Using a Mobile Device “App” and Proximal Remote Sensing Technologies to Assess Soil Cover Fractions on Agricultural Fields
Abstract
1. Introduction
2. Materials and Methods
2.1. Study Area
2.2. Sampling Design and Field Data Collection Field
2.2.1. Photograph-Grid Method
2.2.2. App Method
2.2.3. Residue Cover Obtained from Digital Photograph-Grid Counting and the App Classification
2.2.4. Crop Residue Cover Estimation Using the Script Method
2.3. Statistical Analysis
3. Results
3.1. App-, Photograph-Grid and Script-Derived Residue Cover
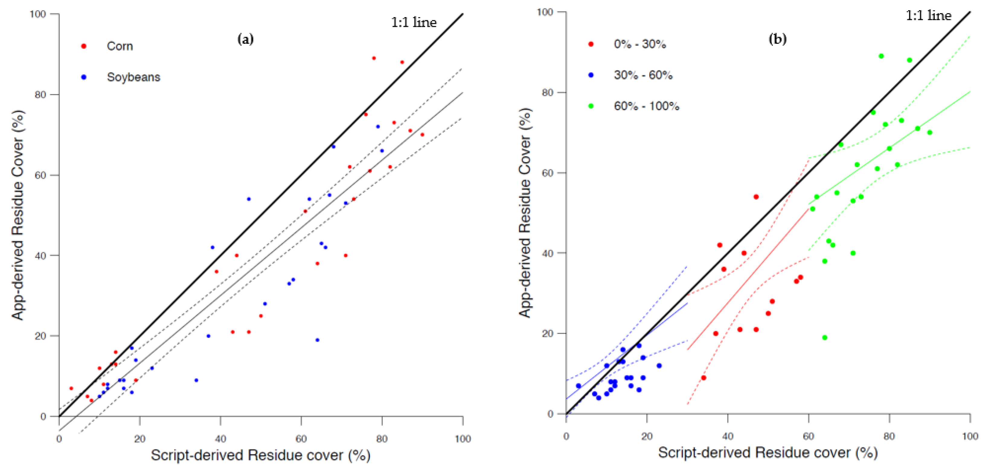
3.2. Relationship between Residue Cover Obtained by App vs. Photograph and Script Methods
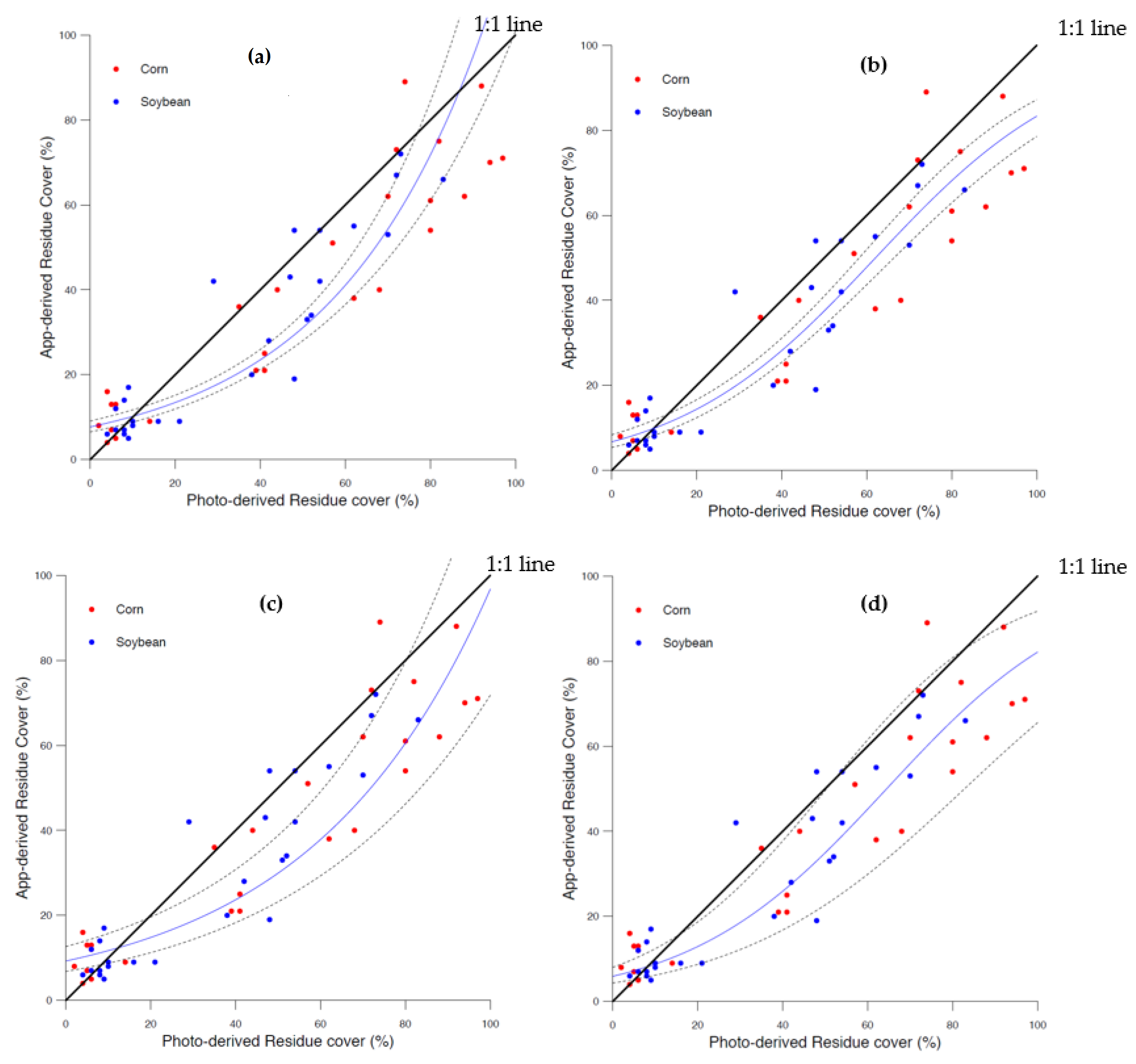
3.3. Exploring Non-Linear Relationship Alternative to Modelling the Residue Cover Data
4. Discussion
5. Conclusions
Acknowledgments
Author Contributions
Conflicts of Interest
Disclaimer
References
- Daughtry, C.S.T.; Hunt, E.R., Jr. Mitigating the effects of soil and residue water contents on remotely sensed estimates of crop residue cover. Remote Sens. Environ. 2008, 112, 1647–1657. [Google Scholar] [CrossRef]
- Kumar, K.; Goh, K.M. Crop residues and management practices: Effects on soil quality, soil nitrogen dynamics, crop yield and nitrogen recovery. Adv. Agron. 1999, 68, 197–319. [Google Scholar]
- Mailapalli, D.R.; Burger, M.; Horwath, W.R.; Wallender, W.W. Crop residue biomass effects on agricultural runoff. Appl. Environ. Soil Sci. 2013, 2013, 805206. [Google Scholar] [CrossRef]
