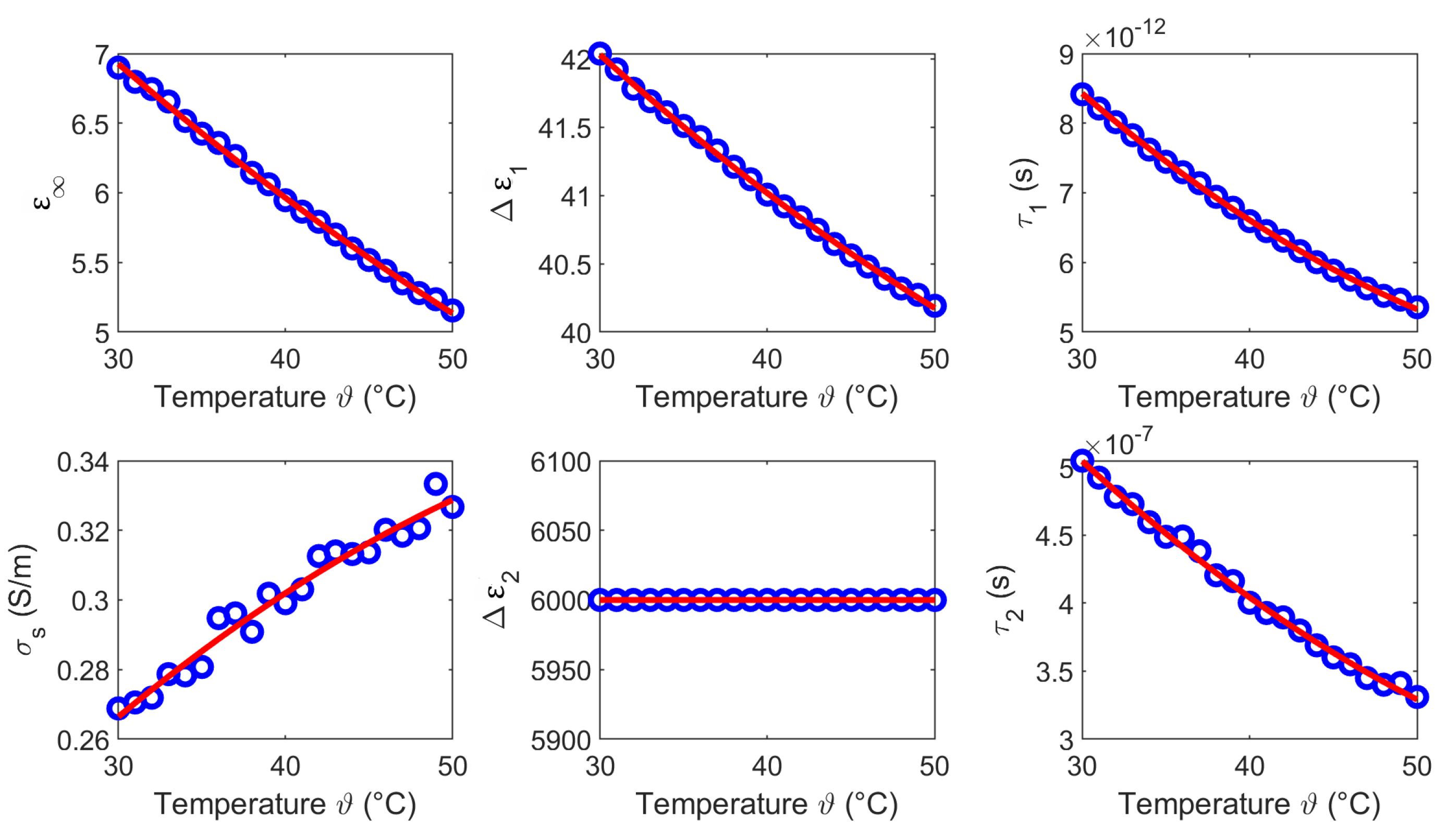
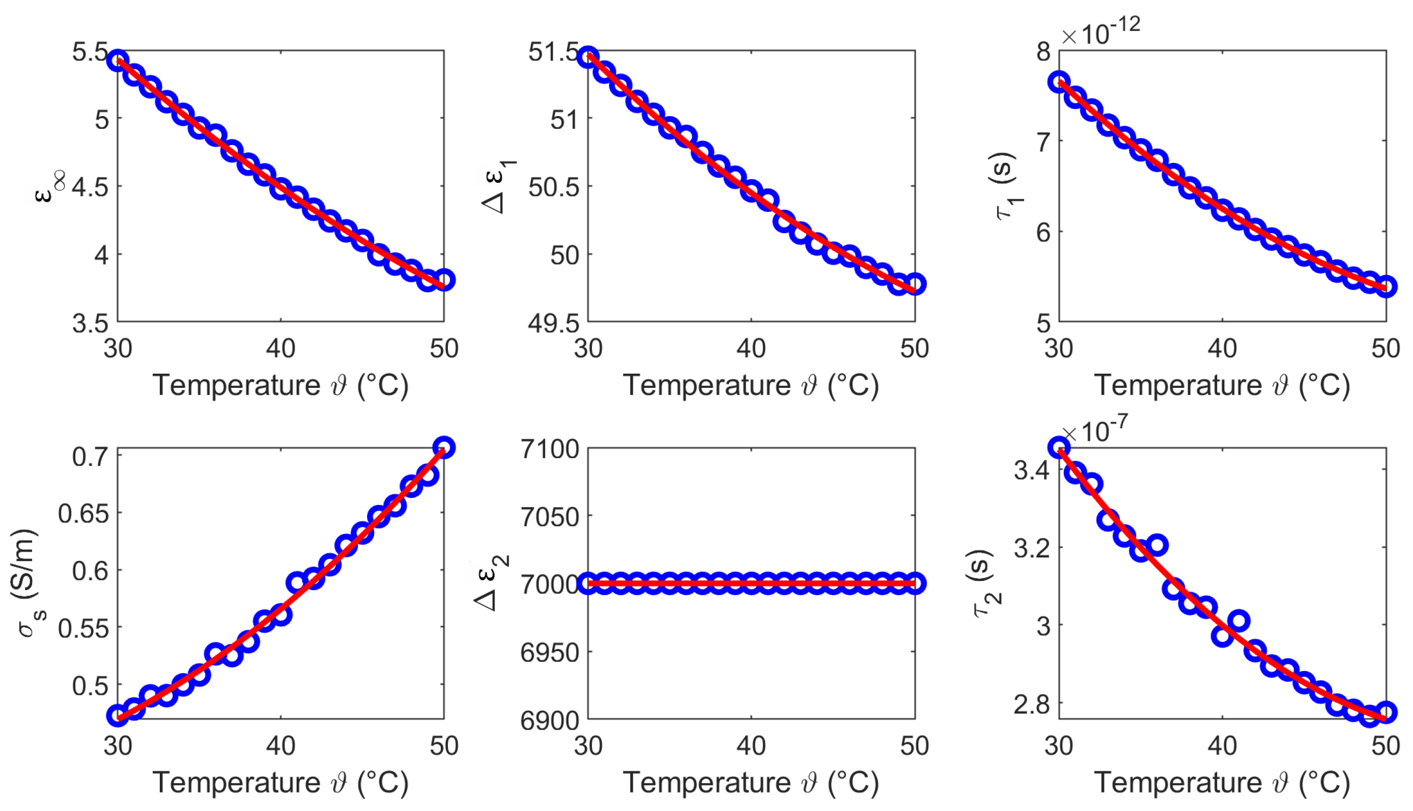
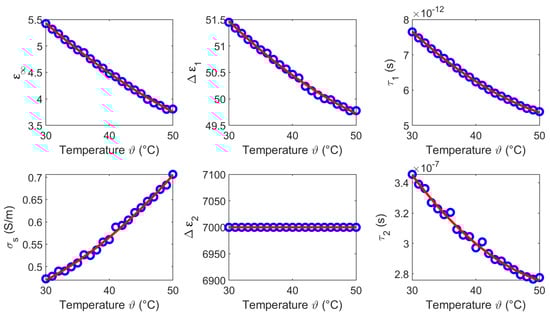
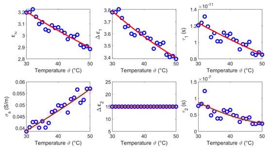
2.3. Temperature Dependent Cole-Cole Model
3. Preliminary Investigations
3.1. Influence of Storage Time
3.2. Measurement Procedure of Temperature Dependency
4. Results
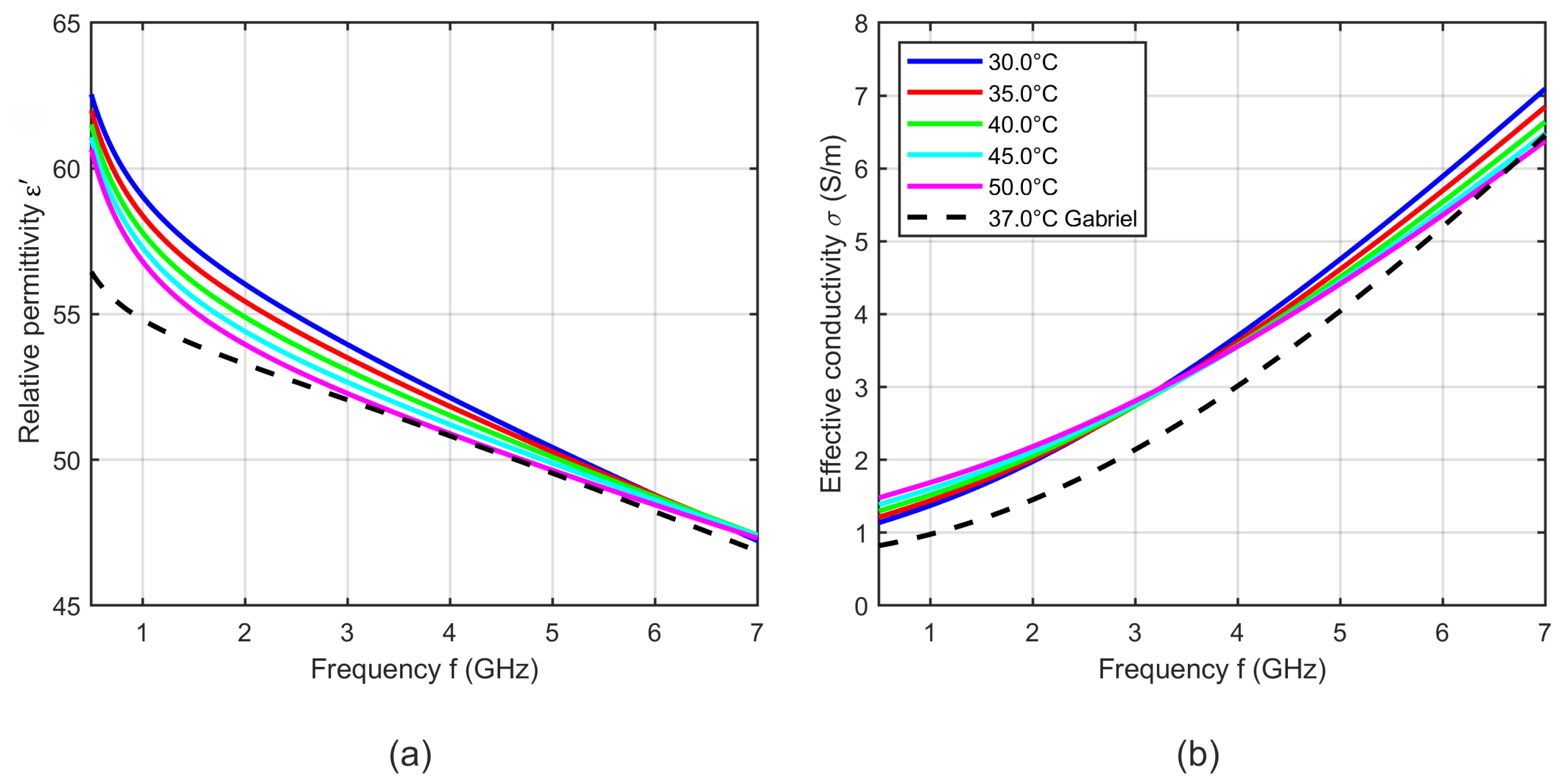
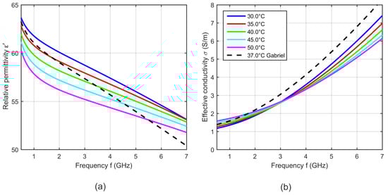
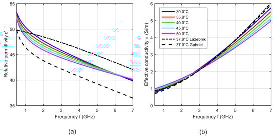
4.1. Liver
4.2. Muscle
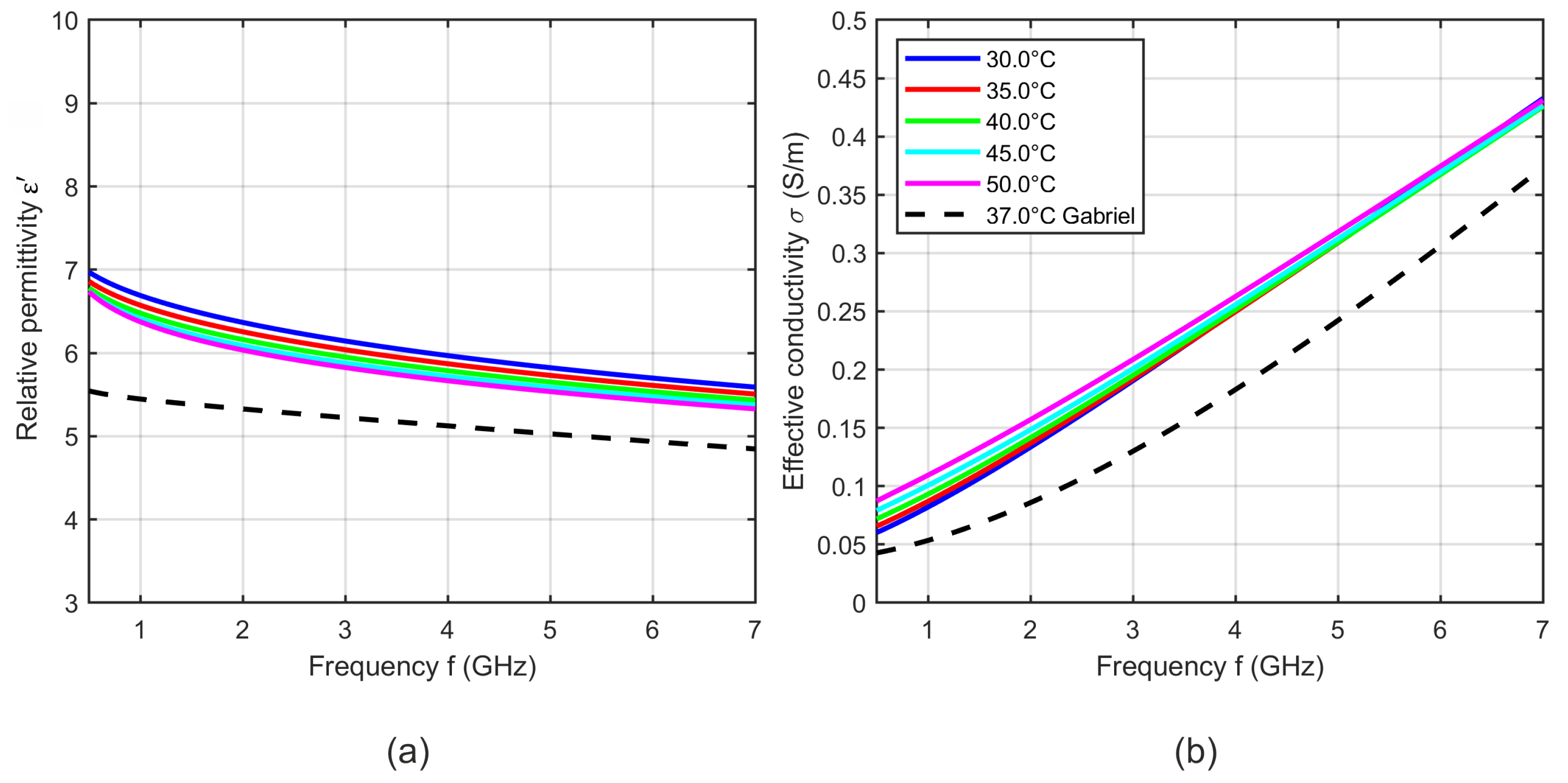
4.3. Fat
4.4. Blood
4.5. Discussion
5. Conclusions
Author Contributions
Funding
Conflicts of Interest
References
- Fear, E.C.; Bourqui, J.; Curtis, C.; Mew, D.; Docktor, B.; Romano, C. Microwave breast imaging with a monostatic radar-based system: A study of application to patients. IEEE Trans. Microw. Theory Tech. 2013, 61, 2119–2128. [Google Scholar] [CrossRef]
- Scapaticci, R.; Bellizzi, G.; Catapano, I.; Crocco, L.; Bucci, O.M. An effective procedure for MNP-enhanced breast cancer microwave imaging. IEEE Trans. Biomed. Eng. 2014, 61, 1071–1079. [Google Scholar] [CrossRef]
- Preece, A.W.; Craddock, I.; Shere, M.; Jones, L.; Winton, H.L. MARIA M4: Clinical evaluation of a prototype ultrawideband radar scanner for breast cancer detection. J. Med. Imaging 2016, 3, 033502. [Google Scholar] [CrossRef]
- Wörtge, D.; Moll, J.; Krozer, V.; Bazrafshan, B.; Hübner, F.; Park, C.; Vogl, T. Comparison of X-ray-Mammography and Planar UWB Microwave Imaging of the Breast: First Results from a Patient Study. Diagnostics 2018, 8, 54. [Google Scholar] [CrossRef] [PubMed]
