Plant Microbial Fuel Cells–Based Energy Harvester System for Self-powered IoT Applications
Abstract
1. Introduction
2. Plant Microbial Fuel Cell: Materials, Methods and Calculations
3. PMFC-Energy Harvesting Sensor Node
3.1. Energy Harvesting Circuit
3.2. Sensor Node System
3.3. Strategy for the Ultra-Low Sensor Node Power Consumption
3.4. Cloud Storage and IoT Services
4. Results and Discussion
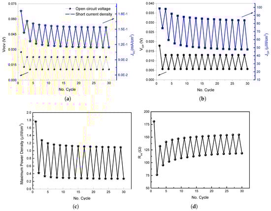
4.1. PMFC Comparative Analysis
4.2. PMFC Design for Self-Powered WSN-IoT Applications
4.3. Sensor Node Power Consumption: DPM Strategy
4.4. IoT Application
4.5. Discussion
5. Conclusions
Author Contributions
Funding
Conflicts of Interest
Abbreviations
| SSM | Scheduled Switching Mode |
| WSN | Wireless Sensor Networks |
| IoT | Internet-of-Things |
| EH | Energy Harvesting |
| PMFC | Plant Microbial Full Cells |
| DC | Direct Current |
| MCU | Microcontroller Unit |
| DPM | Dinamic Power Management |
| LPM | Low Power Mode |
| REST | Representational State Transfer |
| MQTT | Message Queue Telemetry Transport |
References
- Zanella, A.; Bui, N.; Castellani, A.; Vangelista, L.; Zorzi, M. Internet of Things for Smart Cities. IEEE Internet Things J. 2014, 1, 22–32. [Google Scholar] [CrossRef]
- Sheng, Z.; Mahapatra, C.; Zhu, C.; Leung, V.C.M. Recent Advances in Industrial Wireless Sensor Networks Toward Efficient Management in IoT. IEEE Access 2015, 3, 622–637. [Google Scholar] [CrossRef]
- Wu, Y.; Yang, Z.; Lin, F.; Xu, W. Towards Batteryfree and Wireless Sensing for Personalized Ultraviolet Exposure Monitoring. IEEE Sens. J. 2018, 18, 5515–5521. [Google Scholar] [CrossRef]
- Shi, Y.; Wang, Y.; Mei, D.; Feng, B.; Chen, Z. Design and Fabrication of Wearable Thermoelectric Generator Device for Heat Harvesting. IEEE Robot. Autom. Lett. 2018, 3, 373–378. [Google Scholar] [CrossRef]
- Huircán, J.I.; Munoz, C.; Young, H.; Dossow, L.V.; Bustos, J.; Vivallo, G.; Toneatti, M. ZigBee-based wireless sensor network localization for cattle monitoring in grazing fields. Comput. Electron. Agric. 2010, 74, 258–264. [Google Scholar] [CrossRef]
- Meikle, W.G.; Holst, N. Application of continuous monitoring of honeybee colonies. Apidologie 2015, 46, 10–22. [Google Scholar] [CrossRef]
- Gutiérrez, J.; Villa-Medina, J.F.; Nieto-Garibay, A.; Porta-Gándara, M.A. Automated Irrigation System Using a Wireless Sensor Network and GPRS Module. IEEE Trans. Instrum. Meas. 2014, 63, 166–176. [Google Scholar] [CrossRef]
- Sreekantha, D.K.; Kavya, A.M. Agricultural crop monitoring using IOT—A study. In Proceedings of the 2017 11th International Conference on Intelligent Systems and Control (ISCO), Coimbatore, India, 5–6 January 2017; pp. 134–139. [Google Scholar]
- Park, G.; Rosing, T.; Todd, M.; Farrar, C.; Hodgkiss, W. Energy Harvesting for Structural Health Monitoring Sensor Networks. J. Infrastruct. Syst. 2008, 14, 64–79. [Google Scholar] [CrossRef]
- Suarez, F.; Nozariasbmarz, A.; Vashaee, D.; Ozturk, M.C. Designing thermoelectric generators for self-powered wearable electronics. Energy Environ. Sci. 2016, 9, 2099–2113. [Google Scholar] [CrossRef]
- Jung, S.; Lee, J.; Hyeon, T.; Lee, M.; Kim, D.H. Fabric-Based Integrated Energy Devices for Wearable Activity Monitors. Adv. Mater. 2014, 26, 6329–6334. [Google Scholar] [CrossRef]
