A Crowdsensing Based Analytical Framework for Perceptional Degradation of OTT Web Browsing
Abstract
:1. Introduction
2. Related Work
2.1. Network Measurement and Evaluation
2.2. Crowdsourcing-Based User Perception
- (a)
- Ddns refers to DNS resolution delay, which is the elapsed time from the webpage request until the handset receives the DNS resolution result (i.e., Tdns). It should be noted, however, that the air interface setup delay is also included in Ddns if there is no air interface connection setup at the time of webpage request.
- (b)
- Dtcp is the TCP connection setup delay, referring to the time between the completion of DNS resolution and the TCP confirmation being sent by the handset (i.e., Ttcp).
- (c)
- Dget is the GET request delay, which is the elapsed time between the handset’s TCP confirmation and the arrival of the first TCP packet at the handset.
3. Impact Factors of Perceptional Degradation of OTT Services
3.1. Impact Factors of OTT Service Perception
- (1)
- Access Network: Considering the large temporal and spatial variation of the wireless propagation environment, this factor is thought to have the most influence on service perceptions—it is not only significant but also unstable. More specifically, a high-quality wireless signal means qualified coverage (i.e., the signal in the area is sufficiently strong and experiences little interference). As the malfunction of one base station in the access network affects only the users within its coverage, range of influence of RAN is medium.
- (2)
- Core Network (Including CN Equipment and the Physical Links Among Them): As the highest-level equipment in the whole mobile network, CN is crucial to the overall network performance; thus, it is always located in a fully controlled server room and maintained with high attention. Thus, it rarely malfunctions and therefore has little impact on overall service perception.
- (3)
- Temporal Domain (System Load): Service attempts are temporally random; therefore, system load is also temporally random. Temporal differences in service demand intensity inevitably impact the wireless network load, the core network, the ISP website, and, finally, the service perception. Higher system loads generally result in lower service perceptions.
- (4)
- Terminal: One significant characteristic of smartphones, especially Android phones, is fragmentation among many brands and models. Different key component configurations, such as CPU and memory, lead to different hardware performances and, thus, different service perceptions. Its range of influence is medium to large. For best-selling terminals, low service perception resulting from the design or production defect would impact a large number of users.
- (5)
- User: The service perception of a specific user is generally different from that of others, even under the same circumstances. These differences may result from the user’s personal phone-use habits, the hardware and software implementations of that user’s specific phone or the user’s psychological anticipation of satisfactory service usage.
- (6)
- ISP: Almost all the OTT service providers employ content distribution network (CDN) [27] technology to provide content service as close to end-users as possible. Therefore, service perceptions of the same ISP website can differ substantially among different regions due to location, processing capability and bandwidth variations in the CDN servers responsible for those regions. Malfunction of ISP server would influence a large number of users visiting the website, while malfunction of one CDN nodes would influence less.
