Joint Detection and DOA Tracking with a Bernoulli Filter Based on Information Theoretic Criteria
Abstract
1. Introduction
2. Background
2.1. Measurement Model Using an Array of Sensors
2.2. Bernoulli RFS Formulation
- Prediction
- Update
3. Bernoulli Filtering
3.1. Bernoulli Filter
3.2. Likelihood Function Based on Information Theoretic Criteria
3.3. Particle Implementation
| Algorithm 1. Bernoulli filter for detection and DOA tracking |
| Input: , |
| 1: Compute using (17) |
| 2: Draw surviving source particles: with weights for j = 1, …, J |
| 3: Draw re-entering source particles: with weights for j = 1, …, B |
| 4: Union of weighted particles: |
| 5: Compute likelihood function according to (37) or (38) for j = 1, …, J + B |
| 6: Normalize and exponential likelihood function using (48) |
| 7: Compute qk and using (45) and (46) |
| 8: Resample J times to obtain J particles |
| Output: |
4. Discussions
4.1. Performance Metric
4.2. Computational Complexity
4.3. Weighting Factor r
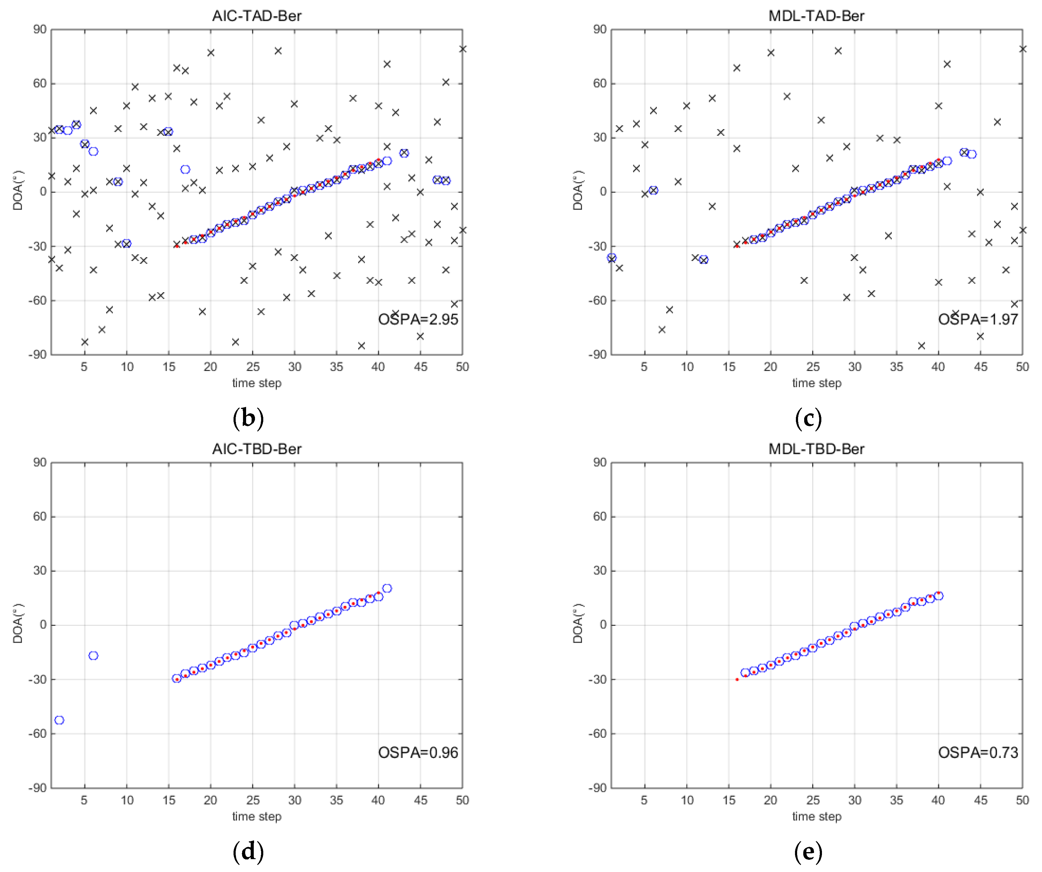
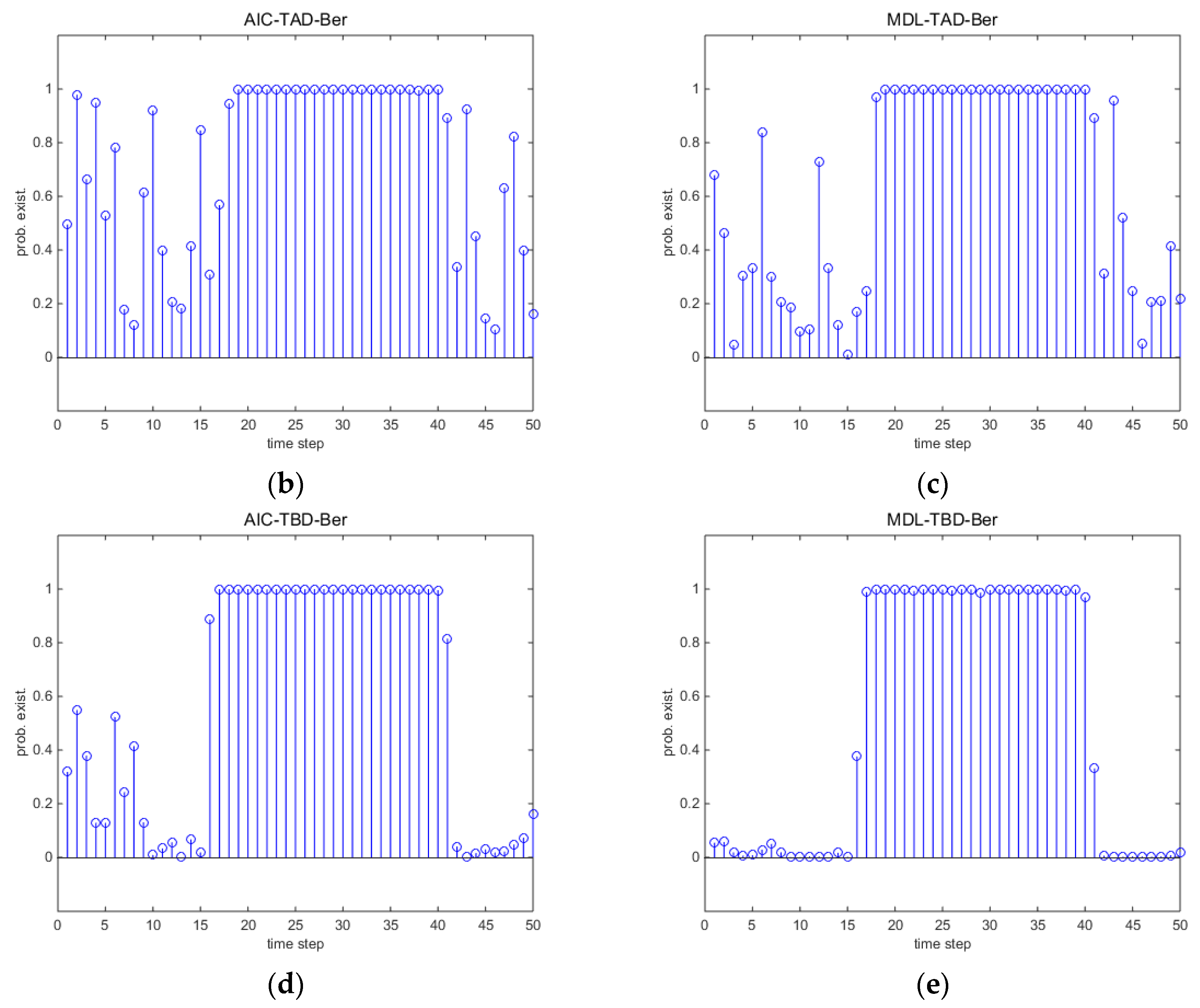
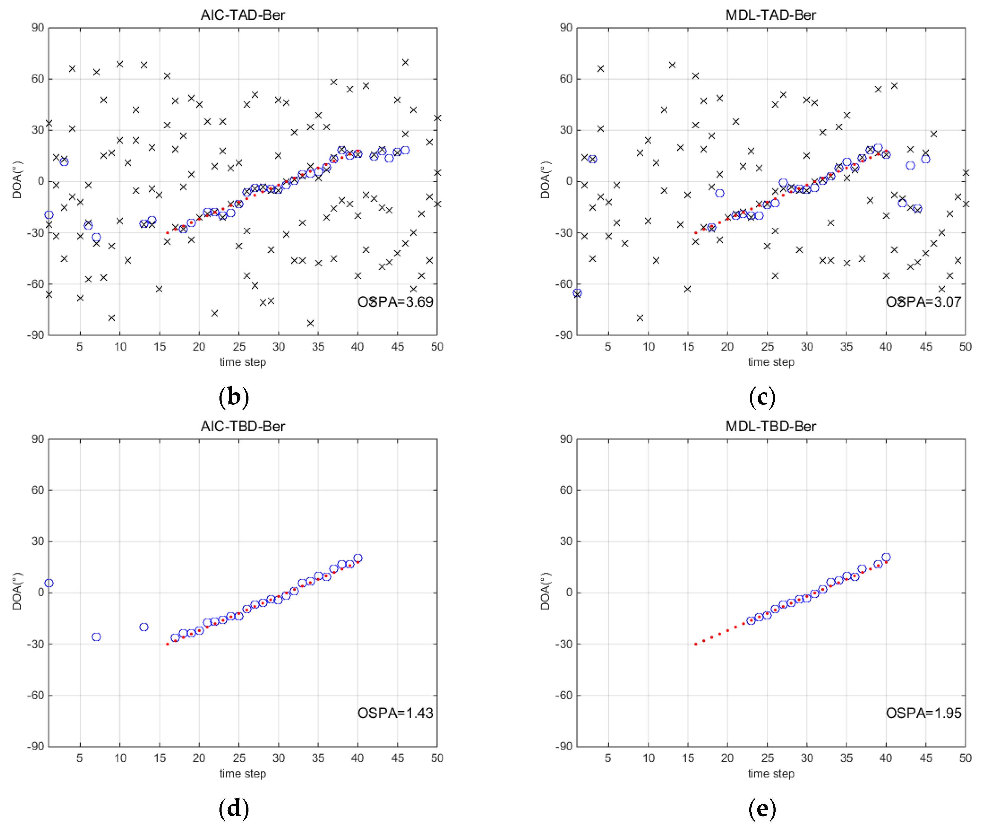
5. Simulations
5.1. Single Runs
5.2. Monte Carlo Runs
6. Conclusions
Author Contributions
Funding
Conflicts of Interest
References
- Liang, G.; Hao, Y.; Fan, Z. Spatial rotation technique with application to unmanned underwater vehicle (UUV) sonar arrays. Electron. Lett. 2017, 53. [Google Scholar] [CrossRef]
- Lin, W.; Liang, G.; Wang, Y.; Fu, J.; Zhang, G. Characteristics of mapping domain of the acoustic field interference structures radiated by a moving target. Acta Phys. Sin. 2014, 63, 34306. [Google Scholar] [CrossRef]
- Zhao, A.; Lin, M.; Ma, X.; Hui, J. An Improved Azimuth Angle Estimation Method with a Single Acoustic Vector Sensor Based on an Active Sonar Detection System. Sensors 2017, 17, 412. [Google Scholar] [CrossRef] [PubMed]
