On Exact Outage and Throughput Performance of Cognitive Radio based Non-Orthogonal Multiple Access Networks With and Without D2D Link
Abstract
1. Introduction
- We formulate two cases of analytic expressions that consider existence/non-existence of a D2D link in the CR-NOMA of secondary network under interference constraint from the primary network. The underlay CR-NOMA provides an ability to serve D2D transmission. We show that two NOMA users served by the BS exhibit a performance gap in terms of outage behavior.
- The formulated problem of outage probability is difficult to evaluate, and thus, to tackle this challenge, an asymptotic analysis is provided to present more insights into the proposed system.
- Extensive simulation results are provided and the simulation results show that there is a trade-off between the transmission SNR at the BS of a secondary network and the outage behavior of each user in the context of NOMA. Besides, the interference term originated from a primary network also impacts the performance of UEs in the secondary network.
2. System Model
3. Scheme 1: Performance Analysis of Outage Probability without D2D Link
3.1. Outage Probability of
3.2. Outage Probability of
3.3. Asymptotic Analysis
4. Scheme 2: Performance Analysis of Outage Probability with D2D Link
4.1. Outage Probability of
4.2. Outage Probability of
4.3. Asymptotic Analysis
4.4. Consideration on Throughput
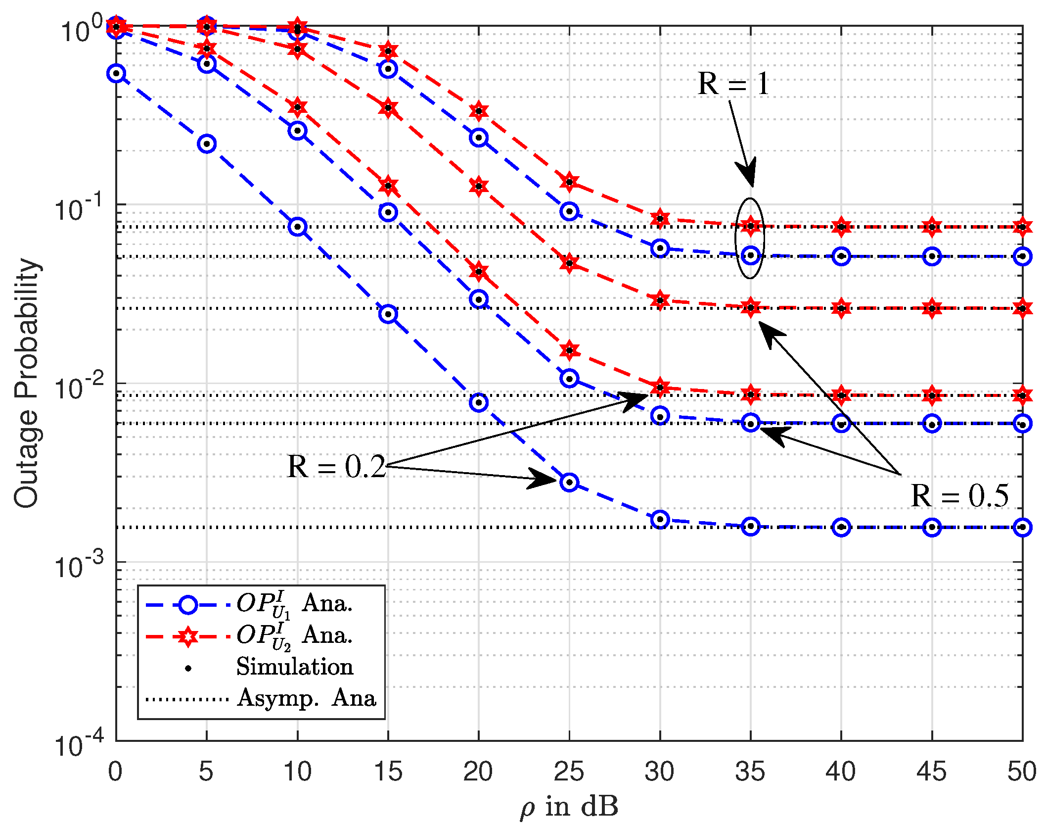
5. Numerical Results
6. Conclusions
Author Contributions
Funding
Conflicts of Interest
Appendix A
Appendix B
References
- Mitola, J. Cognitive radio for flexible mobile multimedia communications. Mobile Netw. Appl. 2001, 6, 435–441. [Google Scholar] [CrossRef]
- Do, D.-T.; Le, A.-T.; Lee, A.B.M. On Performance Analysis of Underlay Cognitive Radio-Aware Hybrid OMA/NOMA Networks with Imperfect CSI. Electronics 2019, 8, 819. [Google Scholar] [CrossRef]
- Pham, M.-N.; Do, D.-T.; Nguyen, T.-T.; Phu, T.-T. Energy harvesting assisted cognitive radio: Random location-based transceivers scheme and performance analysis. Telecommun. Syst. 2018, 67, 123–132. [Google Scholar]
- Shen, J.; Liu, S.; Wang, Y.; Xie, G.; Rashvand, H.F.; Liu, Y. Robust energy detection in cognitive radio. IET Commun. 2009, 3, 1016–1023. [Google Scholar] [CrossRef]
- Choi, W.; Song, M.-G.; Ahn, J.; Im, G.-H. Soft combining for cooperative spectrum sensing over fast-fading channels. IEEE Commun. Lett. 2013, 18, 193–196. [Google Scholar] [CrossRef]
- Liu, X.; Jia, M.; Tan, X. Threshold optimization of cooperative spectrum sensing in cognitive radio networks. Radio Sci. 2013, 48, 23–32. [Google Scholar] [CrossRef]
- Liu, X.; Jia, M. Joint optimal fair cooperative spectrum sensing and transmission in cognitive radio. Phys. Commun. 2017, 25, 445–453. [Google Scholar] [CrossRef]
- Boccardi, F.; Marzetta, T.L.; Labs, B. Five Disruptive Technology Directions for 5G. IEEE Commun. Mag. 2014, 52, 74–80. [Google Scholar] [CrossRef]
- Saito, Y.; Kishiyama, Y.; Benjebbour, A.; Nakamura, T.; Li, A.; Higuchi, K. Non-Orthogonal Multiple Access (NOMA) for Cellular UE2ture Radio Access. In Proceedings of the IEEE 77th Vehicular Technology Conference (VTC Spring), Dresden, Germany, 2–5 June 2013; pp. 1–5. [Google Scholar]