- Enciso, J.; Nelson, S.D.; Perea, H.; Uddameri, V.; Kannan, N.; Gregory, A. Impact of residue management and subsurface drainage on non-point source pollution in the Arroyo Colorado. Sustain. Water Qual. Ecol. 2014, 3–4, 25–32. [Google Scholar] [CrossRef]
- Aguilar, J.; Evans, R.; Daughtry, C.S.T. Performance assessment of the cellulose absorption index method for estimating crop residue cover. J. Soil Water Conserv. 2012, 67, 202–210. [Google Scholar] [CrossRef]
- Molder, B.; Cockburn, J.; Berg, A.; Lindsay, J.; Woodrow, K. Sediment-assisted nutrient transfer from a small, no-till, tile drained watershed in Southwestern Ontario, Canada. Agric. Water Manag. 2015, 152, 31–40. [Google Scholar] [CrossRef]
- Shelton, D.P.; Dickey, E.C.; Jasa, P.J.; Kanable, R.; Smydra Krotz, S. Using the Line-Transect Method to Estimate Percent Residue Cover. Biol. Syst. Eng. 1990, G-20. Available online: https://digitalcommons.unl.edu/biosysengfacpub/289/ (accessed on 21 February 2018).
- Huggins, D.R.; Reganold, J.P. No-till: The quiet revolution. Sci. Am. 2008, 299, 70–77. [Google Scholar] [CrossRef] [PubMed]
- Lal, R. Sequestering carbon and increasing productivity by conservation agriculture. J. Soil Water Conserv. 2015, 70, 55A–62A. [Google Scholar] [CrossRef]
- OMAFRA. Great Lakes Agricultural Stewardship: Helping Ontario Farmers Keep the Great Lakes Healthy. 2015. Available online: https://news.ontario.ca/omafra/en/2015/02/great-lakes-agriculturalstewardship.html (accessed on 21 February 2018).
