Error Budget for Geolocation of Spectroradiometer Point Observations from an Unmanned Aircraft System
Abstract
1. Introduction
2. Materials and Methods
2.1. Scientific Sensors and Platform
2.2. Sensor Geometry
2.3. Input Uncertainties
IMU Error Modelling
2.4. Error Propagation
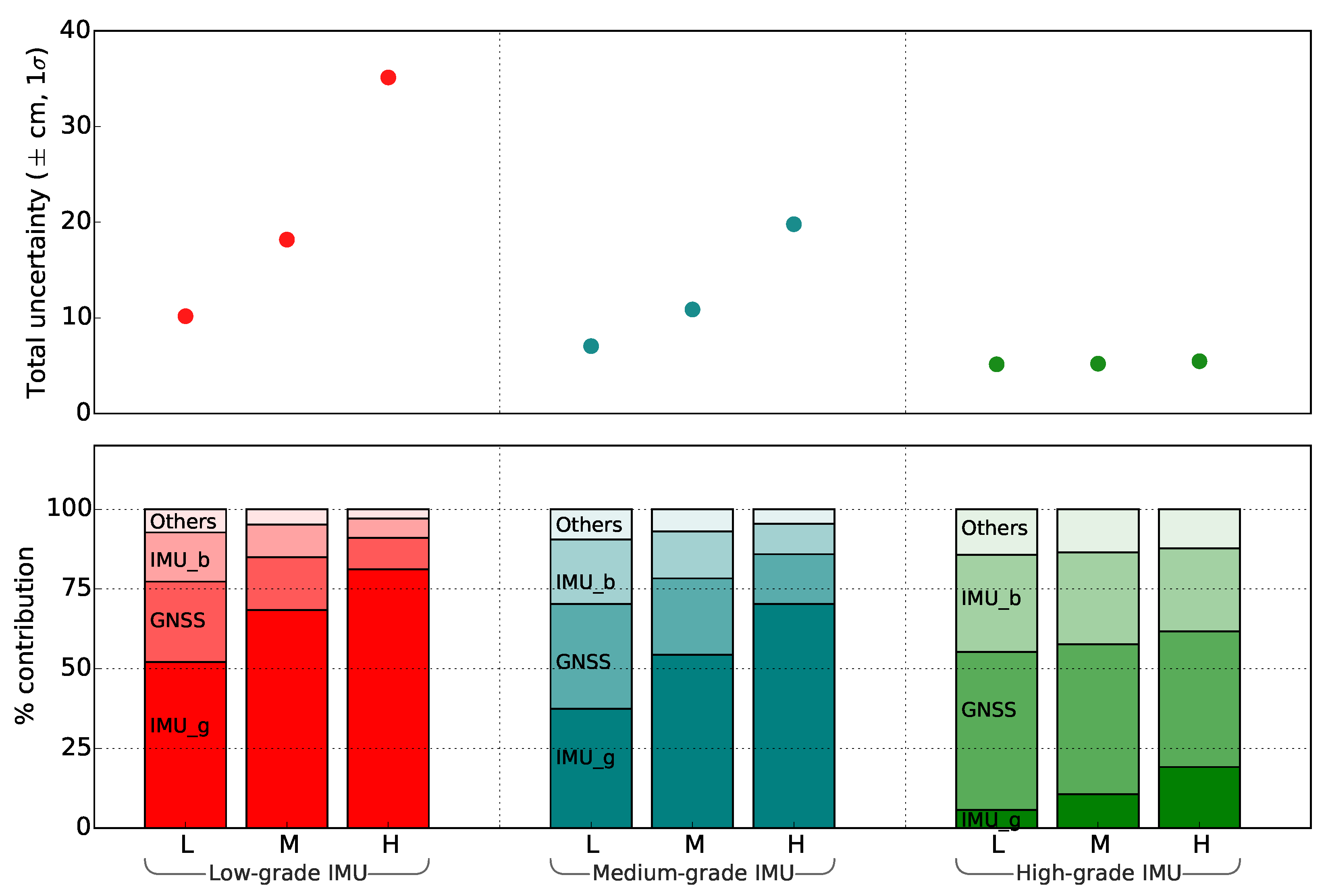
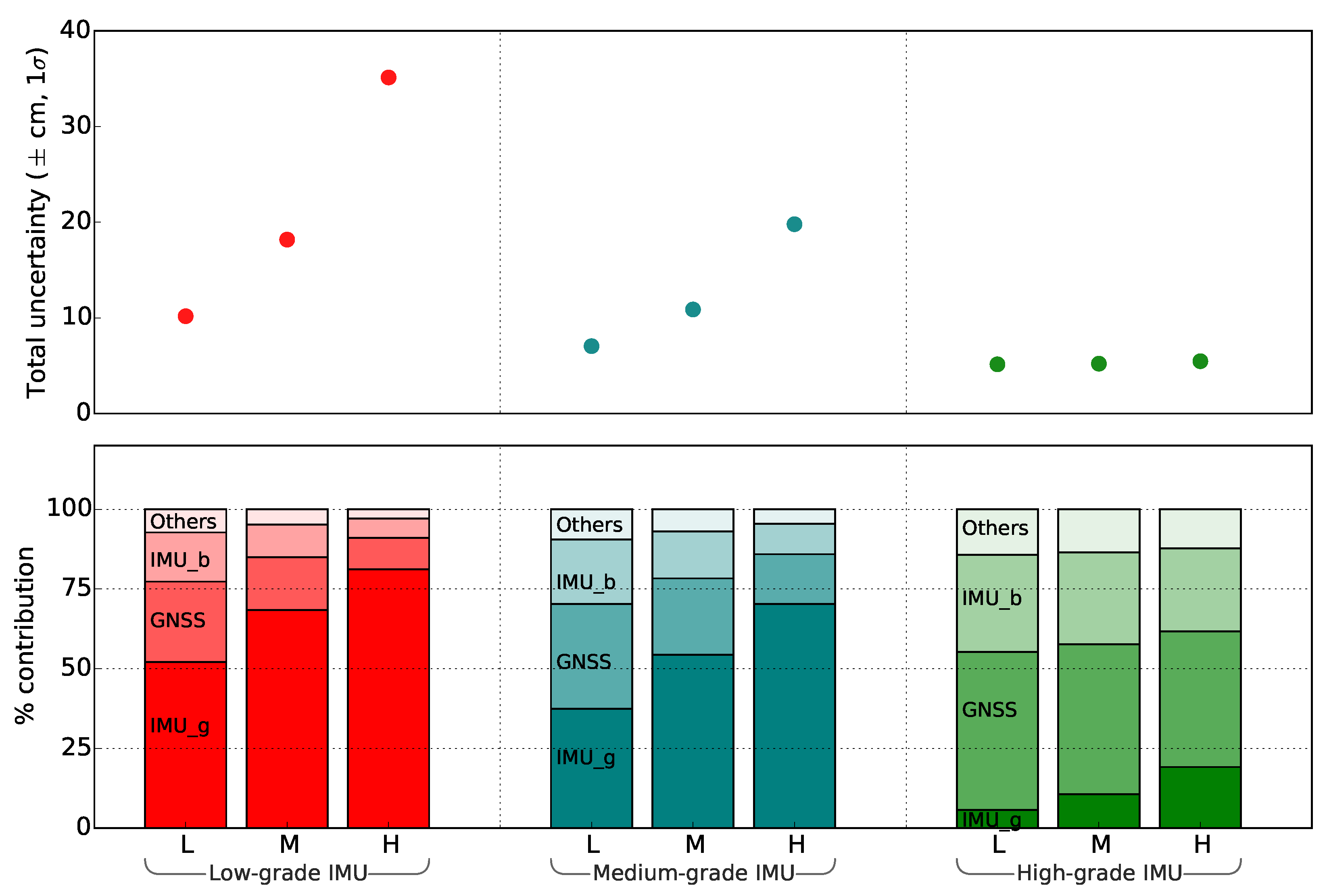
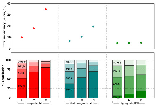
3. Results
4. Discussion
5. Conclusions
Author Contributions
Funding
Acknowledgments
Conflicts of Interest
References
- Pajares, G. Overview and Current Status of Remote Sensing Applications Based on Unmanned Aerial Vehicles (UAVs). Photogramm. Eng. Remote Sens. 2015, 81, 281–330. [Google Scholar] [CrossRef]
- Wieneke, S.; Ahrends, H.; Damm, A.; Pinto, F.; Stadler, A.; Rossini, M.; Rascher, U. Airborne based spectroscopy of red and far-red sun-induced chlorophyll fluorescence: Implications for improved estimates of gross primary productivity. Remote Sens. Environ. 2016, 184, 654–667. [Google Scholar] [CrossRef]
- Lucieer, A.; Malenovský, Z.; Veness, T.; Wallace, L. HyperUAS-Imaging Spectroscopy from a Multirotor Unmanned Aircraft System. J. Field Robot. 2014, 31, 571–590. [Google Scholar] [CrossRef]
- Mulla, D.J. Twenty five years of remote sensing in precision agriculture: Key advances and remaining knowledge gaps. Biosyst. Eng. 2013, 114, 358–371. [Google Scholar] [CrossRef]
- Zarco-Tejada, P.; Morales, A.; Testi, L.; Villalobos, F. Spatio-temporal patterns of chlorophyll fluorescence and physiological and structural indices acquired from hyperspectral imagery as compared with carbon fluxes measured with eddy covariance. Remote Sens. Environ. 2013, 133, 102–115. [Google Scholar] [CrossRef]