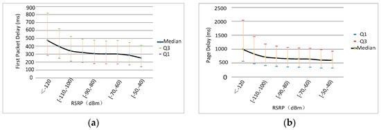
3.2. Impact of Quality of Coverage on Service Perception
3.3. Impact of Service Intensity on Service Perception
3.4. Relationship of ISP Webpage and Service Perception
3.5. Relationships among KQI Indices
4. Design of the Analytical Framework for Service Perception Degradation
4.1. Design of Analytical Framework
| Algorithm 1. Analysis of Service Perception Degradation. |
| Input: dataset , |
| 1. Labelling of disqualified samples with Equations (10) and (11); |
| 2. for i = 1~N do |
| 3. calculate {RK},{RP},{RS} of the ISP with Equations (12)–(14); |
| 4. endfor |
| 5. calculate with Equation (15); |
| 6. for i = 1~N do |
| 7. if RSi > max(, Ts) then |
| 8. mark the website as a “Disqualified ISP”; |
| 9. endfor |
| 10. for every Disqualified ISP do |
| 11. for every Major IP do |
| 12. calculate RS of the IP with Equations (12)–(14); |
| 13. if RS > max(, Ts) then |
| 14. mark the IP as “Disqualified IP”; |
| 15. endfor |
| 16. endfor |
| 17. for every segmented delay {Ddns, Dtcp, Dget, Dres} do |
| 18. calculate RSD for each ISP with Equations (12)–(14); |
| 19. ← weighted mean of RSD w.r.t. no. of samples; |
| 20. if RSD > max(, Ts) then |
| 21. mark the segmented delay as “Disqualified Segmented Delay” of the ISP; |
| 22. endfor |
| 23. for every hour in the day do |
| 24. calculate RS of the hour with Equations (12)–(14); |
| 25. if RS > max(, Ts) then |
| 26. mark the hour as “Disqualified Hour”; |
| 27. endfor |
| 28. for every Major TAC do |
| 29. calculate RS of the TAC with Equations (12)–(14); |
| 30. if RS > max(, Ts) then |
| 31. calculate RRP and RRQ of the TAC; |
| 32. RC ← ; |
| 33. if RC > then |
| 34. mark the TAC as “Disqualified TAC”; |
| 35. endfor |
| 36. for every Major Phone Model do |
| 37. calculate RS of the model with Equations (12)–(14); |
| 38. if RS > max(, Ts) then |
| 39. mark the model as “Disqualified Terminal”; |
| 40. endfor |
| 41. for every Major User do |
| 42. calculate RS of the user with Equations (12)–(14); |
| 43. if RS > max(, Ts) then |
| 44. mark the model as “Disqualified User”; |
| 45. endfor |
| 46. for v = 1~V do |
| 47. calculate by re-labelling all the disqualified samples resulting from the v-th cause of degradation as qualified ones; |
| 48. ← ; |
| 49. endfor |
| 50. ← normalization of ; |
4.2. Determination of Key Parameters
5. Case Study and Discussion
6. Discussion and Conclusions
Author Contributions
Funding
Conflicts of Interest
Acronyms
| OTT | over-the-top |
| MNO | mobile network optimization |
| DT | drive test |
| CQT | call quality test |
| KPI | key performance indicator |
| QoE | quality of experience |
| KQI | key quality indicator |
| QoS | quality of service |
| DPI | deep packet inspection |
| CUP | crowdsourcing-based user perception |
| LTE | long term evolution |
| NPS | net promotion score |
| MCS | mobile crowdsensing |
| APP | application |
| SDK | software development kit |
| OS | operating system |
| UE | user equipment |
| ISP | Internet service provider |
| RAN | radio access network |
| CN | core network |
| IMEI | international mobile equipment identity |
| IMSI | international mobile subscriber identity |
| HTTP | hypertext transfer protocol |
| DNS | domain name system |
| TCP | transmission control protocol |
| RSRP | reference signal received power |
| RSRQ | reference signal received quality |
| TAC | tracking area code |
| RQS | ratio of qualified samples |
| CDN | content distribution network |