- Zhang, Y.; Liang, J.; Jiang, S.; Chen, W. A Localization Method for Underwater Wireless Sensor Networks Based on Mobility Prediction and Particle Swarm Optimization Algorithms. Sensors 2016, 16, 212. [Google Scholar] [CrossRef] [PubMed]
- Cao, M.Y.; Vorobyov, S.A.; Hassanien, A. Transmit Array Interpolation for DOA Estimation via Tensor Decomposition in 2D MIMO Radar. IEEE Trans. Signal Process. 2017, 65, 5225–5239. [Google Scholar] [CrossRef]
- Zhang, Z.Y.; Zhang, J.Y.; Zhou, Q.S.; Li, X.B. Multi-Target Angle Tracking Algorithm for Bistatic MIMO Radar Based on the Elements of the Covariance Matrix. Sensors 2018, 18, 805. [Google Scholar] [CrossRef] [PubMed]
- Zhong, X.; Premkumar, A.B.; Madhukumar, A.S. Particle Filtering and Posterior Cramér-Rao Bound for 2-D Direction of Arrival Tracking Using an Acoustic Vector Sensor. IEEE Sens. J. 2012, 12, 363–377. [Google Scholar] [CrossRef]
- Zhou, Y.; Yip, P.C.; Leung, H. Tracking the direction-of-arrival of multiple moving targets by passive arrays: Algorithm. IEEE Trans. Signal Process. 1999, 47, 2655–2666. [Google Scholar] [CrossRef]
- Orton, M.; Fitzgerald, W. A Bayesian approach to tracking multiple targets using sensor arrays and particle filters. IEEE Trans. Signal Process. 2002, 50, 216–223. [Google Scholar] [CrossRef]
- Larocque, J.R.; Reilly, J.P.; Ng, W. Particle filters for tracking an unknown number of sources. IEEE Trans. Signal Process. 2002, 50, 2926–2937. [Google Scholar] [CrossRef]
- Davey, S.J.; Rutten, M.G.; Cheung, B. A comparison of detection performance for several Track-Before-Detect algorithms. EURASIP J. Adv. Signal Process. 2007, 2008, 1–10. [Google Scholar] [CrossRef]
- Capon, J. High-resolution frequency-wavenumber spectrum analysis. Proc. IEEE 1969, 57, 1408–1418. [Google Scholar] [CrossRef]