- Burkart, A.; Cogliati, S.; Schickling, A.; Rascher, U. A novel UAV-based ultra-light weight spectrometer for field spectroscopy. IEEE Sens. J. 2014, 14, 62–67. [Google Scholar] [CrossRef]
- Moreno, J.F.; Goulas, Y.; Huth, A.; Middleton, E.; Miglietta, F.; Mohammed, G.; Nedbal, L.; Rascher, U.; Verhoef, W.; Drusch, M. Very high spectral resolution imaging spectroscopy: The Fluorescence Explorer (FLEX) mission. In Proceedings of the 2016 IEEE International Geoscience and Remote Sensing Symposium (IGARSS), Beijing, China, 10–15 July 2016; pp. 264–267. [Google Scholar]
- Rascher, U.; Alonso, L.; Burkart, A.; Cilia, C.; Cogliati, S.; Colombo, R.; Damm, A.; Drusch, M.; Guanter, L.; Hanus, J.; et al. Sun-induced fluorescence—A new probe of photosynthesis: First maps from the imaging spectrometer HyPlant. Glob. Chang. Biol. 2015, 21, 4673–4684. [Google Scholar] [CrossRef] [PubMed]
- Drusch, M.; Moreno, J.; Del Bello, U.; Franco, R.; Goulas, Y.; Huth, A.; Kraft, S.; Middleton, E.M.; Miglietta, F.; Mohammed, G.; et al. The FLuorescence EXplorer Mission Concept-ESA’s Earth Explorer 8. IEEE Trans. Geosci. Remote Sens. 2017, 55, 1273–1284. [Google Scholar] [CrossRef]
- Wyber, R.; Malenovský, Z.; Ashcroft, M.B.; Osmond, B.; Robinson, S.A. Do Daily and Seasonal Trends in Leaf Solar Induced Fluorescence Reflect Changes in Photosynthesis, Growth or Light Exposure? Remote Sens. 2017, 9, 604. [Google Scholar] [CrossRef]
- Pinto, F.; Damm, A.; Schickling, A.; Panigada, C.; Cogliati, S.; Müller-Linow, M.; Balvora, A.; Rascher, U. Sun-induced chlorophyll fluorescence from high-resolution imaging spectroscopy data to quantify spatio-temporal patterns of photosynthetic function in crop canopies. Plant Cell Environ. 2016, 39, 1500–1512. [Google Scholar] [CrossRef] [PubMed]