- Clarke, N.D.; Stone, J.A.; Vyn, T.J. Conservation tillage expert system for southwestern Ontario: Multiple experts and decision techniques. AI Appl. Nat. Resour. Manag. 1990, 4, 78–84. [Google Scholar]
- Patni, N.K.; Masse, L.; Jui, P.Y. Groundwater quality under conventional and no-tillage: I. Nitrate, electrical conductivity and pH. J. Environ. Qual. 1998, 27, 869–877. [Google Scholar] [CrossRef]
- Yang, W.; Sheng, C.; Voroney, P. Spatial targeting of conservation tillage to improve water quality and carbon retention benefits. Can. J. Agric. Econ. 2005, 53, 477–500. [Google Scholar] [CrossRef]
- Kochsiek, A.E.; Knops, J.M.H.; Brassil, C.E.; Arkebauer, T.J. Maize and soybean litter-carbon pool dynamics in three no-till systems. Soil Sci. Soc. Am. J. 2013, 77, 226–236. [Google Scholar] [CrossRef][Green Version]
- Congreves, K.A.; Smith, J.M.; Németh, D.D.; Hooker, D.C.; Van Eerd, L.L. Soil organic carbon and land use: Processes and potential in Ontario’s long-term agro-ecosystem research sites. Can. J. Soil Sci. 2014, 94, 317–336. [Google Scholar] [CrossRef]
- Van Eerd, L.L.; Congreves, K.A.; Hayes, A.; Verhallen, A.; Hooker, D.C. Long-term tillage and crop rotation effects on soil quality, organic carbon and total nitrogen. Can. J. Soil Sci. 2014, 94, 303–315. [Google Scholar] [CrossRef]
- Smith, P.; Martino, D.; Cai, Z.; Gwary, D.; Janzen, H.; Kumar, P.; McCarl, B.; Ogle, S.; O’Mara, F.; Rice, C.; et al. Greenhouse gas mitigation in agriculture. Philos. Trans. R. Soc. 2008, 363, 789–813. [Google Scholar] [CrossRef] [PubMed]
- Ketcheson, J.W.; Stonehouse, D.P. Conservation tillage in Ontario. J. Soil Water Conserv. 1983, 38, 253–254. [Google Scholar]
- Dodd, V.A.; Grace, P.M.; Dickey, E.C.; Shelton, D.P.; Meyer, G.E.; Fairbanks, K.T. Determining crop residue cover with electronic image analysis. Biol. Syst. Eng. 1989, 3057–3063. Available online: https://digitalcommons.unl.edu/biosysengfacpub/238/ (accessed on 21 February 2018).
- Laamrani, A.; Joosse, P.; Feisthauer, N. Determining the number of measurements required to estimate crop residue cover by different methods. Soil Water Conserv. 2017, 72, 471–479. [Google Scholar] [CrossRef]
- Pacheco, A.; McNairn, H. Evaluating multispectral remote sensing and spectral unmixing analysis for crop residue mapping. Remote Sens. Environ. 2010, 114, 2219–2228. [Google Scholar] [CrossRef]
- Dehnen-Schmutz, K.; Foster, G.L.; Owen, L.; Persello, S. Exploring the role of smartphone technology for citizen science in agriculture. Agron. Sustain. Dev. 2016, 36, 1–9. [Google Scholar] [CrossRef]
- Statistics Canada. Table 004-0243—Census of Agriculture, Farms Reporting Technologies in the Year Prior to the Census. 2016. Available online: http://www5.statcan.gc.ca/cansim/a26?lang=eng&retrLang=eng&id=0040243&tabMode=dataTable&p1=-1&p2=11&srchLan=-1 (accessed on 22 February 2018).