- Do, D.-T.; van Nguyen, M.-S.; Hoang, T.-A.; Voznak, M. NOMA-Assisted Multiple Access Scheme for IoT Deployment: Relay Selection Model and Secrecy Performance Improvement. Sensors 2019, 19, 736. [Google Scholar] [CrossRef]
- Do, D.-T.; Nguyen, H.-S.; Voznak, M.; Nguyen, T.-S. Wireless powered relaying networks under imperfect channel state information: System performance and optimal policy for instantaneous rate. Radioengineering 2017, 26, 869–877. [Google Scholar] [CrossRef]
- Do, D.-T. Energy-Aware Two-Way Relaying Networks under Imperfect Hardware: Optimal Throughput Design and Analysis. Telecommun. Syst. 2015, 62, 449–459. [Google Scholar] [CrossRef]
- Do, D.-T. Time Power Switching based Relaying Protocol in Energy Harvesting Mobile Node: Optimal Throughput Analysis. Mob. Inf. Syst. 2015, 2015, 769286. [Google Scholar] [CrossRef]
- Nguyen, H.-S.; Do, D.-T.; Nguyen, T.-S.; Voznak, M. Exploiting hybrid time switching-based and power splitting-based relaying protocol in wireless powered communication networks with outdated channel state information. Automatika 2017, 58, 111–118. [Google Scholar] [CrossRef]
- Do, D.-T.; Nguyen, H.-S. A Tractable Approach to Analyze the Energy-Aware Two-way Relaying Networks in Presence of Co-channel Interference. EURASIP J. Wirel. Commun. Netw. 2016, 2016, 271. [Google Scholar] [CrossRef]
- Do, D.-T. Power switching protocol for two-way relaying network under hardware impairments. Radioengineering 2015, 24, 765–771. [Google Scholar] [CrossRef]
- Do, D.-T. Optimal throughput under time power switching based relaying protocol in energy harvesting cooperative networks. Wirel. Pers. Commun. 2016, 87, 551–564. [Google Scholar] [CrossRef]
- Do, D.T.; Vaezi, M.; Nguyen, T.L. Wireless Powered Cooperative Relaying using NOMA with Imperfect CSI. In Proceedings of the 2018 IEEE Globecom Workshops (GC Wkshps), Abu Dhabi, UAE, 9–13 December 2018; pp. 1–6. [Google Scholar]
- Do, D.-T.; van Nguyen, M.-S. Device-to-device transmission modes in NOMA network with and without Wireless Power Transfer. Comput. Commun. 2019, 139, 67–77. [Google Scholar] [CrossRef]
- Nguyen, T.-L.; Do, D.-T. Power Allocation Schemes for Wireless Powered NOMA Systems with Imperfect CSI: System model and performance analysis. Int. J. Commun. Syst. 2018, 31, e3789. [Google Scholar] [CrossRef]
- Do, D.-T.; Le, C.-B. Application of NOMA in Wireless System with Wireless Power Transfer Scheme: Outage and Ergodic Capacity Performance Analysis. Sensors 2018, 18, 3501. [Google Scholar] [CrossRef]
- Nguyen, T.-L.; Do, D.-T. Exploiting Impacts of Intercell Interference on SWIPT-assisted Non-orthogonal Multiple Access. Wirel. Commun. Mob. Comput. 2018, 2018, 2525492. [Google Scholar] [CrossRef]
- Le, C.-B.; Do, D.-T.; Voznak, M. Wireless-powered cooperative MIMO NOMA networks: Design and performance improvement for cell-edge users. Electronics 2019, 8, 328. [Google Scholar] [CrossRef]
- Im, G.; Lee, J.H. Outage Probability for Cooperative NOMA Systems With Imperfect SIC in Cognitive Radio Networks. IEEE Commun. Lett. 2019, 23, 692–695. [Google Scholar] [CrossRef]