- O’Loughlin, D.; O’Halloran, M.; Moloney, B.M.; Glavin, M.; Jones, E.; Elahi, M.A. Microwave breast imaging: Clinical advances and remaining challenges. IEEE Trans. Biomed. Eng. 2018, 65, 2580–2590. [Google Scholar] [CrossRef]
- Helbig, M.; Dahlke, K.; Hilger, I.; Kmec, M.; Sachs, J. Design and Test of an Imaging System for UWB Breast Cancer Detection. Frequenz 2012, 66, 387–394. [Google Scholar] [CrossRef]
- Scapaticci, R.; Bellizzi, G.G.; Cavagnaro, M.; Lopresto, V.; Crocco, L. Exploiting Microwave Imaging Methods for Real-Time Monitoring of Thermal Ablation. Int. J. Antennas Propag. 2017, 2017. [Google Scholar] [CrossRef]
- Kidera, S.; Neira, L.M.; Van Veen, B.D.; Hagness, S.C. TDOA-based microwave imaging algorithm for real-time microwave ablation monitoring. Int. J. Microw. Wirel. Technol. 2018, 10, 169–178. [Google Scholar] [CrossRef]
- Meaney, P.M.; Zhou, T.; Fanning, M.W.; Geimer, S.D.; Paulsen, K.D. Microwave thermal imaging of scanned focused ultrasound heating: Phantom results. Int. J. Hyperth. 2008, 24, 523–536. [Google Scholar] [CrossRef][Green Version]
- Haynes, M.; Stang, J.; Moghaddam, M. Real-time microwave imaging of differential temperature for thermal therapy monitoring. IEEE Trans. Biomed. Eng. 2014, 61, 1787–1797. [Google Scholar] [CrossRef]
- Fiser, O.; Helbig, M.; Sachs, J.; Ley, S.; Merunka, I.; Vrba, J. Microwave Non-invasive Temperature Monitoring Using UWB Radar for Cancer Treatment by Hyperthermia. Prog. Electromagn. Res. 2018, 162, 1–14. [Google Scholar] [CrossRef]