- Verrelst, J.; van der Tol, C.; Magnani, F.; Sabater, N.; Rivera, J.P.; Mohammed, G.; Moreno, J. Evaluating the predictive power of sun-induced chlorophyll fluorescence to estimate net photosynthesis of vegetation canopies: A scope modeling study. Remote Sens. Environ. 2016, 176, 139–151. [Google Scholar] [CrossRef]
- Rossini, M.; Nedbal, L.; Guanter, L.; Ač, A.; Alonso, L.; Burkart, A.; Cogliati, S.; Colombo, R.; Damm, A.; Drusch, M.; et al. Red and far red Sun-induced chlorophyll fluorescence as a measure of plant photosynthesis. Geophys. Res. Lett. 2015, 42, 1632–1639. [Google Scholar] [CrossRef]
- Garzonio, R.; Di Mauro, B.; Colombo, R.; Cogliati, S. Surface Reflectance and Sun-Induced Fluorescence Spectroscopy Measurements Using a Small Hyperspectral UAS. Remote Sensing 2017, 9, 472. [Google Scholar] [CrossRef]
- Zeng, C.; King, D.J.; Richardson, M.; Shan, B. Fusion of Multispectral Imagery and Spectrometer Data in UAV Remote Sensing. Remote Sens. 2017, 9, 696. [Google Scholar] [CrossRef]
- Burkart, A.; Aasen, H.; Alonso, L.; Menz, G.; Bareth, G.; Rascher, U. Angular Dependency of Hyperspectral Measurements over Wheat Characterized by a Novel UAV Based Goniometer. Remote Sens. 2015, 7, 725–746. [Google Scholar] [CrossRef]
- Wallace, L.; Lucieer, A.; Turner, D.; Watson, C. Error assessment and mitigation for hyper-temporal UAV-borne LiDAR surveys of forest inventory. Proce. Silvilaser 2011, 1–13. [Google Scholar]
