Detection-Response Task—Uses and Limitations
Abstract
:1. Introduction
2. Detection-Response Task
2.1. Factors Influencing the Response Time
2.2. DRT Versions and Types of Stimuli
2.3. Choosing the Right DRT Version (Relationship between the DRT Version and the Secondary Task)
- -
- visual-manual tasks: typical interaction with in-vehicle infotainment systems (IVIS) where the information is shown visually and the device is operated manually (e.g., head-down or head-up displays operated through a touchscreen or various buttons and levers in the cockpit);
- -
- pure cognitive tasks: in-vehicle tasks where information is presented auditorily and responses are given vocally (e.g., navigation device operated through speech commands or simple phone conversations based on hands-free systems).
2.4. Response to the Stimulus
2.5. DRT Intrusiveness
- -
- psychophysical response (i.e., pupil dilation),
- -
- driving performance (i.e., acceleration and lane deviation/departure), and
- -
- secondary task performance (i.e., performance of the secondary cognitive task, success rate and task completion times).
- driving
- driving and a cognitive task (n-back task)
- driving and RDRT
- driving and RDRT, and a cognitive task (n-back task)
- driving and TDRT
- driving and TDRT, and a cognitive task (n-back task)
- driving and ADRT
- driving and ADRT, and a cognitive task (n-back task).
2.5.1. DRT Intrusiveness on Driving Performance
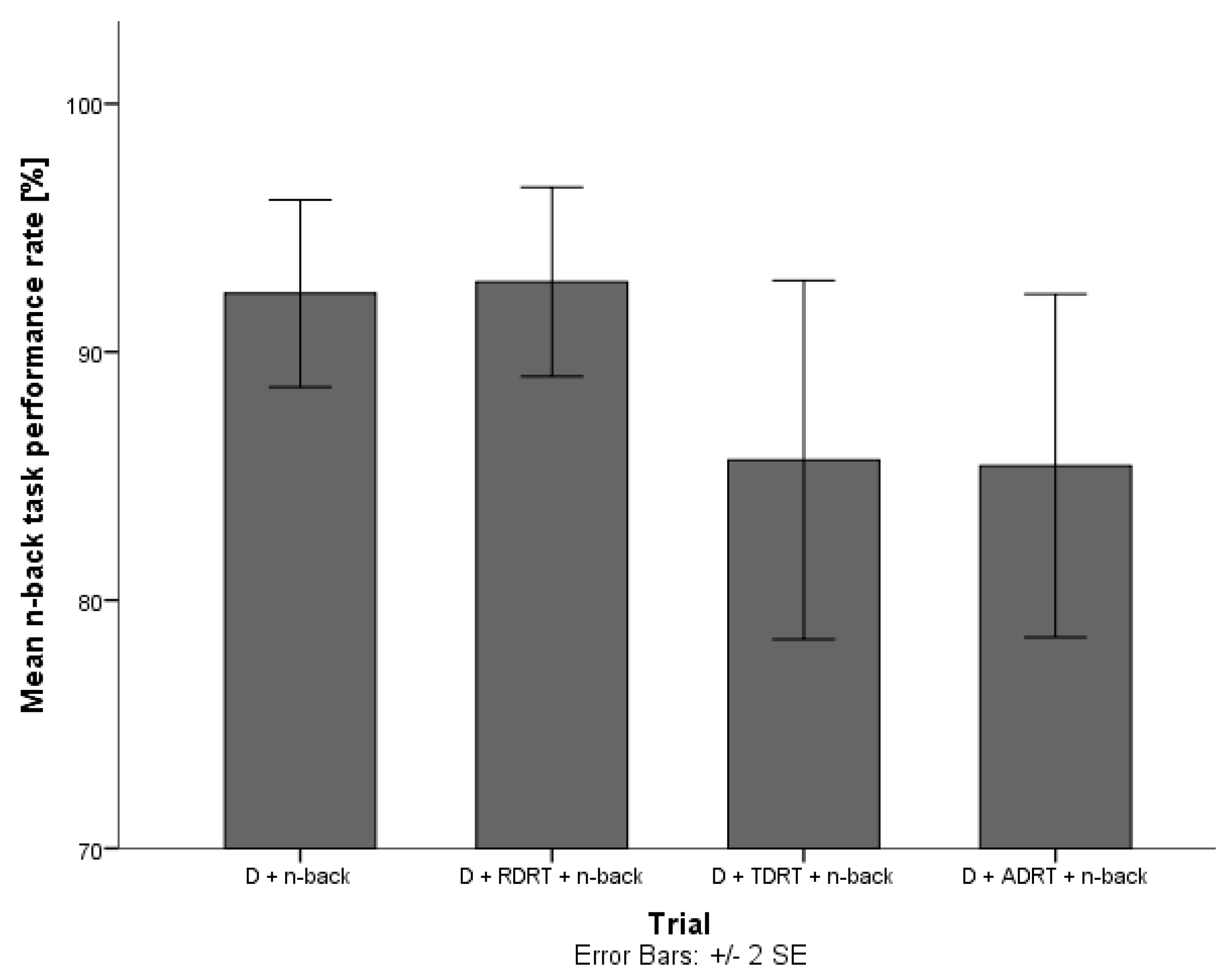
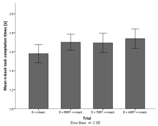
2.5.2. DRT Intrusiveness on Secondary Task Performance
3. Alternative Methods for the Assessment of Driver’ Cognitive Distraction
4. Conclusions
Acknowledgments
Conflicts of Interest
References
- NHTSA. Distracted Driving. Available online: https://www.nhtsa.gov/risky-driving/distracted-driving (accessed on 8 November 2017).
- Regan, M.A.; Hallett, C.; Gordon, C.P. Driver distraction and driver inattention: Definition, relationship and taxonomy. Accid. Anal. Prev. 2011, 43, 1771–1781. [Google Scholar] [CrossRef] [PubMed]