- Li, B.; Qi, X.; Huang, K.; Fei, Z.; Zhou, F.; Hu, Q. Security-Reliability Tradeoff Analysis for Cooperative NOMA in Cognitive Radio Networks. IEEE Trans. Commun. 2019, 67, 83–96. [Google Scholar] [CrossRef]
- Xu, W.; Li, X.; Lee, C.-H.; Pan, M.; Feng, Z. Joint Sensing Duration Adaptation, User Matching, and Power Allocation for Cognitive OFDM-NOMA Systems. IEEE Trans. Wirel. Commun. 2018, 17, 1269–1282. [Google Scholar] [CrossRef]
- Arzykulov, S.; Tsiftsis, T.A.; Nauryzbayev, G.; Abdallah, M. Outage Performance of Cooperative Underlay CR-NOMA With Imperfect CSI. IEEE Commun. Lett. 2019, 23, 176–179. [Google Scholar] [CrossRef]
- Liu, J.; Wu, G.; Xiao, X.; Zhou, X.; Li, G.Y.; Guo, S.; Li, S. Joint Power Allocation and User Scheduling for Device-to-Device-Enabled Heterogeneous Networks With Non-Orthogonal Multiple Access. IEEE Access 2019, 7, 62657–62671. [Google Scholar] [CrossRef]
- Kim, H.M.; Nguyen, H.V.; Kang, G.-M.; Shin, Y.; Shin, O.-S. Device-to-Device Communications Underlaying an Uplink SCMA System. IEEE Access 2019, 7, 21756–21768. [Google Scholar] [CrossRef]
- Diao, X.; Zheng, J.; Wu, Y.; Cai, Y. Joint Computing Resource, Power, and Channel Allocations for D2D-Assisted and NOMA-Based Mobile Edge Computing. IEEE Access 2019, 7, 9243–9257. [Google Scholar] [CrossRef]
- Zheng, H.; Hou, S.; Li, H.; Song, Z.; Hao, Y. Power Allocation and User Clustering for Uplink MC-NOMA in D2D Underlaid Cellular Networks. IEEE Commun. Lett. 2018, 7, 1030–1033. [Google Scholar] [CrossRef]
- Zhao, J.; Liu, Y.; Chai, K.K.; Chen, Y.; Elkashlan, M. Joint Subchannel and Power Allocation for NOMA Enhanced D2D Communications. IEEE Trans. Commun. 2017, 65, 5081–5094. [Google Scholar] [CrossRef]
- Kazeminia, M.; Tomasin, S.; Mehrjoo, M. Resource Allocation for Uplink NOMA and D2D Links with MLWDF Scheduling Discipline. In Proceedings of the IEEE 29th Annual International Symposium on Personal, Indoor and Mobile Radio Communications (PIMRC), Bologna, Italy, 9–12 September 2018; pp. 1–6. [Google Scholar]









© 2019 by the authors. Licensee MDPI, Basel, Switzerland. This article is an open access article distributed under the terms and conditions of the Creative Commons Attribution (CC BY) license (http://creativecommons.org/licenses/by/4.0/).
Share and Cite
Do, D.-T.; Le, A.-T.; Le, C.-B.; Lee, B.M. On Exact Outage and Throughput Performance of Cognitive Radio based Non-Orthogonal Multiple Access Networks With and Without D2D Link. Sensors 2019, 19, 3314. https://doi.org/10.3390/s19153314
Do D-T, Le A-T, Le C-B, Lee BM. On Exact Outage and Throughput Performance of Cognitive Radio based Non-Orthogonal Multiple Access Networks With and Without D2D Link. Sensors. 2019; 19(15):3314. https://doi.org/10.3390/s19153314
Chicago/Turabian StyleDo, Dinh-Thuan, Anh-Tu Le, Chi-Bao Le, and Byung Moo Lee. 2019. "On Exact Outage and Throughput Performance of Cognitive Radio based Non-Orthogonal Multiple Access Networks With and Without D2D Link" Sensors 19, no. 15: 3314. https://doi.org/10.3390/s19153314
APA StyleDo, D.-T., Le, A.-T., Le, C.-B., & Lee, B. M. (2019). On Exact Outage and Throughput Performance of Cognitive Radio based Non-Orthogonal Multiple Access Networks With and Without D2D Link. Sensors, 19(15), 3314. https://doi.org/10.3390/s19153314