- Booth, T.D.; Cox, S.E.; Berryman, R.D. Point sampling digital imagery with “SamplePoint”. Environ. Monit. Assess. 2006, 123, 97–108. [Google Scholar] [CrossRef] [PubMed]
- Lynch, T.M.H.; Barth, S.; Dix, P.J.; Grogan, D.; Grant, J.; Grant, O.M. Ground Cover Assessment of Perennial Ryegrass Using Digital Imaging. Agron. J. 2015, 107, 2347–2352. [Google Scholar] [CrossRef]
- Patrignani, A.; Ochsner, T.E. Canopeo: A Powerful New Tool for Measuring Fractional Green Canopy Cover. Agron. J. 2015, 107, 312–2320. [Google Scholar] [CrossRef]
- Karcher, D.E.; Richardson, M.D. Batch Analysis of Digital Images to Evaluate Turfgrass Characteristics. Crop Sci. 2005, 45, 1536–1539. [Google Scholar] [CrossRef]
- Confalonieri, R.; Foi, M.; Casa, R.; Aquaro, S.; Tona, E.; Peterle, M.; Boldini, A.; De Carli, G.; Ferrari, A.; Finotto, G.; et al. Development of an app for estimating leaf area index using a smartphone. Trueness and precision determination and comparison with other indirect methods. Field Crops Res. 2013, 96, 67–74. Available online: http://dx.doi.org/10.1016/j.compag.2013.04.019 (accessed on 21 February 2018). [CrossRef]
- Campos-Taberner, M.; Garcia-Haro, F.; Moreno, A.; Gilabert, M.; Sanchez-Ruiz, S.; Martinez, B.; Camps-Valls, G. Mapping leaf area index with a smartphone and Gaussian processes. IEEE Geosci. Remote Sens. Lett. 2015, 12, 2501–2505. [Google Scholar] [CrossRef]
- Vesali, F.; Omid, M.; Mobli, H.; Kaleita, A. Feasibility of using smart phones to estimate chlorophyll content in corn plants. Photosynthetica 2017, 55, 603–610. [Google Scholar] [CrossRef]
- Salk, C.F.; Sturn, T.; See, L.; Fritz, S.; Perger, C. Assessing quality of volunteer crowdsourcing contributions: Lessons from the Cropland Capture game. Int. J. Digit. Earth 2016, 9, 410–426. [Google Scholar] [CrossRef]
- Molinier, M.; López-Sánchez, C.A.; Toivanen, T.; Korpela, I.; Corral-Rivas, J.J.; Tergujeff, R.; Häme, T. Relasphone-Mobile and Participative In Situ Forest Biomass Measurements Supporting Satellite Image Mapping. Remote Sens. 2016, 8, 869. [Google Scholar] [CrossRef]
- FieldTRAKS Solutions. © FieldTRAKS Solutions 2004–2016. Available online: http://www.fieldtraks.ca/ (accessed on 15 January 2018).
- Kludze, H.; Deen, B.; Dutta, A. Report on Literature Review of Agronomic Practices for Energy Crop Production under Ontario Conditions. 2011, pp. 494–504. Available online: https://ofa.on.ca/uploads/userfiles/files/u%20of%20g%20ofa%20project-final%20report%20july%2004-2011%20 (accessed on 15 January 2018).
- Kludze, H.; Deen, B.; Weersink, A.; van Acker, R.; Janovicek, K.; De Laporte, A.; McDonald, A. Estimating sustainable crop residue removal rates and costs based on soil organic matter dynamics and rotational complexity. Biomass Bioenergy 2013, 56, 607–618. [Google Scholar] [CrossRef]
- Rasmussen, J.; Norremark, M.; Bibby, B.M. Assessment of leaf cover and crop soil cover in weed harrowing research using digital images. Weed Res. 2007, 47, 299–310. [Google Scholar] [CrossRef]
- Shelton, D.P.; Kanable, R.; Jasa, P.J. Estimating Percent Residue Cover Using the Line-Transect Method. Bol. Syst. Eng. 1993. Available online: digitalcommons.unl.edu/cgi/viewcontent.cgi?article=1255&context=biosysengfacpub (accessed on 21 February 2018).
- R Development Core Team. A Language and Environment for Statistical Computing. 2011. Available online: http://www.R-project.org/ (accessed on 15 January 2018).