- Young, K.; Regan, M.; Hammer, M. Driver distraction: A review of the literature. In Distracted Driving; Australasian College of Road Safety: Sydney, Australia, 2007; pp. 379–405. [Google Scholar]
- Lee, J.D.; Young, K.L.; Regan, M.A. Defining driver distraction. In Driver Distraction: Theory, Effects, and Mitigation; CRC Press: Boca Raton, FL, USA, 2008; Volume 13, pp. 31–40. [Google Scholar]
- James, W. The Principle of Psychology; Holt: New York, NY, USA, 1890. [Google Scholar]
- Recarte, M.A.; Nunes, L.M. Mental workload while driving: Effects on visual search, discrimination, and decision making. J. Exp. Psychol. Appl. 2003, 9, 119. [Google Scholar] [CrossRef] [PubMed]
- Wilson, F.A.; Stimpson, J.P. Trends in fatalities from distracted driving in the United States, 1999 to 2008. Am. J. Public Health 2010, 110, 2213–2219. [Google Scholar] [CrossRef] [PubMed]
- Paas, F.; Tuovinen, J.E.; Tabbers, H.; Van Gerven, P.W. Cognitive load measurement as a means to advance cognitive load theory. Educ. Psychol. 2003, 38, 63–71. [Google Scholar] [CrossRef]
- ISO (International Organization for Standardization). Road Vehicles—Transport Information and Control Systems—Detection-Response Task (DRT) for Assessing Attentional Effects of Cognitive Load in Driving; ISO: Geneva, Switzerland, 2016; p. 17488. [Google Scholar]
- Stojmenova, K.; Sodnik, J. Validation of the Auditory Detection-Response Task Method for Assessing the Attentional Effects of Cognitive Load. Traffic Injury Prev. 2018; accepted for publication. [Google Scholar]
- Woodworth, R.S. Experimental Psychology; Oxford and IBH Publishing: New Delhi, India, 1954. [Google Scholar]
- Kemp, B.J. Reaction time of young and elderly subjects in relation to perceptual deprivation and signal-on versus signal-off condition. Dev. Psychol. 1973, 8, 268–272. [Google Scholar] [CrossRef]
- Marshall, W.H.; Talbot, S.A.; Ades, H.W. Cortical response of the anaesthesized cat to gross photic and electrical afferent stimulation. J. Neurophysiol. 1943, 6, 1–15. [Google Scholar] [CrossRef]
- Robinson, E.S. Work of the integrated organism. In Handbook of General Experimental Psychology; Murchison, C., Ed.; Clark University Press: Worcester, MA, USA, 1934. [Google Scholar]