| PCC | Pearson correlation coefficient |
| MIC | maximum information coefficient |
| RDS | ratio of disqualified samples |
| MR | measurement report |
References
- Qiao, Z. Smarter Phone based Live QoE Measurement. In Proceeding of the 15th International Conference on Intelligence in Next Generation Networks (ICIN2011), Berlin, Germany, 4–7 October 2011; pp. 64–68. [Google Scholar]
- Huang, F.; Zhou, W.; Du, Y. QoE Issues of OTT Services over 5G Network. In Proceeding of the 9th International Conference on Broadband and Wireless Computing, Communication and Applications (BWCCA2014), Guangzhou, China, 8–10 November 2014; pp. 267–273. [Google Scholar]
- Zheng, K.; Yang, Z.; Zhang, K.; Chatzimisios, P.; Yang, K.; Xiang, W. Big Data Driven Optimization for Mobile Networks towards 5G. IEEE Netw. Mag. 2016, 30, 44–51. [Google Scholar] [CrossRef]
- Kamel, A.; Al-Fuqaha, A.; Guizani, M. Exploiting Client-Side Collected Measurements to Perform QoS Assessment of IaaS. IEEE Trans. Mob. Comp. 2015, 14, 1876–1887. [Google Scholar] [CrossRef]
- Lin, C.; Hu, J.; Kong, X. Overview of QoE modelling and evaluation methods. Chin. J. Comput. 2012, 35, 1–15. [Google Scholar] [CrossRef]
- Aggarwal, V.; Halepovic, E. Prometheus: Toward Quality-of-Experience Estimation for Mobile Apps from Passive Network Measurements. In Proceedings of the ACM HotMobile’2014, Santa Barbara, CA, USA, 26–27 February 2014. [Google Scholar]
- Oyman, O.; Singh, S. Quality of Experience for HTTP Adaptive Streaming Services. IEEE Commun. Mag. 2012, 50, 20–27. [Google Scholar] [CrossRef]
- Singh, K.; Hadjadj-Aoul, Y.; Rubino, G. Quality of Experience estimation for adaptive HTTP/TCP video streaming using H.264/AVC. In Proceedings of the 9th Annual IEEE Consumer Communications and Networking Conference, Las Vegas, NV, USA, 14–17 January 2012; pp. 127–131. [Google Scholar]
- Kumar, S.; Turner, J.; Williams, J. Advanced Algorithms for Fast and Scalable Deep Packet Inspection. In Proceedings of the ACM/IEEE Symposium on Architectures for Networking and Communications Systems, San Jose, CA, USA, 3–5 December 2006; pp. 81–92. [Google Scholar]
- China Telecom. Functional Specification of Mobile Internet Service Perception Test APP; Technical Specification; China Telecom: Beijing, China, 2015. [Google Scholar]
- Zhang, C.; Cheng, W.; Hei, X. Measurement study of 3G mobile networks using android platform. Comput. Sci. 2015, 42, 24–28. (In Chinese) [Google Scholar]
- Naboulsi, D.; Fiore, M.; Ribot, S.; Stanica, R. Large-Scale Mobile Traffic Analysis: A Survey. IEEE Commun. Surv. Tutor. 2016, 18, 124–161. [Google Scholar] [CrossRef]
- China Unicom. NPS Survey Report; Technical Report; China Unicom: Beijing, China, 2015. [Google Scholar]
- Ericsson. Promoting NPS of operators with big data. Telecom Eng. Tech. Stand. Mag. 2015, 28, 92. (In Chinese) [Google Scholar]
- Ganti, R.; Ye, F.; Lei, H. Mobile Crowdsensing: Current state and future challenges. IEEE Commun. Mag. 2011, 49, 32–39. [Google Scholar] [CrossRef]
- Guo, B.; Yu, Z.; Zhou, X.; Zhang, D. From participatory sensing to mobile crowd sensing. In Proceedings of the IEEE International Conference on Pervasive Computing and Communications Workshops (PERCOM Workshops), Budapest, Hungary, 24–28 March 2014; pp. 593–598. [Google Scholar]
- Cardone, G.; Foschini, L.; Bellavista, P.; Corradi, A.; Borcea, C.; Talasila, M.; Curtmola, R. Fostering participaction in smart cities: A geo-social crowdsensing platform. IEEE Commun. Mag. 2013, 51, 112–119. [Google Scholar] [CrossRef]