- Schena, E.; Tosi, D.; Saccomandi, P.; Lewis, E.; Kim, T. Fiber optic sensors for temperature monitoring during thermal treatments: An overview. Sensors 2016, 16, 1144. [Google Scholar] [CrossRef]
- Ley, S.; Fiser, O.; Merunka, I.; Vrba, J.; Sachs, J.; Helbig, M. Preliminary Investigations for Non-invasive Temperature Change Detection in Thermotherapy by Means of UWB Microwave Radar. In Proceedings of the 2018 40th Annual International Conference of the IEEE Engineering in Medicine and Biology Society (EMBC), Honolulu, HI, USA, 17–21 July 2018; pp. 5386–5389. [Google Scholar] [CrossRef]
- Gabriel, S.; Lau, R.W.; Gabriel, C. The dielectric properties of biological tissues: II. Measurements in the frequency range 10 Hz to 20 GHz. Phys. Med. Biol. Phys. Med. Biol. 1996, 41, 2251–2269. [Google Scholar] [CrossRef]
- Lazebnik, M.; Popovic, D.; McCartney, L.; Watkins, C.B.; Lindstrom, M.J.; Harter, J.; Sewall, S.; Ogilvie, T.; Magliocco, A.; Breslin, T.M.; et al. A large-scale study of the ultrawideband microwave dielectric properties of normal, benign and malignant breast tissues obtained from cancer surgeries. Phys. Med. Biol. 2007, 52, 6093. [Google Scholar] [CrossRef]
- Fornes-Leal, A.; Garcia-Pardo, C.; Frasson, M.; Pons Beltrán, V.; Cardona, N. Dielectric characterization of healthy and malignant colon tissues in the 0.5-18 GHz frequency band. Phys. Med. Biol. 2016, 61, 7334–7346. [Google Scholar] [CrossRef]