- Chocholle, R. Variation des temps de réaction auditifs en fonction de l’intensité à diverses fréquences [Variation of auditory reaction times as a function of intensity at various frequencies]. Année Psychol. 1940, 41, 65–124. [Google Scholar] [CrossRef]
- Kohfeld, D.L.; Santee, J.L.; Wallace, N.D. Loudness and reaction time: I. Atten. Percept. Psychophys. 1981, 29, 535–549. [Google Scholar] [CrossRef]
- Nissen, M.J. Stimulus intensity and information processing. Atten. Percept. Psychophys. 1977, 22, 338–352. [Google Scholar] [CrossRef]
- Stojmenova, K.; Policardi, F.; Sodnik, J. On the selection of stimulus for the Auditory Variant of the Detection Response Task Method for driving experiments. Traffic Injury Prev. 2017, 19, 23–27. [Google Scholar] [CrossRef] [PubMed]
- Van Winsum, W.; Martens, M.; Herland, L. The Effects of Speech versus Tactile Driver Support Messages on Workload, Driver Behaviour and User Acceptance; TNO-Report; TNO Human Factors Research Institute: Soesterberg, The Netherlands, 1999. [Google Scholar]
- Martens, M.H.; Van Winsum, W. Measuring Distraction: The Peripheral Detection Task; TNO-Report; TNO Human Factors Research Institute: Soesterberg, The Netherlands, 2000. [Google Scholar]
- Olsson, S.; Burns, P.C. Measuring Driver Visual Distraction with a Peripheral Detection Task; Technical Report; National Highway Traffic Safety Administration: Washington, DC, USA, 2000.
- Merat, N.; Johansson, E.; Engström, J.; Chin, E.; Nathan, F.; Victor, T. Specification of a Secondary Task to Be Used in Safety Assessment of IVIS. AIDE Deliverable 2.2.3, IST-1-507674-IP. European Commission. 2006. Available online: http://www.aide-eu.org/pdf/sp2_deliv_new/aide_d2_2_3.pdf (accessed on 1 December 2017).
- Ranney, T.A.; Baldwin, G.H.; Parmer, E.; Domeyer, J.; Martin, J.; Mazzae, E.N. Developing a Test to Measure Distraction Potential of in-Vehicle Information System Tasks in Production Vehicles; No. HS-811 463; Highway Traffic Safety Administration: Washington, DC, USA, 2011.