- Capponi, A.; Fiandrino, C.; Kliazovich, D.; Bouvry, P.; Giordano, S. A cost-effective distributed framework for data collection in cloud-based mobile crowd sensing architectures. IEEE Trans. Sustain. Comput. 2017, 2, 3–16. [Google Scholar] [CrossRef]
- Lane, N.; Chon, Y.; Zhou, L.; Zhang, Y.; Li, F.; Kim, D.; Ding, G.; Zhao, F.; Cha, H. Piggyback CrowdSensing (PCS): Energy efficient crowdsourcing of mobile sensor data by exploiting smartphone app opportunities. In Proceedings of the 11th ACM Conference on Embedded Networked Sensor Systems, Roma, Italy, 11–15 November 2013; pp. 1–14. [Google Scholar]
- Ma, H.; Zhao, D.; Yuan, P. Opportunities in mobile crowd sensing. IEEE Commun. Mag. 2014, 52, 29–35. [Google Scholar] [CrossRef]
- Fiandrino, C.; Kantarci, B.; Anjomshoa, F.; Kliazovich, D.; Bouvry, P.; Matthews, J. Sociability-driven user recruitment in mobile crowdsensing Internet of Things platforms. In Proceedings of the 2016 IEEE Global Communication Conference (GLOBECOM), Washington, DC, USA, 4–8 December 2016; pp. 1–6. [Google Scholar]
- Cardone, G.; Cirri, A.; Corradi, A.; Foschini, L. The participact mobile crowd sensing living lab: The testbed for smart cities. IEEE Commun. Mag. 2014, 52, 78–85. [Google Scholar] [CrossRef]
- Casas, P.; Seufert, M.; Wamser, F.; Gardlo, B.; Sackl, A.; Schatz, R. Next to You: Monitoring Quality of Experience in Cellular Networks from the End-Devices. IEEE Trans. Netw. Serv. Manag. 2016, 13, 181–196. [Google Scholar] [CrossRef]
- Fiedler, M.; Tobias, H.; Phuoc, T. A generic quantitative relationship between quality of experience and quality of service. IEEE Netw. 2010, 24, 36–41. [Google Scholar] [CrossRef]
- Khirman, S.; Henriksen, P. Relationship between quality-of-service and quality-of-experience for public internet service. In Proceeding of the 3rd Workshop on Passive and Active Measurement, Fort Collins, CO, USA, 24–26 March 2002. [Google Scholar]
- Egger, S.; Hossfeld, T.; Schatz, R.; Fiedler, M. Waiting times in quality of experience for web based services. In Proceedings of the 4th International Workshop on Quality of Multimedia Experience (QoMEX), Yarra Valley, Australia, 5–7 July 2012; pp. 86–96. [Google Scholar]
- Gerber, A.; Hajiaghayi, M.; Pei, D.; Sen, S.; Spatscheck, O. To cache or not to cache: The 3G case. IEEE Internet Comput. 2011, 15, 27–34. [Google Scholar]
- Reshef, D.; Reshef, Y.; Finucane, H.; Grossman, S.R.; McVean, G.; Turnbaugh, P.J.; Lander, E.S.; Mitzenmacher, M.; Sabeti, P.C. Detecting Novel Associations in Large Data Sets. Science 2011, 334, 1518–1524. [Google Scholar] [CrossRef] [PubMed]
- Reshef, D.; Reshef, Y.; Finucane, H.; Grossman, S.R.; McVean, G.; Turnbaugh, P.J.; Lander, E.S.; Mitzenmacher, M.; Sabeti, P.C. Supporting Online Material for Detecting Novel Associations in Large Data Sets. 2011. Available online: http://science.sciencemag.org/content/suppl/2011/12/14/334.6062.1518.DC1 (accessed on 1 August 2017).
- Kraskov, A.; Stogbauer, H.; Grassberger, P. Estimating Mutual Information. Phys. Rev. E 2004, 69, 1–16. [Google Scholar] [CrossRef] [PubMed]
- Spellman, P.; Sherlock, G.; Zhang, M.Q.; Iyer, V.R.; Anders, K.; Eisen, M.B.; Brown, P.O.; Botstein, D.; Futcher, B. Comprehensive Identification of Cell Cycle-Regulated Genes of the Yeast Saccharomyces Cerevisiae by Microarray Hybridization. Mol. Biol. Cell 1998, 9, 3273–3278. [Google Scholar] [CrossRef] [PubMed]















| Level of Indices | Type | Index Name |
|---|---|---|
| 4 | Overall | Overall RQS |
| 3 | Network-level | 3G RQS, 4G RQS |