- Farrugia, L.; Wismayer, P.S.; Mangion, L.Z.; Sammut, C.V. Accurate in vivo dielectric properties of liver from 500 MHz to 40 GHz and their correlation to ex vivo measurements. Electromagn. Biol. Med. 2016, 35, 365–373. [Google Scholar] [CrossRef]
- Porter, E.; Salahuddin, S.; La Gioia, A.; Elahi, M.A.; Shahzad, A.; Kumar, A.; Kilroy, D.; O’Halloran, M. Characterization of the Dielectric Properties of the Bladder Over the Microw. Range. IEEE J. Electromagn. RF Microw. Med. Biol. 2018, 2, 208–215. [Google Scholar] [CrossRef]
- Lazebnik, M.; Converse, M.C.; Booske, J.H.; Hagness, S.C. Ultrawideband temperature-dependent dielectric properties of animal liver tissue in the microwave frequency range. Phys. Med. Biol. 2006, 51, 1941–1955. [Google Scholar] [CrossRef]
- Jaspard, F.; Nadi, M. Dielectric properties of blood: An investigation of temperature dependence. Physiol. Meas. 2002, 23, 547–554. [Google Scholar] [CrossRef]
- Wolf, M.; Gulich, R.; Lunkenheimer, P.; Loidl, A. Broadband dielectric spectroscopy on human blood. Biochim. Biophys. Acta Gen. Subj. 2011, 1810, 727–740. [Google Scholar] [CrossRef]
- Salahuddin, S.; O’Halloran, M.; Porter, E.; Farrugia, L.; Bonello, J.; Sammut, C.V.; Wismayer, P.S. Effects of standard coagulant agents on the dielectric properties of fresh human blood. IEEE Trans. Dielectr. Electr. Insul. 2017, 24, 3283–3289. [Google Scholar] [CrossRef][Green Version]
