High-Throughput Chemometric Quality Assessment of Extra Virgin Olive Oils Using a Microtiter Plate Reader
Abstract
1. Introduction
2. Materials and Methods
2.1. EVOO Samples
2.2. Experimental Section
2.2.1. Benchtop UV–Vis Spectrophotometer
2.2.2. Microtiter Plate Reader Assay
2.3. Chemometrics Methods
3. Results and Discussion
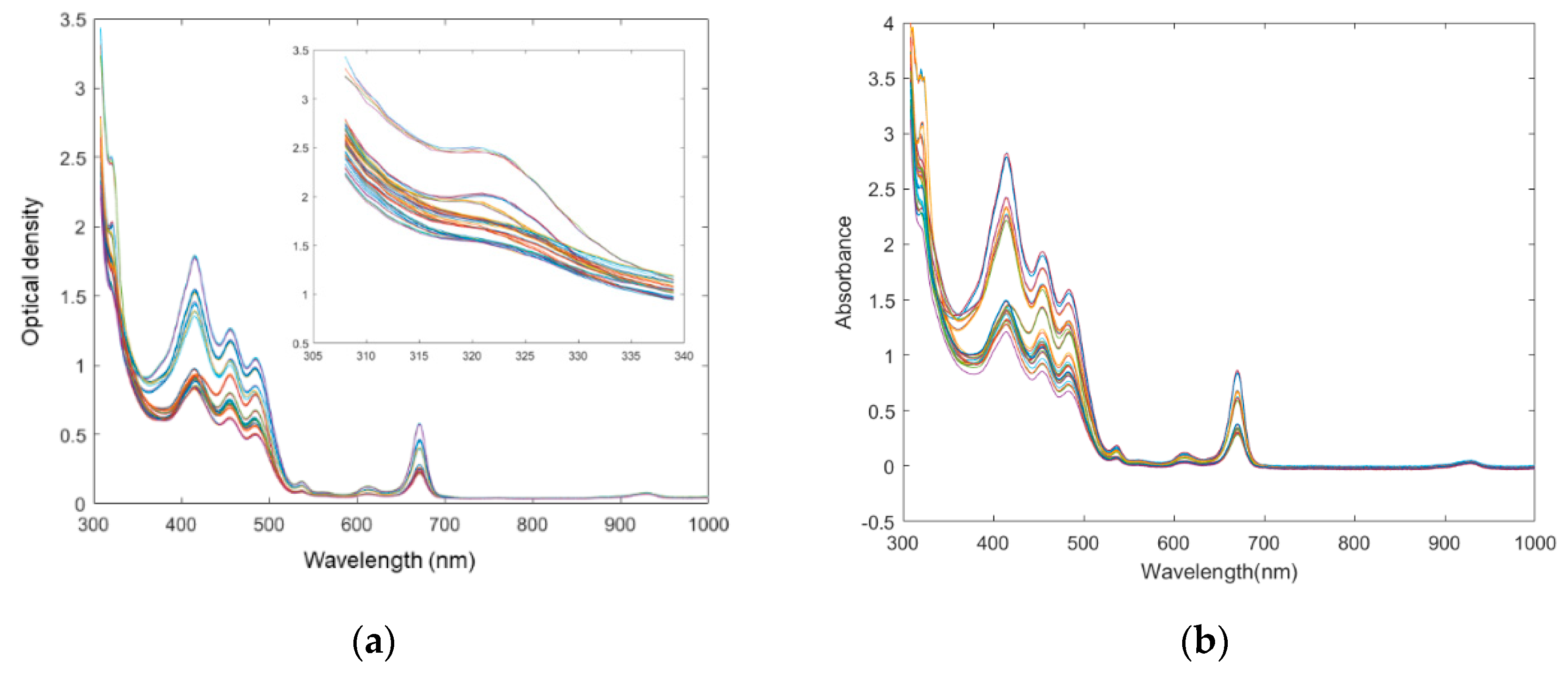
3.1. Characteristics of UV–Vis Spectra
3.2. Comparison of Spectra between Microtiter Plate Reader and Benchtop Spectrophotometer
3.3. Pre-Processing of Spectral Signals
3.4. Classification of Producing Region of EVOOs by Microtiter Plate Reader Spectra
3.5. Quality Assessment between EVOOs and Other Vegetable Oils
4. Conclusions
Author Contributions
Funding
Acknowledgments
Conflicts of Interest
References
- Nadia, C.; Egeria, S.; Mariangela, P.; Maria, A. Olive Oil. In The Mediterranean Diet- an Evidence-Based Approach; Victor, R.P., Ronald, R.W., Eds.; Elsevier: Amsterdam, The Netherlands, 2015; Volume 13, pp. 135–142. [Google Scholar]
- Akhlaq, A.F.; Tahira, F. Effects of Extra-Virgin Olive Oil in Neurological Disorders. In Neuroprotective Effects of Phytochemicals in Neurological Disorders; Tahira, F., Akhlaq, A.F., Eds.; John Wiley & Sons: Hoboken, NJ, USA, 2017; Volume 6, pp. 133–148. [Google Scholar]
- Joaquín, G.C.; Ramón, G.; Jesús, A.; Ricardo, G.; Vega, G. Benefit of Oleuropein Aglycone for Alzheimer’s Disease by Promoting Autophagy. Oxid. Med. Cell. Longev. 2018, 2, 1–12. [Google Scholar]
- Alaa, H.A.; Hisham, O.; Loqman, A.M.; Yazan, S.B.; Amal, K. Neuroprotective Effects of Extra-Virgin Olive Oil and its Components in Alzheimer’s Disease. In Neuroprotective Effects of Phytochemicals in Neurological Disorders; Tahira, F., Akhlaq, A.F., Eds.; John Wiley & Sons: Hoboken, NJ, USA, 2017; Volume 14, pp. 299–318. [Google Scholar]
- Angeloni, C.; Malaguti, M.; Barbalace, M.C.; Hrelia, S. Bioactivity of Olive Oil Phenols in Neuroprotection. Int. J. Mol. Sci. 2017, 18, 2230. [Google Scholar] [CrossRef]
- Maria, D.; Loukianos, S.R.; Eirini, V.T.; Ioanna, P.K.; Genovefa, K.; George, V.D. Exclusive olive oil consumption has a protective effect on coronary artery disease; overview of the THISEAS study. Public Health Nutr. 2016, 19, 1081–1087. [Google Scholar]
- Marta, P.; Adriana, A.; Roberto, F.; Lisa, G.; Cristina, L.; Fausta, N.; Patrizia, R.; Teresa, R.; Agnese, T.; Maurizio, S.; et al. Nutrigenomics of extra-virgin olive oil: A review. BioFactors 2017, 43, 17–41. [Google Scholar]
- Vasiliki, L.; Vasiliki, M.; Thanasis, G. Optical Nondestructive UV-Vis-NIR-MIR Spectroscopic Tools and Chemometrics in the Monitoring of Olive Oil Functional Compounds. In Olives and Olive Oil as Functional Foods: Bioactivity, Chemistry and Processing; Apostolos, K., Fereidoon, S., Eds.; John Wiley & Sons: Hoboken, NJ, USA, 2017; Volume 11, pp. 221–248. [Google Scholar]