- Wax, M. Detection and localization of multiple sources via the stochastic signals model. IEEE Trans. Signal Process. 1991, 39, 2450–2456. [Google Scholar] [CrossRef]
- Cho, C.M.; Djuric, P.M. Detection and estimation of DOA’s of signals via Bayesian predictive densities. IEEE Trans. Signal Process. 1994, 42, 3051–3060. [Google Scholar] [CrossRef]
- Zhang, Y.; Ng, B.P. MUSIC-Like DOA Estimation without Estimating the Number of Sources. IEEE Trans. Signal Process. 2010, 58, 1668–1676. [Google Scholar] [CrossRef]
- Reddy, V.V.; Mubeen, M.; Ng, B.P. Reduced-Complexity Super-Resolution DOA Estimation with Unknown Number of Sources. IEEE Signal Process. Lett. 2015, 22, 772–776. [Google Scholar] [CrossRef]
- Balakwmar, B.; Sinha, A.; Kirubarajan, T.; Reilly, J.P. PHD filtering for tracking an unknown number of sources using an array of sensors. In Proceedings of the IEEE Workshop Stat. Signal Process, Bordeaux, France, 17–20 July 2005; pp. 43–148. [Google Scholar] [CrossRef]
- Mahler, R. Statistical Multisource-Multitarget Information Fusion; Artech House: Norwood, NJ, USA, 2007; pp. 228–234. ISBN 978-7-118-08850-2. [Google Scholar]
- Saucan, A.A.; Chonavel, T.; Sintes, C.; Caillec, J. CPHD-DOA Tracking of Multiple Extended Sonar Targets in Impulsive Environments. IEEE Trans. Signal Process. 2016, 64, 1147–1160. [Google Scholar] [CrossRef]
- Choppala, P.B.; Teal, P.D.; Frean, M.R. Adapting the multi-Bernoulli filter to phased array observations using MUSIC as pseudo-likelihood. In Proceedings of the 17th International Conference on Information Fusion (FUSION), Salamanca, Spain, 7–10 July 2014; pp. 1–8. [Google Scholar]
- Vo, B.T.; Chong, M.S.; Ning, M.; Ng, W.T. Multi-Sensor Joint Detection and Tracking with the Bernoulli Filter. IEEE Trans. Aerosp. Electron. Syst. 2012, 48, 1385–1402. [Google Scholar] [CrossRef]
- Ristic, B.; Vo, B.T.; Vo, B.N.; Farina, A. A Tutorial on Bernoulli Filters: Theory, Implementation and Applications. IEEE Trans. Signal Process. 2013, 61, 3406–3430. [Google Scholar] [CrossRef]