- Rossmann, C.; Haemmerich, D. Review of Temperature Dependence of Thermal Properties, Dielectric Properties, and Perfusion of Biological Tissues at Hyperthermic and Ablation Temperatures. Crit. Rev. Biomed. Eng. 2014, 42, 467–492. [Google Scholar] [CrossRef]
- La Gioia, A.; Porter, E.; Merunka, I.; Shahzad, A.; Salahuddin, S.; Jones, M.; O’Halloran, M. Open-Ended Coaxial Probe Technique for Dielectric Measurement of Biological Tissues: Challenges and Common Practices. Diagnostics 2018, 8, 40. [Google Scholar] [CrossRef]
- Hilger, I.; Dahlke, K.; Rimkus, G.; Geyer, C.; Seifert, F.; Kosch, O.; Thiel, F.; Hein, M.; Scotto, F.; Schwarz, U.; et al. ultraMEDIS—Ultra-Wideband Sensing in Medicine. In Ultra-Wideband Radio Technologies for Communications, Localization and Sensor Applications; IntechOpen: Rijeka, Croatia, 2013; pp. 257–322. [Google Scholar]
- Sachs, J. Handbook of Ultra-Wideband Short-Range Sensing; Wiley-VCH Verlag GmbH & Co. KGaA: Weinheim, Germany, 2012. [Google Scholar]
- Ley, S.; Fiser, O.; Merunka, I.; Vrba, J.; Sachs, J.; Helbig, M. Preliminary Investigations for Reliable Temperature Dependent UWB Dielectric Spectroscopy of Tissues and Tissue Mimicking Phantom Materials. In Proceedings of the 12th European Conference on Antennas and Propagation (EuCAP 2018), London, UK, 9–13 April 2018; pp. 1–5. [Google Scholar]
- Hagl, D.M.; Popovic, D.; Hagness, S.C.; Booske, J.H.; Okoniewski, M. Sensing volume of open-ended coaxial probes for dielectric characterization of breast tissue at microwave frequencies. IEEE Trans. Microw. Theory Tech. 2003, 51, 1194–1206. [Google Scholar] [CrossRef]