- Čegovnik, T.; Stojmenova, K.; Jakus, G.; Sodnik, J. An analysis of the suitability of a low-cost eye tracker for assessing the cognitive load of drivers. Appl. Ergon. 2018, 68, 1–11. [Google Scholar] [CrossRef] [PubMed]
- Stojmenova, K.; Jakus, G.; Sodnik, J. Sensitivity evaluation of the visual, tactile, and auditory detection response task method while driving. Traffic Injury Prev. 2017, 18, 431–436. [Google Scholar] [CrossRef] [PubMed]
- Merat, N.; Jamson, A.; Leeds, U. Multisensory signal detection: How does driving and IVIS management affect performance? In Proceedings of the 4th International Driving Symposium on Human Factors in Driver Assessment, Training and Vehicle Design, Iowa City, IA, USA, 9–12 July 2007; pp. 351–357. [Google Scholar]
- Merat, N.; Jamson, A.H. The effect of stimulus modality on signal detection: Implications for assessing the safety of in-vehicle technology. Hum. Factors 2008, 50, 145–158. [Google Scholar] [CrossRef] [PubMed]
- Fastl, H.; Zwicker, E. Psychoacoustics: Facts and Models; Springer Science & Business Media: Berlin, Germany, 2006. [Google Scholar]
- ISO (International Organization for Standardization). Road Vehicles—Ergonomic Aspects of Transport Information and Control Systems—Calibration Tasks for Methods which Assess Driver Demand Due to the Use of In-Vehicle Systems; ISO: Geneva, Switzerland, 2012; ISO standard number 14198. [Google Scholar]
- Young, R.A.; Hsieh, L.; Seaman, S. The tactile detection response task: Preliminary validation for measuring the attentional effects of cognitive load. In Proceedings of the 7th International Driving Symposium on Human Factors in Driver Assessment, Training and Vehicle Design, Bolton Landing, NY, USA, 17–20 June 2013. [Google Scholar]
- Mehler, B.; Reimer, B.; Dusek, J.A. MIT AgeLab Delayed Digit Recall Task (n-Back); Massachusetts Institute of Technology: Cambridge, MA, USA, 2011. [Google Scholar]
- Miura, T. Coping with situational demands: A study of eye movements and peripheral vision. In Proceedings of Vision in Vehicles; Gale, A.G., Brown, I.D., Haslegrave, C.M., Smith, P., Taylor, S., Eds.; Elsevier: Amsterdam, The Netherlands, 1986; pp. 205–216. [Google Scholar]
- Miura, T. Behavior oriented vision: Functional field of view and processing resources. In Eye Movements: From Physiology to Cognition; Elsevier: Amsterdam, The Netherlands, 1987; pp. 563–572. [Google Scholar]
- Angell, L.S.; Young, R.A.; Hankey, J.M.; Dingus, T.A. An Evaluation of Alternative Methods for Assessing Driver Workload in the Early Development of In-Vehicle Information Systems; SAE Technical Paper No. 2002-01-1981; SAE International: Blacksburg, VA, USA, 2002. [Google Scholar]
- Graydon, F.X.; Young, R.; Benton, M.D.; Genik, R.J.; Posse, S.; Hsieh, L.; Green, C. Visual event detection during simulated driving: Identifying the neural correlates with functional neuroimaging. Transp. Res. Part F Traffic Psychol. Behav. 2004, 7, 271–286. [Google Scholar] [CrossRef]
- Fitts, P.M.; Seeger, C.M. SR compatibility: Spatial characteristics of stimulus and response codes. J. Exp. Psychol. 1953, 46, 199. [Google Scholar] [CrossRef] [PubMed]
- Verfaellie, M.; Bowers, D.; Heilman, K.M.; Proctor, R.W.; Reeve, T.G. Attentional processes in spatial stimulus-response compatibility. In Stimulus-Response Compatibility: An Integrated Perspective; Proctor, R.W., Reeve, T.G., Eds.; Elsevier: Amsterdam, The Netherlands, 1990. [Google Scholar]
- Stojmenova, K.; Sodnik, J. Detection-Response Task: How intrusive is it? In Proceedings 8th International Conference on Information Society and Techology, Kopaonik, Serbia, 11–14 March 2018; Zdravković, M., Trajanović, M., Konjović, Z., Eds.; Eventiotic: Kopaonik, Serbia, 2018; under review. [Google Scholar]