- Hilbe, J.M. Modeling Count Data; Cambridge University Press: New York, NY, USA, 2014; Chapter 9. [Google Scholar]
- Singh, K.P.; Famoye, F. Analysis of Rates Using a Generalized Poisson Regression Model. Biom J. 1993, 35, 917–923. [Google Scholar] [CrossRef]
- Smithson, M.; Verkuilen, J. A Better Lemon Squeezer? Maximum-Likelihood Regression with Beta-Distributed Dependent Variables. Psychol. Methods 2006, 11, 54–71. [Google Scholar] [CrossRef] [PubMed]
- Cribari-neto, F.; Zeileis, A. Beta Regression in R. J. Stat. Softw. 2010, 34, 1–24. [Google Scholar] [CrossRef]
- Ryu, D.; Famiglietti, J.S. Characterization of footprint-scale surface soil moisture variability using Gaussian and beta distribution functions during the Southern Great Plains 1997 (SGP97) hydrology experiment. Water Resour. Res. 2005, 41, 1–13. [Google Scholar] [CrossRef]
- Ferrari, S.; Cribari-neto, F.; Ferrari, S.L.P.; Cribari-neto, F. Beta Regression for Modelling Rates and Proportions. J. Appl. Stat. 2004, 31, 799–815. [Google Scholar] [CrossRef]






| Plot ID | Type | Photograph-Grid-Derived | Script-Derived | App-Derived | ||||||
|---|---|---|---|---|---|---|---|---|---|---|
| Mean | Range | SE | Mean | Range | SE | Mean | Range | SE | ||
| 1 | CR | 4 | 2–5 | 0.9 | 9 | 3–14 | 3.3 | 9 | 7–13 | 2.1 |
| 2 | CR | 5 | 4–6 | 0.7 | 12 | 10–14 | 1.3 | 14 | 12–16 | 1.3 |
| 3 | CR | 8 | 4–14 | 3.1 | 11 | 7–19 | 3.8 | 6 | 4–9 | 1.3 |
| 4 | CR | 47 | 35–62 | 8.1 | 49 | 39–64 | 7.6 | 38 | 36–40 | 1.1 |
| 5 | CR | 49 | 39–68 | 9.5 | 54 | 43–71 | 8.7 | 27 | 21–40 | 6.4 |
| 6 | CR | 59 | 41–80 | 11.3 | 61 | 50–73 | 6.6 | 43 | 25–54 | 9.3 |
| 7 | CR | 74 | 70–80 | 2.9 | 77 | 72–83 | 3.2 | 65 | 61–73 | 3.7 |
| 8 | CR | 87 | 82–92 | 2.9 | 81 | 76–85 | 2.6 | 75 | 62–88 | 7.7 |
| 9 | CR | 88 | 74–97 | 7.2 | 85 | 78–90 | 3.6 | 77 | 70–89 | 6.3 |
| 10 | SB | 7 | 6–8 | 0.5 | 15 | 12–18 | 1.8 | 7 | 6–7 | 0.5 |
| 11 | SB | 8 | 6–10 | 1.0 | 18 | 8–14 | 1.6 | 11 | 8–14 | 1.6 |
| 12 | SB | 11 | 4–21 | 5.1 | 21 | 11–34 | 6.8 | 11 | 6–17 | 3.5 |
| 11 | SB | 12 | 9–16 | 2.2 | 14 | 10–16 | 1.9 | 8 | 5–9 | 1.2 |
| 14 | SB | 38 | 29–48 | 5.6 | 41 | 37–47 | 3.2 | 39 | 20–54 | 10.2 |
| 15 | SB | 48 | 42–52 | 3.1 | 55 | 51–58 | 2.2 | 32 | 28–34 | 1.7 |
| 16 | SB | 58 | 48–73 | 7.7 | 68 | 62–79 | 5.4 | 48 | 19–72 | 15.6 |
| 17 | SB | 59 | 47–70 | 6.6 | 68 | 65–71 | 1.8 | 50 | 43–55 | 3.6 |
| 18 | SB | 70 | 54–83 | 8.5 | 71 | 66–80 | 4.4 | 58 | 42–67 | 8.1 |
| Residue | n | Photograph-Grid-Derived | Script-Derived | App-Derived | ||||||
|---|---|---|---|---|---|---|---|---|---|---|
| Mean | Range | SE | Mean | Range | SE | Mean | Range | SE | ||
| All | 54 | 41 | 2-97 | 4.1 | 45 | 3–90 | 3.8 | 34 | 4–89 | 3.5 |
| Corn | 27 | 47 | 2–97 | 6.5 | 49 | 3–90 | 5.9 | 39 | 4–89 | 5.3 |
| Soybean | 27 | 35 | 4–83 | 4.9 | 41 | 10–80 | 4.7 | 29 | 5–72 | 4.3 |
| Low | 22 | 9 | 2–29 | 1.3 | 16 | 3–38 | 1.7 | 11 | 4–42 | 1.7 |
| Medium | 15 | 46 | 35–57 | 1.7 | 53 | 37–66 | 2.5 | 35 | 19–54 | 3.2 |