- Sathish-Kumar, K.; Vignesh, V.; Caballero-Briones, F. Sustainable Power Production from Plant-Mediated Microbial Fuel Cells. In Sustainable Agriculture towards Food Security; Springer: Singapore, 2017; pp. 85–107. [Google Scholar]
- Lobo, F.L.; Wang, X.; Ren, Z.J. Energy harvesting influences electrochemical performance of microbial fuel cells. J. Power Sources 2017, 356, 356–364. [Google Scholar] [CrossRef]
- Alaraj, M.; Radenkovic, M.; Park, J.D. Intelligent energy harvesting scheme for microbial fuel cells: Maximum power point tracking and voltage overshoot avoidance. J. Power Sources 2017, 342, 726–732. [Google Scholar] [CrossRef]
- Zheng, Q.; Xiong, L.; Mo, B.; Lu, W.; Kim, S.; Wang, Z. Temperature and Humidity Sensor Powered by an Individual Microbial Fuel Cell in a Power Management System. Sensors 2015, 15, 23126–23144. [Google Scholar] [CrossRef]
- Tapia, N.F.; Rojas, C.; Bonilla, C.A.; Vargas, I.T. A New Method for Sensing Soil Water Content in Green Roofs Using Plant Microbial Fuel Cells. Sensors 2018, 18, 71. [Google Scholar] [CrossRef]
- Khaled, F.; Ondel, O.; Allard, B. Microbial fuel cells as power supply of a low-power temperature sensor. J. Power Sources 2016, 306, 354–360. [Google Scholar] [CrossRef]
- Schievano, A.; Colombo, A.; Grattieri, M.; Trasatti, S.P.; Liberale, A.; Tremolada, P.; Pino, C.; Cristiani, P. Floating microbial fuel cells as energy harvesters for signal transmission from natural water bodies. J. Power Sources 2017, 340, 80–88. [Google Scholar] [CrossRef]
- Nitisoravut, R.; Regmi, R. Plant microbial fuel cells: A promising biosystems engineering. Renew. Sustain. Energy Rev. 2017, 76, 81–89. [Google Scholar] [CrossRef]
- Strik, D.; Hamelers, H.; Snel, J.; Buisman, C. Green electricity production with living plants and bacteria in a fuel cell. Int. J. Energy Res. 2008, 32, 870–876. [Google Scholar] [CrossRef]
- Degrenne, N.; Buret, F.; Allard, B.; Bevilacqua, P. Electrical energy generation from a large number of microbial fuel cells operating at maximum power point electrical load. J. Power Sources 2012, 205, 188–193. [Google Scholar] [CrossRef]
- Wang, H.; Park, J.D.; Jason Ren, Z. Practical Energy Harvesting for Microbial Fuel Cells: A Review. Int. J. Energy Res. 2015, 49, 3267–3277. [Google Scholar] [CrossRef]
- Timmers, R.A.; Strik, D.P.; Hamelers, H.V.; Buisman, C.J.N. Characterization of the internal resistance of a plant microbial fuel cell. Electrochim. Acta 2012, 72, 3267–3277. [Google Scholar] [CrossRef]
- Larrosa-Guerrero, A.; Scott, K.; Head, I.; Mateo, F.; Ginesta, A.; Godinez, C. Effect of temperature on the performance of microbial fuel cells. Fuel 2010, 89, 3985–3994. [Google Scholar] [CrossRef]
- Wetser, K.; Sudirjo, E.; Buisman, C.J.; Strik, D.P. Electricity generation by a plant microbial fuel cell with an integrated oxygen reducing biocathode. Appl. Energy 2015, 137, 151–157. [Google Scholar] [CrossRef]
- Moqsud, M.; Yoshitake, J.; Bushra, Q.S.; Hyodo, M.; Omine, K.; Strik, D. Compost in plant microbial fuel cell for bioelectricity generation. Waste Manag. 2014, 36, 63–69. [Google Scholar] [CrossRef]
- Helder, M.; Strik, D.; Hamelers, H.; Kuijken, R.; Buisman, C. New plant-growth medium for increased power output of the Plant-Microbial Fuel Cell. Bioresour. Technol. 2012, 104, 417–423. [Google Scholar] [CrossRef]