- Kahneman, D. Attention and Effort; Prentice-Hall: Englewood Cliffs, NJ, USA, 1973; Volume 1063, p. 4. [Google Scholar]
- ISO (International Organization for Standardization). Road Vehicles—Ergonomic Aspects of Transport Information and Control Systems—Simulated Lane Change Test to Accesses in-Vehicle Secondary Task Demand; ISO: Geneva, Switzerland, 2010; ISO standard number 26022. [Google Scholar]
- Young, K.L.; Lenné, M.G.; Williamson, A.R. Sensitivity of the lane change test as a measure of in-vehicle system demand. Appl. Ergon. 2011, 42, 611–618. [Google Scholar] [CrossRef] [PubMed]
- Liang, Y.; Reyes, M.L.; Lee, J.D. Real-time detection of driver cognitive distraction using support vector machines. IEEE Trans. Intell. Transp. Syst. 2007, 8, 340–350. [Google Scholar] [CrossRef]
- Engström, J.; Markkula, G. Effects of visual and cognitive distraction on lane change test performance. In Proceedings of the 4th International Driving Symposium on Human Factors in Driver Assessment, Training, and Vehicle Design, Iowa City, IA, USA, 9–12 July 2007; pp. 199–205. [Google Scholar]
- Hart, S.G.; Staveland, L.E. Development of NASA-TLX (Task Load Index): Results of empirical and theoretical research. Adv. Psychol. 1988, 52, 139–183. [Google Scholar]
- Byers, J.C.; Bittner, A.C.; Hill, S.G. Traditional and raw task load index (TLX) correlations: Are paired comparisons necessary? In Advances in Industrial Ergonomics & Safety; Mital, A., Ed.; CRC Press: New York, NY, USA, 1989; Volume 1, pp. 481–485. [Google Scholar]
- Moroney, W.F.; Biers, D.W.; Eggemeier, F.T.; Mitchell, J.A. A comparison of two scoring procedures with the NASA task load index in a simulated flight task. In Proceedings of the IEEE 1992 National Aerospace and Electronics Conference, Dayton, OH, USA, 18–22 May 1992; pp. 734–740. [Google Scholar]
- Pauzié, A. A method to assess the driver mental workload: The driving activity load index (DALI). IET Intell. Transp. Syst. 2008, 2, 315–322. [Google Scholar] [CrossRef]
- Reid, G.B.; Nygren, T.E. The subjective workload assessment technique: A scaling procedure for measuring mental workload. Adv. Psychol. 1988, 52, 185–218. [Google Scholar]
- Tsang, P.S.; Velazquez, V.L. Diagnosticity and multidimensional subjective workload ratings. Ergonomics 1996, 39, 358–381. [Google Scholar] [CrossRef] [PubMed]
- Rubio, S.; Díaz, E.; Martín, J.; Puente, J.M. Evaluation of subjective mental workload: A comparison of SWAT, NASA-TLX, and workload profile methods. Appl. Psychol. 2004, 53, 61–86. [Google Scholar] [CrossRef]
- Wierwille, W.W.; Eggemeier, F.T. Recommendations for mental workload measurement in a test and evaluation environment. Hum. Factors 1993, 35, 263–281. [Google Scholar] [CrossRef]
- Mulder, L.J.M. Measurement and analysis methods of heart rate and respiration for use in applied environments. Biol. Psychol. 1992, 34, 205–236. [Google Scholar] [CrossRef]
- Mehler, B.; Reimer, B.; Wang, Y. A comparison of heart rate and heart rate variability indices in distinguishing single-task driving and driving under secondary cognitive workload. In Proceedings of the Sixth International Driving Symposium on Human Factors in Driver Assessment, Training and Vehicle Design, Lake Tahoe, CA, USA, 27–30 June 2011; pp. 590–597. [Google Scholar]
- Sequeira, H.; Hot, P.; Silvert, L.; Delplanque, S. Electrical autonomic correlates of emotion. Int. J. Psychophysiol. 2009, 71, 50–56. [Google Scholar] [CrossRef] [PubMed]
- Son, J.; Myoungouk, P. Estimating cognitive load complexity using performance and physiological data in a driving simulator. In Proceedings of the Adjunct Automotive User Interfaces and Interactive Vehicular Applications Conference, Salzburg, Austria, 29 November–2 December 2011. [Google Scholar]