- Conte, L.; Bendini, A.; Valli, E.; Lucci, P.; Moret, S.; Maquet, A.; Lacoste, F.; Brereton, P.; García-González, D.L.; Moreda, W. Olive oil quality and authenticity: A review of current EU legislation, standards, relevant methods of analyses, their drawbacks and recommendations for the future. Trends Food Sci. Technol. 2019, in press. [Google Scholar] [CrossRef]
- Casale, M.; Oliveri, P.; Casolino, C.; Sinelli, N.; Zunin, P.; Armanino, C.; Forina, M.; Lanteri, S. Characterisation of PDO olive oil Chianti Classico by non-selective (UV–visible, NIR and MIR spectroscopy) and selective (fatty acid composition) analytical techniques. Anal. Chim. Acta 2012, 712, 56–63. [Google Scholar] [CrossRef] [PubMed]
- Danezis, G.P.; Tsagkaris, A.S.; Camin, F. Food authentication: Techniques, trends & emerging approaches. TrAC Trends Anal. Chem. 2016, 85, 123–132. [Google Scholar]
- Efthalia, D.; Dimitris, S. Consumer evaluations of product certification, geographic association and traceability in Greece. Eur. J. Mark. 2003, 37, 690–705. [Google Scholar]
- Núria, C.; Mireia, F.; Javier, S.; Oscar, N. Authentication and quantitation of fraud in extra virgin olive oils based on HPLC-UV fingerprinting and multivariate calibration. Foods 2018, 7, 44. [Google Scholar]
- Valcárcel, M.; Cárdenas, S. Vanguard-rearguard analytical strategies. TrAC Trends Anal. Chem. 2005, 24, 67–74. [Google Scholar] [CrossRef]
- Forina, M.; Oliveri, P.; Bagnasco, L.; Simonetti, R.; Casolino, M.C.; Nizzi, G.F.; Casale, M. Artificial nose, NIR and UV–visible spectroscopy for the characterisation of the PDO Chianti Classico olive oil. Talanta 2015, 144, 1070–1078. [Google Scholar] [CrossRef] [PubMed]
- Francieli, C.G.B.S.A.; Aline, C.; Paulo, H.M.; Patrícia, V. Evaluation of olive oils from the Mediterranean region by UV-Vis spectroscopy and Independent Component Analysis. Food Chem. 2018, 273, 124–129. [Google Scholar]
- Eva, B.; Joan, F.; Ricard, B.; Montserrat, M.; Laura, A.; Angels, C.; Olga, B. Olive oil sensory defects classification with data fusion of instrumental techniques and multivariate analysis (PLS-DA). Food Chem. 2016, 203, 314–322. [Google Scholar]
- Willem, W.; Jeremy, S.; Rasmus, B. Loopy MSC: A simple way to improve multiplicative scatter correction. Appl. Spectrosc. 2008, 62, 1153–1159. [Google Scholar]
- Danilo, B.; Martin, K.; Naomi, A. Points of significance: Machine learning: Supervised methods. Nat. Methods 2018, 15, 5–6. [Google Scholar]
- Lucia, G.; Daria, D.V.; Giorgio, B. Classification of monovarietal Italian olive oils by unsupervised (PCA) and supervised (LDA) chemometrics. J. Sci. Food Agric. 2003, 83, 905–911. [Google Scholar]
- Zhang, C.; Shen, T.; Liu, F.; He, Y. Identification of Coffee Varieties Using Laser-Induced Breakdown Spectroscopy and Chemometrics. Sensors 2018, 18, 95. [Google Scholar] [CrossRef] [PubMed]