- Zhang, D.; Zhu, Y.; Pedrycz, W.; Guo, Y. A Terrestrial Microbial Fuel Cell for Powering a Single-Hop Wireless Sensor Network. Int. J. Mol. Sci. 2016, 17, 762. [Google Scholar] [CrossRef]
- Pietrelli, A.; Micangeli, A.; Ferrara, V.; Raffi, A. Wireless Sensor Network Powered by a Terrestrial Microbial Fuel Cell as a Sustainable Land Monitoring Energy System. Sustainability 2014, 6, 7263–7275. [Google Scholar] [CrossRef]
- Drewnowski, J.; Fernandez-Morales, F.J. Heterotrophic Anodic Denitrification in Microbial Fuel Cells. Sustainability 2016, 8, 561. [Google Scholar] [CrossRef]
- Mohan, S.V.; Varjani, S.; Pandey, A. (Eds.) Chapter 3.8—Plant-Microbial Fuel Cell Technology. In Microbial Electrochemical Technology; Biomass, Biofuels and Biochemicals; Elsevier: Amsterdam, The Netherlands, 2019; pp. 549–564. [Google Scholar]
- Recio-Garrido, D.; Tartakovsky, B.; Perrier, M. Staged Microbial Fuel Cells with Periodic Connection of External Resistance. IFAC-PapersOnLine 2016, 49, 91–96. [Google Scholar] [CrossRef]
- Chen, Z.; Huang, Y.; Liang, J.; Zhao, F.; Zhu, Y. A novel sediment microbial fuel cell with a biocathode in the rice rhizosphere. Bioresour. Technol. 2012, 108, 55–59. [Google Scholar] [CrossRef]
- Flessa, H.; Fischer, W.R. Plant-induced changes in the redox potentials of rice rhizospheres. Plant Soil 1992, 143, 55–60. [Google Scholar] [CrossRef]
- Hadi Radi, M.; Abdul-Zehra, H. Influence of Electrodes Characteristics on the Performance of a Microbial Fuel Cell. J. Babylon Univ./Eng. Sci. 2017, 27, 1328–1338. [Google Scholar]
- Dias, P.C.; Morais, F.J.O.; de Morais França, M.B.; Ferreira, E.C.; Cabot, A.; Siqueira Dias, J.A. Autonomous Multisensor System Powered by a Solar Thermoelectric Energy Harvester with Ultralow-Power Management Circuit. IEEE Trans. Instrum. Meas. 2015, 64, 2918–2925. [Google Scholar] [CrossRef]
- Da Costa, E.; De Oliveira, N.; Morais, F.; Carvalhaes-Dias, P.; Duarte, L.; Cabot, A.; Siqueira Dias, J. A Self-Powered and Autonomous Fringing Field Capacitive Sensor Integrated into a Micro Sprinkler Spinner to Measure Soil Water Content. Sensors 2017, 17, 575. [Google Scholar] [CrossRef]
- Li, S.; Yao, X.; Fu, J. Research on a Power Management System for Thermoelectric Generators to Drive Wireless Sensors on a Spindle Unit. Sensors 2014, 14, 12701–12714. [Google Scholar] [CrossRef]
- Adafruit. SHT10: Mesh Protected Weather-Proof Temperature/humidity Sensor. 2018. Available online: https://www.adafruit.com/product/1298 (accessed on 13 March 2019).
- Estrada-López, J.J.; Castillo-Atoche, A.A.; Vázquez-Castillo, J.; Sánchez-Sinencio, E. Smart Soil Parameters Estimation System Using an Autonomous Wireless Sensor Network With Dynamic Power Management Strategy. IEEE Sens. J. 2018, 18, 8913–8923. [Google Scholar] [CrossRef]
- Passos, R.M.; Coelho, C.J.N.; Loureiro, A.A.F.; Mini, R.A.F. Dynamic Power Management in Wireless Sensor Networks: An Application-Driven Approach. In Proceedings of the Second Annual Conference on Wireless On-demand Network Systems and Services, St. Moritz, Switzerland, 19–21 January 2005; pp. 109–118. [Google Scholar]
- Ahmed, N.; Rahman, H.; Hussain, M. A comparison of 802.11ah and 802.15.4 for IoT. ICT Express 2016, 2, 100–102. [Google Scholar] [CrossRef]
- Fertiquim. Diammonium Phosphate. 2018. Available online: http://fertiquim.com.mx/wp-content/uploads/2016/06/fosfato_diamonico.pdf (accessed on 13 March 2019).