- Setz, C.; Bert, A.; Schumm, J.; La Marca, R.; Tröster, G.; Ehlert, U. Discriminating stress from cognitive load using a wearable EDA device. IEEE Trans. Inform. Technol. Biomed. 2010, 14, 410–417. [Google Scholar] [CrossRef] [PubMed]
- Marshall, S.P. The index of cognitive activity: Measuring cognitive workload. In Proceedings of the 2002 IEEE 7th Conference on Human Factors and Power Plants, Scottsdale, AZ, USA, 19 September 2002; p. 7. [Google Scholar]
- Van Gog, T.; Kester, L.; Nievelstein, F.; Giesbers, B.; Paas, F. Uncovering cognitive processes: Different techniques that can contribute to cognitive load research and instruction. Comput. Hum. Behav. 2009, 25, 325–331. [Google Scholar]
- Klingner, J.; Kumar, R.; Hanrahan, P. Measuring the task-evoked pupillary response with a remote eye tracker. In Proceedings of the 2008 Symposium on Eye Tracking Research & Applications, Savannah, Georgia, 26–28 March 2008; pp. 69–72. [Google Scholar]
- Palinko, O.; Kun, A.L.; Shyrokov, A.; Heeman, P. Estimating cognitive load using remote eye tracking in a driving simulator. In Proceedings of the 2010 Symposium on Eye-Tracking Research & Applications, Austin, TX, USA, 22–24 March 2010; pp. 141–144. [Google Scholar]
- Stuyven, E.; Van der Goten, K.; Vandierendonck, A.; Claeys, K.; Crevits, L. The effect of cognitive load on saccadic eye movements. Acta Psychol. 2000, 104, 69–85. [Google Scholar] [CrossRef]
- Antonenko, P.; Paas, F.; Grabner, R.; Van Gog, T. Using electroencephalography to measure cognitive load. Educ. Psychol. Rev. 2010, 22, 425–438. [Google Scholar] [CrossRef]
- Klimesch, W. EEG alpha and theta oscillations reflect cognitive and memory performance: A review and analysis. Brain Res. Rev. 1999, 29, 169–195. [Google Scholar] [CrossRef]
- Wester, A.E.; Böcker, K.B.E.; Volkerts, E.R.; Verster, J.C.; Kenemans, J.L. Event-related potentials and secondary task performance during simulated driving. Accid. Anal. Prev. 2008, 40, 1–7. [Google Scholar] [CrossRef] [PubMed]
- Krause, M.; Conti, A.; Späth, M.; Bengler, K. Testing Open-Source Implementations for Detection Response Tasks. In Proceedings of the XV International Conference on Human Computer Interaction (Interacción ’14), Puerto de la Cruz, Spain, 10–12 September 2014. [Google Scholar]
- Red Scientific. Detection Response Task Kit. Available online: http://www.redscientific.com/products/drt.php (accessed on 14 December 2017).
- NERVteh. Services. Road Safety Organizations. Available online: https://www.nerv-teh.com/ (accessed on 4 December 2007).











| Consecutive Order of Digits | ||||||||||
|---|---|---|---|---|---|---|---|---|---|---|
| Stimuli | 3 | 9 | 7 | 4 | 6 | 5 | 5 | 1 | 8 | 9 |
| Response | - | - | 3 | 9 | 7 | 4 | 6 | 5 | 5 | 1 |
© 2018 by the authors. Licensee MDPI, Basel, Switzerland. This article is an open access article distributed under the terms and conditions of the Creative Commons Attribution (CC BY) license (http://creativecommons.org/licenses/by/4.0/).
Share and Cite
Stojmenova, K.; Sodnik, J. Detection-Response Task—Uses and Limitations. Sensors 2018, 18, 594. https://doi.org/10.3390/s18020594
Stojmenova K, Sodnik J. Detection-Response Task—Uses and Limitations. Sensors. 2018; 18(2):594. https://doi.org/10.3390/s18020594
Chicago/Turabian StyleStojmenova, Kristina, and Jaka Sodnik. 2018. "Detection-Response Task—Uses and Limitations" Sensors 18, no. 2: 594. https://doi.org/10.3390/s18020594
APA StyleStojmenova, K., & Sodnik, J. (2018). Detection-Response Task—Uses and Limitations. Sensors, 18(2), 594. https://doi.org/10.3390/s18020594