- Papi, F.; Kyovtorov, V.; Giuliani, R.; Oliveri, F.; Tarchi, D. Bernoulli Filter for Trakc-Before-Detect using MIMO Radar. IEEE Signal Process. Lett. 2014, 21, 1145–1149. [Google Scholar] [CrossRef]
- Lin, S. Jointly Tracking and Separating Speech Sources Using Multiple Features and the generalized labeled multi Bernoulli Framework. In Proceedings of the 2018 IEEE International Conference on Acoustics, Speech and Signal Processing (ICASSP), Calgary, AB, Canada, 15–20 April 2018. [Google Scholar]
- Fallon, M.F.; Godsill, S. Acoustic Source Localization and Tracking Using Track Before Detect. IEEE Trans. Acoust. Speech Signal Process. 2010, 18, 1228–1242. [Google Scholar] [CrossRef][Green Version]
- Sullivan, E.J.; Candy, J.V. Space-time array processing: The model-based approach. J. Acoust. Soc. Am. 1997, 102, 2809–2820. [Google Scholar] [CrossRef]
- Rao, C.R.; Sastry, C.R.; Zhou, B. Tracking the direction of arrival of multiple moving targets. IEEE Trans. Signal Process. 1994, 42, 1133–1144. [Google Scholar] [CrossRef]
- Wax, M.; Ziskind, I. Detection of the number of coherent signals by the MDL principle. IEEE Trans. Acoust. Speech Signal Process. 1989, 37, 1190–1196. [Google Scholar] [CrossRef]
- Schwarz, G. Estimating the Dimension of a Model. Ann. Stat. 1978, 6, 15–18. [Google Scholar] [CrossRef]
- Akaike, H. A new look at the statistical model identification. IEEE Trans. Autom. Control 1974, 19, 716–723. [Google Scholar] [CrossRef]
- Rissanen, J. A Universal Prior for Integers and Estimation by Minimum Description Length. Ann. Stat. 1983, 11, 416–431. [Google Scholar] [CrossRef]
- Ristic, B.; Arulampalam, S. Bernoulli Particle Filter with Observer Control for Bearing-Only Tracking in Clutter. IEEE Trans. Aerosp. Electron. Syst. 2012, 48, 2405–2415. [Google Scholar] [CrossRef]