- Sophia, A.C.; Sreeja, S. Green energy generation from plant microbial fuel cells (PMFC) using compost and a novel clay separator. Sustain. Energy Technol. Assess. 2017, 21, 59–66. [Google Scholar] [CrossRef]
- Song, T.S.; Yan, Z.S.; Zhao, Z.W.; Jiang, H.L. Removal of organic matter in freshwater sediment by microbial fuel cells at various external resistances. J. Chem. Technol. Biotechnol. 2010, 85, 1489–1493. [Google Scholar] [CrossRef]
- Lyon, D.Y.; Buret, F.; Vogel, T.M.; Monier, J.M. Is resistance futile? Changing external resistance does not improve microbial fuel cell performance. Bioelectrochemistry 2010, 78, 2–7. [Google Scholar] [CrossRef]
- Instruments, T. MSP EnergyTrace Technology. 2018. Available online: http://www.ti.com/tool/energytrace (accessed on 13 March 2019).
- Lowy, D.A.; Tender, L.M.; Zeikus, J.G.; Park, D.H.; Lovley, D.R. Harvesting energy from the marine sediment–water interface II: Kinetic activity of anode materials. Biosens. Bioelectron. 2006, 21, 2058–2063. [Google Scholar] [CrossRef] [PubMed]
- Gilani, S.R.; Yaseen, A.; Zaidi, S.R.A.; Zahra, M.; Mahmood, Z. Photocurrent Generation through Plant Microbial Fuel Cell by Varying Electrode Materials. J. Chem. Soc. Pak. 2016, 47, 17–27. [Google Scholar]












| DPM SSM2 | DPM SSM1 | |
|---|---|---|
| System | ||
| Time | 2523 s | 1862 s |
| Energy | 3266 mJ | 2375 mJ |
| Power | ||
| Mean | 1.29 mW | 1.27 mW |
| Min | 0.0 mW | 0.00 mW |
| Max | 178.8 mW | 179.74 mW |
| Voltage | ||
| Mean | 3.58 V | 3.58 V |
| Current | ||
| Mean | 0.36 mA | 0.35 mA |
| Min | 0.0 mA | 0.00 mA |
| Max | 49.90 mA | 50.12 mA |
© 2019 by the authors. Licensee MDPI, Basel, Switzerland. This article is an open access article distributed under the terms and conditions of the Creative Commons Attribution (CC BY) license (http://creativecommons.org/licenses/by/4.0/).
Share and Cite
Osorio de la Rosa, E.; Vázquez Castillo, J.; Carmona Campos, M.; Barbosa Pool, G.R.; Becerra Nuñez, G.; Castillo Atoche, A.; Ortegón Aguilar, J. Plant Microbial Fuel Cells–Based Energy Harvester System for Self-powered IoT Applications. Sensors 2019, 19, 1378. https://doi.org/10.3390/s19061378
Osorio de la Rosa E, Vázquez Castillo J, Carmona Campos M, Barbosa Pool GR, Becerra Nuñez G, Castillo Atoche A, Ortegón Aguilar J. Plant Microbial Fuel Cells–Based Energy Harvester System for Self-powered IoT Applications. Sensors. 2019; 19(6):1378. https://doi.org/10.3390/s19061378
Chicago/Turabian StyleOsorio de la Rosa, Edith, Javier Vázquez Castillo, Mario Carmona Campos, Gliserio Romeli Barbosa Pool, Guillermo Becerra Nuñez, Alejandro Castillo Atoche, and Jaime Ortegón Aguilar. 2019. "Plant Microbial Fuel Cells–Based Energy Harvester System for Self-powered IoT Applications" Sensors 19, no. 6: 1378. https://doi.org/10.3390/s19061378
APA StyleOsorio de la Rosa, E., Vázquez Castillo, J., Carmona Campos, M., Barbosa Pool, G. R., Becerra Nuñez, G., Castillo Atoche, A., & Ortegón Aguilar, J. (2019). Plant Microbial Fuel Cells–Based Energy Harvester System for Self-powered IoT Applications. Sensors, 19(6), 1378. https://doi.org/10.3390/s19061378