- Meaney, P.M.; Gregory, A.P.; Seppala, J.; Lahtinen, T. Open-Ended Coaxial Dielectric Probe Effective Penetration Depth Determination. IEEE Trans. Microw. Theory Tech. 2016, 64, 915–923. [Google Scholar] [CrossRef]
- Gabriel, C.; Gabriel, S.; Corthout, E. The dielectric properties of biological tissues: I. Literature survey. Phys. Med. Biol. 1996, 41, 2231–2249. [Google Scholar] [CrossRef]
- Gabriel, S.; Lau, R.W.; Gabriel, C. Physics in Medicine & Biology. The dielectric properties of biological tissues: III. Parametric models for the dielectric spectrum of tissues. Phys. Med. Biol. Phys. Med. Biol. 1996, 41, 2251–2269. [Google Scholar]
- Foster, K.R.; Schwan, P.S. Dielectric Properties of Tissues. In Handbook of Biological Effects of Electromagnetic Fields; CRC Press: Boca Raton, FL, USA, 1996; pp. 27–102. [Google Scholar]
- Peyman, A.; Holden, S.; Gabriel, C. Dielectric Properties of Tissues at Microwave Frequencies. In Mobile Telecommunications and Health Research Programme Final Report; Chilton: Didcot, UK, 2005. [Google Scholar]
- Kaatze, U. Complex permittivity of water as a function of frequency and temperature. J. Chem. Eng. Data 1989, 34, 371–374. [Google Scholar] [CrossRef]
- Ellison, W.J. Permittivity of pure water, at standard atmospheric pressure, over the frequency range 0–25 THz and the temperature range 0–100 °C. J. Phys. Chem. Ref. Data 2007, 36, 1–18. [Google Scholar] [CrossRef]
- Pethig, R.; Kell, D.B. The passive electrical properties of biological systems: Their significance in physiology. Phys. Med. Biol. 1987, 32, 933–970. [Google Scholar] [CrossRef]