- Dong, W.; Ni, Y.; Kokot, S. A Near-Infrared Reflectance Spectroscopy Method for Direct Analysis of Several Chemical Components and Properties of Fruit, for Example, Chinese Hawthorn. J. Agric. Food Chem. 2013, 61, 540–546. [Google Scholar] [CrossRef]
- Davide, B.; Viviana, C. Classification tools in chemistry. Part 1: Linear models. PLS-DA. Anal. Methods 2013, 5, 3790–3798. [Google Scholar]
- Rhayanna, P.G.; Paulo, H.M.; Patrícia, V. Thermal edible oil evaluation by UV-Vis spectroscopy and chemometrics. Food Chem. 2014, 163, 83–86. [Google Scholar]
- José, A.C.; Khaled, Y.; Carmen, M.; José, M.G. Rapid Determination of Olive Oil Chlorophylls and Carotenoids by Using Visible Spectroscopy. J. Am. Oil Chem. Soc. 2014, 91, 1677–1684. [Google Scholar]
- Liu, C. Principle of enzyme-linked immunosorbnent assay (ELISA) and repairing of ELISA reader. Chin. Med. Equip. J. 2009, 30, 110–111. [Google Scholar]
- Biotekinstruments. Available online: https://www.biotekinstruments.ru/assets/tech_resources/LoBase_App_Note.pdf (accessed on 24 September 2019).
- Yi, L.; Liang, Y. Processing of Analytic Signals. In The Basis of Chemometrics; East China University of Science and Technology Press: Shanghai, China, 2010; Volume 3, pp. 77–112. [Google Scholar]
- Li, X.; Zhang, Y.; Cui, H.; Shen, T. Analysis of Near Infrared Spectra of Apple Soluble Solids Content Based on BP Neural Network. In Proceedings of the 37th Chinese Control Conference, Wuhan, China, 25–27 July 2018. [Google Scholar]







| Benchtop | MTP100 | MTP150 | MTP200 | MTP300 | |
|---|---|---|---|---|---|
| Benchtop | 1 | ||||
| MTP100 | 0.9957 | 1 | |||
| MTP150 | 0.9976 | 0.9997 | 1 | ||
| MTP200 | 0.9988 | 0.9989 | 0.9997 | 1 | |
| MTP300 | 0.9995 | 0.9973 | 0.9987 | 0.9995 | 1 |
© 2019 by the authors. Licensee MDPI, Basel, Switzerland. This article is an open access article distributed under the terms and conditions of the Creative Commons Attribution (CC BY) license (http://creativecommons.org/licenses/by/4.0/).
Share and Cite
He, H.; Lu, W. High-Throughput Chemometric Quality Assessment of Extra Virgin Olive Oils Using a Microtiter Plate Reader. Sensors 2019, 19, 4169. https://doi.org/10.3390/s19194169
He H, Lu W. High-Throughput Chemometric Quality Assessment of Extra Virgin Olive Oils Using a Microtiter Plate Reader. Sensors. 2019; 19(19):4169. https://doi.org/10.3390/s19194169
Chicago/Turabian StyleHe, Huihui, and Weiying Lu. 2019. "High-Throughput Chemometric Quality Assessment of Extra Virgin Olive Oils Using a Microtiter Plate Reader" Sensors 19, no. 19: 4169. https://doi.org/10.3390/s19194169
APA StyleHe, H., & Lu, W. (2019). High-Throughput Chemometric Quality Assessment of Extra Virgin Olive Oils Using a Microtiter Plate Reader. Sensors, 19(19), 4169. https://doi.org/10.3390/s19194169
