Characterization of the Body-to-Body Propagation Channel for Subjects during Sports Activities
Abstract
:1. Introduction
2. Measurement Campaign
3. Measurement Results and Analysis
3.1. The Time Series
3.2. The Auto-Correlation Function
3.3. The Power Spectral Density
4. The Channel Model
5. Performance Analysis
5.1. Channel Capacity
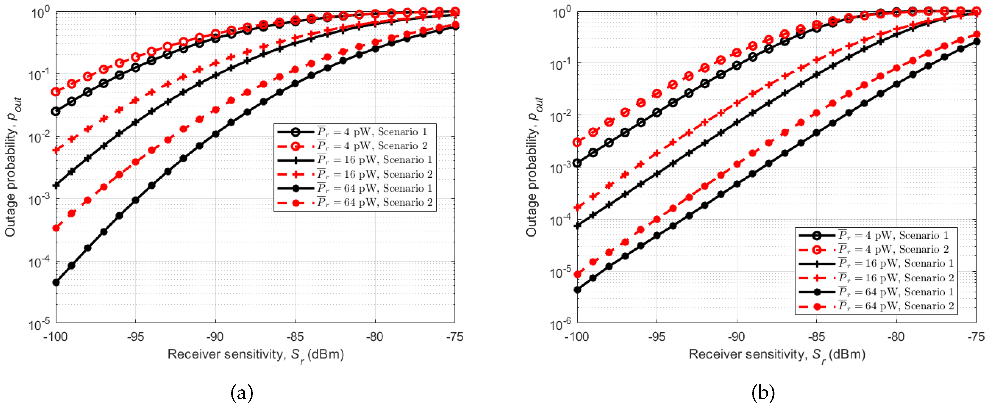
5.2. Outage Probability
6. Conclusions
Acknowledgments
Author Contributions
Conflicts of Interest
References
- Cavallari, R.; Martelli, F.; Rosini, R.; Buratti, C.; Verdone, R. A Survey on Wireless Body Area Networks: Technologies and Design Challenges. IEEE Commun. Surv. Tutor. 2014, 16, 1635–1657. [Google Scholar] [CrossRef]
- Heaney, S.F.; Scanlon, W.G.; Garcia-Palacios, E. Effect of environmental multipath on line of sight body to body communication at 2.45 GHz. In Proceedings of the Antennas and Propagation Conference (LAPC), Loughborough, UK, 12–13 November 2012; pp. 1–4. [Google Scholar]
- Cotton, S.L.; McKernan, A.; Scanlon, W.G. Received signal characteristics of outdoor body-to-body communications channels at 2.45 GHz. In Proceedings of the Antennas and Propagation Conference (LAPC), Loughborough, UK, 14–15 November 2011; pp. 1–4. [Google Scholar]
- Rosini, R.; Verdone, R.; D’Errico, R. Body-to-body indoor channel modeling at 2.45 GHz. IEEE Trans. Antennas Propag. 2014, 62, 5807–5819. [Google Scholar] [CrossRef]
- Alam, M.M.; Ben Hamida, E.; Ben Arbia, D.; Maman, M.; Mani, F.; Denis, B.; D’Errico, R. Realistic Simulation for Body Area and Body-To-Body Networks. Sensors 2016, 16, 561. [Google Scholar] [CrossRef] [PubMed]
- Cotton, S.L. Shadowed fading in body-to-body communications channels in an outdoor environment at 2.45 GHz. In Proceedings of the Topical Conference on Antennas and Propagation in Wireless Communications (APWC), Palm Beach, FL, USA, 3–9 August 2014; pp. 249–252. [Google Scholar]
- Cotton, S.L.; Scanlon, W.G.; McKernan, A. Improving signal reliability in outdoor body-to-body communications using front and back positioned antenna diversity. In Proceedings of the 6th European Conference on Antennas and Propagation (EUCAP), Prague, Czech Republic, 26–30 March 2012; pp. 3393–3396. [Google Scholar]
- Kumpuniemi, T.; Hamalainen, M.; Yazdandoost, K.Y.; Iinatti, J. Human Body Shadowing Effect on Dynamic UWB On-Body Radio Channels. IEEE Antennas Wirel. Propag. Lett. 2017, 16, 1871–1874. [Google Scholar] [CrossRef]
- Texas Instruments. CC2500 Low-Cost Low-Power 2.4 GHz RF Transceiver. Available online: http://www.ti.com/product/CC2500 (accessed on 15 February 2018).