- Sachs, J.; Ley, S.; Just, T.; Chamaani, S.; Helbig, M. Differential ultra-wideband microwave imaging: Principle application challenges. Sensors 2018, 18, 2136. [Google Scholar] [CrossRef]



















| n | |||||||
|---|---|---|---|---|---|---|---|
| 1 | 0.6634 | (K) | −0.1427 | (K) | 10.61 | ||
| 2 | 0.8595 | (K) | −0.1616 | (K) | 46.10 | ||
| 3 | 2.693 | (fs · K) | −0.3705 | (ps · K) | 17.12 | (ps) | |
| 4 | 0 | (K) | 0 | (K) | 6000 | ||
| 5 | 0.1259 | (ns · K) | −18.83 | (ns · K) | 955.8 | (ns) | |
| 6 | −0.0436 | (mS · K) | 6.603 | (mS · K) | 107.6 | (mS) |
| n | |||||||
|---|---|---|---|---|---|---|---|
| 1 | 1.047 | (K) | −0.1675 | (K) | 9.513 | ||
| 2 | 1.495 | (K) | −0.2068 | (K) | 56.33 | ||
| 3 | 2.651 | (fs · K) | −0.3266 | (ps · K) | 15.07 | (ps) | |
| 4 | 0 | (K) | 0 | (K) | 7000 | ||
| 5 | 0.1053 | (ns · K) | −11.89 | (ns · K) | 606.8 | (ns) | |
| 6 | 0.2140 | (mS · K) | −5.352 | (mS · K) | 437.5 | (mS) |
| n | |||||||
|---|---|---|---|---|---|---|---|
| 1 | 0.0845 | (K) | −0.0221 | (K) | 3.789 | ||
| 2 | 0.2014 | (K) | −0.0356 | (K) | 4.679 | ||
| 3 | 1.163 | (fs · K) | −0.2815 | (ps · K) | 19.74 | (ps) | |
| 4 | 0 | (K) | −0.0002 | (K) | 15.00 | ||
| 5 | 0.0779 | (ns · K) | −9.398 | (ns · K) | 299.5 | (ns) | |
| 6 | 0.0043 | (mS · K) | 0.5504 | (mS · K) | 18.50 | (mS) |
| n | |||||||
|---|---|---|---|---|---|---|---|
| 1 | 0.2158 | (K) | −0.1399 | (K) | 8.362 | ||
| 2 | 0.4829 | (K) | −0.1652 | (K) | 60.96 | ||