| High | 17 | 77 | 62–97 | 2.6 | 77 | 64–90 | 1.8 | 64 | 38–89 | 3.4 |
| ≥30% | 32 | 63 | 35–97 | 3.2 | 65 | 37–90 | 2.6 | 50 | 19–89 | 3.5 |
| Residue | n | App vs. Photograph-Grid | App vs. Script | ||||||||||
|---|---|---|---|---|---|---|---|---|---|---|---|---|---|
| R2 | P | m | b | RMSE | Bias | R2 | P | m | b | RMSE | Bias | ||
| All | 54 | 0.86 | 0.00 * | 0.77 | 2.84 | 13.3 | −6.3 | 0.84 | 0.00 * | 0.84 | −3.45 | 15.4 | −10.8 |
| Corn | 27 | 0.86 | 0.00 * | 0.76 | 4.06 | 15.0 | −7.4 | 0.86 | 0.00 * | 0.84 | −1.77 | 14.7 | −9.6 |
| Soybean | 27 | 0.85 | 0.00 * | 0.80 | 1.59 | 11.2 | −5.3 | 0.79 | 0.00 * | 0.81 | −4.05 | 16.2 | −12.0 |
| Low | 22 | 0.40 | 0.00 † | 0.81 | 3.80 | 6.5 | 2.1 | 0.45 | 0.00 * | 0.66 | 0.63 | 7.9 | −4.6 |
| Medium | 15 | 0.40 | 0.00 ‡ | 1.18 | −19.47 | 14.6 | −11.2 | 0.13 | 0.17 | 0.47 | 9.81 | 21.8 | −18.0 |
| High | 17 | 0.27 | 0.03 ‡ | 0.70 | 10.40 | 17.7 | −13.0 | 0.43 | 0.00 † | 1.25 | −31.67 | 16.2 | −12.3 |
| ≥30% | 32 | 0.70 | 0.00 * | 0.91 | −6.73 | 16.4 | −12.1 | 0.65 | 0.00 * | 1.09 | −20.8 | 19.0 | −15.0 |
| Regression | App vs. Photograph-Grid | App vs. Script | ||||||
|---|---|---|---|---|---|---|---|---|
| R2 | P-Value | m (× 10−2) | b | R2 | P-Value | m (× 10–2) | b | |
| Log Transform | 0.84 | 0.00 * | 2.79 | 2.04 | 0.86 | 0.00 * | 3.11 | 1.78 |
| Logit Transform | 0.86 | 0.00 * | 4.24 | −2.63 | 0.86 | 0.00 * | 4.66 | −3.00 |
| Generalized Poisson | N/A | 0.00 * | 2.35 | 1.73 | N/A | 0.00 * | 2.79 | 1.50 |
| Beta | 0.86 ** | 0.00 * | 3.94 | −2.43 | 0.86 ** | 0.00 * | 4.29 | −2.77 |
© Her Majesty the Queen in Right of Canada as represented by the Minister of Agriculture and Agri-Food. Licensee MDPI, Basel, Switzerland. This article is an open access article distributed under the terms and conditions of the Creative Commons by Attribution (CC BY-NC-ND 4.0) license (https://creativecommons.org/licenses/by-nc-nd/4.0/).
Share and Cite
Laamrani, A.; Pardo Lara, R.; Berg, A.A.; Branson, D.; Joosse, P. Using a Mobile Device “App” and Proximal Remote Sensing Technologies to Assess Soil Cover Fractions on Agricultural Fields. Sensors 2018, 18, 708. https://doi.org/10.3390/s18030708
Laamrani A, Pardo Lara R, Berg AA, Branson D, Joosse P. Using a Mobile Device “App” and Proximal Remote Sensing Technologies to Assess Soil Cover Fractions on Agricultural Fields. Sensors. 2018; 18(3):708. https://doi.org/10.3390/s18030708
Chicago/Turabian StyleLaamrani, Ahmed, Renato Pardo Lara, Aaron A. Berg, Dave Branson, and Pamela Joosse. 2018. "Using a Mobile Device “App” and Proximal Remote Sensing Technologies to Assess Soil Cover Fractions on Agricultural Fields" Sensors 18, no. 3: 708. https://doi.org/10.3390/s18030708
APA StyleLaamrani, A., Pardo Lara, R., Berg, A. A., Branson, D., & Joosse, P. (2018). Using a Mobile Device “App” and Proximal Remote Sensing Technologies to Assess Soil Cover Fractions on Agricultural Fields. Sensors, 18(3), 708. https://doi.org/10.3390/s18030708