- Smith, D.; Zhang, J.; Hanlen, L.; Miniutti, D.; Rodda, D.; Gilbert, B. Temporal correlation of dynamic on-body area radio channel. Electron. Lett. 2009, 45, 1212–1213. [Google Scholar] [CrossRef]
- Smith, D.B.; Miniutti, D.; Lamahewa, T.A.; Hanlen, L.W. Propagation models for body-area networks: A survey and new outlook. IEEE Antennas Propag. Mag. 2013, 55, 97–117. [Google Scholar] [CrossRef]
- Hanlen, L.; Chaganti, V.; Gilbert, B.; Rodda, D.; Lamahewa, T.; Smith, D. Open-source testbed for body area networks: 200 sample/sec, 12 hrs continuous measurement. In Proceedings of the 21st International Symposium on Personal, Indoor and Mobile Radio Communications Workshops (PIMRC Workshops), Instanbul, Turkey, 26–30 September 2010; pp. 66–71. [Google Scholar]
- Rappaport, T.S. Wireless Communications: Principles and practice. In Wireless Communications: Principles and practice, solutions manual; Rong, Z., Rappaport, T.S., Eds.; Prentice Hall: Upper Saddle River, NJ, USA, 1996. [Google Scholar]
- Andersen, J.B.; Nielsen, J.O.; Pedersen, G.F.; Bauch, G.; Dietl, G. Doppler spectrum from moving scatterers in a random environment. IEEE Trans. Wirel. Commun. 2009, 8. [Google Scholar] [CrossRef]
- Liu, L.; D’Errico, R.; Ouvry, L.; De Doncker, P.; Oestges, C. Dynamic channel modeling at 2.4 GHz for on-body area networks. Adv. Electron. Telecomm. 2011, 2, 18–27. [Google Scholar]
- D’Errico, R.; Ouvry, L. Doppler characteristics and correlation proprieties of on-body channels. In Proceedings of the 5th European Conference on Antennas and Propagation (EUCAP), Rome, Italy, 11–15 April 2011; pp. 2977–2981. [Google Scholar]
- Lutz, E.; Cygan, D.; Dippold, M.; Dolainsky, F.; Papke, W. The land mobile satellite communication channel-recording, statistics, and channel model. IEEE Trans. Vehicular Technol. 1991, 40, 375–386. [Google Scholar] [CrossRef]
- Braten, L.E.; Tjelta, T. Semi-Markov multistate modeling of the land mobile propagation channel for geostationary satellites. IEEE Trans. Antennas Propag. 2002, 50, 1795–1802. [Google Scholar] [CrossRef]
- Burnham, K.P.; Anderson, D.R. Multimodel inference: understanding AIC and BIC in model selection. Sociol. Meth. Res. 2004, 33, 261–304. [Google Scholar] [CrossRef]
- Aragon-Zavala, A. Antennas and Propagation for Wireless Communication Systems; John Wiley & Sons: Hoboken, NJ, USA, 2008. [Google Scholar]
- Fontán, F.P.; Espiñeira, P.M. Modelling the Wireless Propagation Channel: A Simulation Approach with MATLAB; John Wiley & Son: Hoboken, NJ, USA, 2008. [Google Scholar]
- Cheffena, M. Performance evaluation of wireless body sensors in the presence of slow and fast fading effects. IEEE Sens. J. 2015, 15, 5518–5526. [Google Scholar] [CrossRef]
- Goldsmith, A. Wireless Communications; Cambridge University Press: Cambridge, UK, 2005. [Google Scholar]















| Coherence Time (ms) | ||
|---|---|---|
| Scenario | Running | Cycling |
| Scenario 1 | 48 | 80 |
| Scenario 2 | 48 | 92 |
| Parameters | Scenario 1 | Scenario 2 |
|---|---|---|
| Good | Lognormal | Lognormal |
| distribution, | ||
| Bad | Lognormal | Lognormal |
| distribution, | ||
| Large-scale | Lognormal | Lognormal |
| distribution, L | ||
| Good period, | 312 ms | 256 ms |
| Bad period, | 392 ms | 432 ms |
| Filter order | First | First |
| Cutoff frequency, | 8 Hz | 15 Hz |
| Parameters | Scenario 1 | Scenario 2 |
|---|---|---|
| Good | Nakagami-m | Lognormal |
| distribution, | ||
| Bad | Nakagami-m | Lognormal |
| distribution, | ||
| Large-scale | Lognormal | Lognormal |
| distribution, L | ||
| Good period, | 436 ms | 376 ms |
| Bad period, | 460 ms | 392 ms |
| Filter order | Third | Third |
| Cutoff frequency, | 45 Hz | 50 Hz |
| Parameter | Value |
|---|---|
| Average received power () | [4 16 64] pW |
| Boltzmann constant (k) | 1.38 × 10−23 JK−1 |
| Temperature in Kelvin (T) | 290 K |
| Noise bandwidth (B) | 300 kHz |
| Receiver noise figure () | 6.3 |
© 2018 by the authors. Licensee MDPI, Basel, Switzerland. This article is an open access article distributed under the terms and conditions of the Creative Commons Attribution (CC BY) license (http://creativecommons.org/licenses/by/4.0/).
Share and Cite
Mohamed, M.; Cheffena, M.; Moldsvor, A. Characterization of the Body-to-Body Propagation Channel for Subjects during Sports Activities. Sensors 2018, 18, 620. https://doi.org/10.3390/s18020620
Mohamed M, Cheffena M, Moldsvor A. Characterization of the Body-to-Body Propagation Channel for Subjects during Sports Activities. Sensors. 2018; 18(2):620. https://doi.org/10.3390/s18020620
Chicago/Turabian StyleMohamed, Marshed, Michael Cheffena, and Arild Moldsvor. 2018. "Characterization of the Body-to-Body Propagation Channel for Subjects during Sports Activities" Sensors 18, no. 2: 620. https://doi.org/10.3390/s18020620
APA StyleMohamed, M., Cheffena, M., & Moldsvor, A. (2018). Characterization of the Body-to-Body Propagation Channel for Subjects during Sports Activities. Sensors, 18(2), 620. https://doi.org/10.3390/s18020620