- Schuhmacher, D.; Vo, B.T.; Vo, B.N. A Consistent Metric for Performance Evaluation of Multi-Object Filters. IEEE Trans. Signal Process. 2008, 56, 3447–3457. [Google Scholar] [CrossRef]
- Doucet, A.; De, F.N.; Gordon, N. Sequential Monte Carlo Methods in Practice; Springer: New York, NY, USA, 2001; p. 13. [Google Scholar]
- Ristic, B.; Arulampalam, S.; Gordon, N. Beyond the Kalman Filter: Particle Filters for Tracking Applications; Artech House: Norwood, NJ, USA, 2004; pp. 48–49. ISBN 1-58053-631-X. [Google Scholar]












| Algorithm | Mean Duration ± Standard Deviation |
|---|---|
| MVDR-TAD-Ber | |
| AIC-TBD-Ber | |
| MDL-TBD-Ber | |
| AIC-TAD-Ber | |
| MDL-TAD-Ber |
© 2018 by the authors. Licensee MDPI, Basel, Switzerland. This article is an open access article distributed under the terms and conditions of the Creative Commons Attribution (CC BY) license (http://creativecommons.org/licenses/by/4.0/).
Share and Cite
Zhang, G.; Zheng, C.; Sun, S.; Liang, G.; Zhang, Y. Joint Detection and DOA Tracking with a Bernoulli Filter Based on Information Theoretic Criteria. Sensors 2018, 18, 3473. https://doi.org/10.3390/s18103473
Zhang G, Zheng C, Sun S, Liang G, Zhang Y. Joint Detection and DOA Tracking with a Bernoulli Filter Based on Information Theoretic Criteria. Sensors. 2018; 18(10):3473. https://doi.org/10.3390/s18103473
Chicago/Turabian StyleZhang, Guangpu, Ce Zheng, Sibo Sun, Guolong Liang, and Yifeng Zhang. 2018. "Joint Detection and DOA Tracking with a Bernoulli Filter Based on Information Theoretic Criteria" Sensors 18, no. 10: 3473. https://doi.org/10.3390/s18103473
APA StyleZhang, G., Zheng, C., Sun, S., Liang, G., & Zhang, Y. (2018). Joint Detection and DOA Tracking with a Bernoulli Filter Based on Information Theoretic Criteria. Sensors, 18(10), 3473. https://doi.org/10.3390/s18103473