| 3 | 2.865 | (fs · K) | −0.3479 | (ps · K) | 14.84 | (ps) | |
| 4 | 0 | (K) | 0 | (K) | 5200 | ||
| 5 | 0.0712 | (ns · K) | −8.314 | (ns · K) | 339.2 | (ns) | |
| 6 | 0.1434 | (mS · K) | −3.063 | (mS · K) | 540.6 | (mS) |
© 2019 by the authors. Licensee MDPI, Basel, Switzerland. This article is an open access article distributed under the terms and conditions of the Creative Commons Attribution (CC BY) license (http://creativecommons.org/licenses/by/4.0/).
Share and Cite
Ley, S.; Schilling, S.; Fiser, O.; Vrba, J.; Sachs, J.; Helbig, M. Ultra-Wideband Temperature Dependent Dielectric Spectroscopy of Porcine Tissue and Blood in the Microwave Frequency Range. Sensors 2019, 19, 1707. https://doi.org/10.3390/s19071707
Ley S, Schilling S, Fiser O, Vrba J, Sachs J, Helbig M. Ultra-Wideband Temperature Dependent Dielectric Spectroscopy of Porcine Tissue and Blood in the Microwave Frequency Range. Sensors. 2019; 19(7):1707. https://doi.org/10.3390/s19071707
Chicago/Turabian StyleLey, Sebastian, Susanne Schilling, Ondrej Fiser, Jan Vrba, Jürgen Sachs, and Marko Helbig. 2019. "Ultra-Wideband Temperature Dependent Dielectric Spectroscopy of Porcine Tissue and Blood in the Microwave Frequency Range" Sensors 19, no. 7: 1707. https://doi.org/10.3390/s19071707
APA StyleLey, S., Schilling, S., Fiser, O., Vrba, J., Sachs, J., & Helbig, M. (2019). Ultra-Wideband Temperature Dependent Dielectric Spectroscopy of Porcine Tissue and Blood in the Microwave Frequency Range. Sensors, 19(7), 1707. https://doi.org/10.3390/s19071707