| 2 | Service-level | Web-browsing service RQS, Video service RQS |
| 1 | KQI-level | Fist packet delay RQS, Page delay RQS, Video stalling RQS, Video download rate RQS |
| Sohu (Traditional) | Sohu (OTT) | Tecent (Traditional) | Tecent (OTT) | |
|---|---|---|---|---|
| Home page URL | www.sohu.com | m.sohu.com | www.qq.com | portal.3g.qq.com |
| Size of frame | 179 KB | 72 KB | 228 KB | 123 KB |
| Size of whole page | 1.58 MB | 1.14 MB | 1.69 MB | 383 KB |
| No. of resources | 49 | 13 | 86 | 8 |
| Downloading and rendering strategy | Full page | On-demand | Full page | On-demand |
| Factor | Significance | Range of Influence | Reasons Behind |
|---|---|---|---|
| Access nwk | Large | Medium | Propagation environment, signal strength & quality |
| Core nwk | Small | Large | Malfunction of nodes & links |
| Terminal | Small | Medium to Large | HW configuration & SW capability (incl. OS) |
| User | Small | Small | Individual difference of user habits and psychological anticipation of QoE |
| ISP | Large | Medium to Large | Load, processing capability & bandwidth of CDN nodes |
| Temporal | Medium | Medium | Temporal difference of service demand and network load |
| KQI | Threshold (HTTP) (ms) | Threshold (HTTPS) (ms) |
|---|---|---|
| Dk | 726 | 1049 |
| Ddns | 138 | 68 |
| Dtcp | 79 | 150 |
| Dget | 446 | 865 |
| Parameter | Tm | wk | Ts | |
|---|---|---|---|---|
| Value | 1000 | 20% | 0.3 | 5% |
| ISP | IP of CDN Nodes | Portion of Samples | Service RDS | Disqualified IP | IP Service Provider |
|---|---|---|---|---|---|
| Tecent | 202.100.83.140 | 35% | 2.65% | No | Gansu Telecom |
| 202.100.83.139 | 31% | 2.32% | No | Gansu Telecom | |
| 183.61.38.230 | 13% | 17.98% | Yes | Guangdong Telecom | |
| 14.215.138.13 | 13% | 18.66% | Yes | Guangdong Telecom | |
| Sina | 183.60.93.249 | 71% | 6.96% | Yes | Guangdong Telecom |
| 14.215.135.31 | 26% | 16.89% | Yes | Guangdong Telecom |
| IMSI | Date | Hour | cellID | ISP | |
|---|---|---|---|---|---|
| No. of values | 150 | 31 | 24 | 243 | 9 |
| Avg. proportion for each value | 0.7% | 3.2% | 4.2% | 0.4% | 11.1% |
| Max proportion | 2.9% | 11% | 11.8% | 1.7% | 12.8% |
| Max/Avg. proportion | 4.4 | 3.4 | 2.8 | 4.1 | 1.2 |
| Factors to be Solved | Gain in Overall Service RDS (%) | Normalized FoS |
|---|---|---|
| ISP | 2.44 | 20% |
| IP | 1.20 | 10% |
| DNS | 2.38 | 19% |
| Temporal | 1.85 | 15% |
| TAC | 3.06 | 25% |
| Terminal | 1.43 | 12% |
| User | 0.00 | 0% |
© 2018 by the authors. Licensee MDPI, Basel, Switzerland. This article is an open access article distributed under the terms and conditions of the Creative Commons Attribution (CC BY) license (http://creativecommons.org/licenses/by/4.0/).
Share and Cite
Li, K.; Wang, H.; Xu, X.; Du, Y.; Liu, Y.; Ahmad, M.O. A Crowdsensing Based Analytical Framework for Perceptional Degradation of OTT Web Browsing. Sensors 2018, 18, 1566. https://doi.org/10.3390/s18051566
Li K, Wang H, Xu X, Du Y, Liu Y, Ahmad MO. A Crowdsensing Based Analytical Framework for Perceptional Degradation of OTT Web Browsing. Sensors. 2018; 18(5):1566. https://doi.org/10.3390/s18051566
Chicago/Turabian StyleLi, Ke, Hai Wang, Xiaolong Xu, Yu Du, Yuansheng Liu, and M. Omair Ahmad. 2018. "A Crowdsensing Based Analytical Framework for Perceptional Degradation of OTT Web Browsing" Sensors 18, no. 5: 1566. https://doi.org/10.3390/s18051566
APA StyleLi, K., Wang, H., Xu, X., Du, Y., Liu, Y., & Ahmad, M. O. (2018). A Crowdsensing Based Analytical Framework for Perceptional Degradation of OTT Web Browsing. Sensors, 18(5), 1566. https://doi.org/10.3390/s18051566