- Schaer, P.; Skaloud, J.; Landtwing, S.; Legat, K. Accuracy Estimation for Laser Point Cloud Including Scanning Geometry. In Proceedings of the 5th International Symposium on Mobile Mapping Technology, Padova, Italy, 29–31 May 2007. [Google Scholar]
- Lichti, D.D.; Gordon, S.J.; Tipdecho, T. Error Models and Propagation in Directly Georeferenced Terrestrial Laser Scanner Networks. J. Surv. Eng. 2005, 131, 135–142. [Google Scholar] [CrossRef]
- Gerke, M.; Przybilla, H.J. Accuracy Analysis of Photogrammetric UAV Image Blocks: Influence of Onboard RTK-GNSS and Cross Flight Patterns. Photogrammetrie-Fernerkundung-Geoinf. 2016, 2016, 17–30. [Google Scholar] [CrossRef]
- Ruiz, J.J.; Diaz-Mas, L.; Perez, F.; Viguria, A. Evaluating the accuracy of DEM generation algorithms from UAV imagery. Int. Arch. Photogramm. Remote Sens. Spat. Inf. Sci. 2013, 40, 333–337. [Google Scholar] [CrossRef]
- Harwin, S.; Lucieer, A. Assessing the accuracy of georeferenced point clouds produced via multi-view stereopsis from Unmanned Aerial Vehicle (UAV) imagery. Remote Sens. 2012, 4, 1573–1599. [Google Scholar] [CrossRef]
- Turner, D.; Lucieer, A.; McCabe, M.; Parkes, S.; Clarke, I. Pushbroom hyperspectral imaging from an unmanned aircraft system (UAS)–geometric processing workflow and accuracy assessment. Int. Arch. Photogramm. Remote Sens. Spat. Inf. Sci. 2017, 42, 379. [Google Scholar] [CrossRef]
- Aasen, H.; Honkavaara, E.; Lucieer, A.; Zarco-Tejada, P. Quantitative Remote Sensing at Ultra-High Resolution with UAV Spectroscopy: A Review of Sensor Technology, Measurement Procedures, and Data Correction Workflows. Remote Sens. 2018, 10, 1091. [Google Scholar] [CrossRef]
- Wallace, L.; Lucieer, A.; Watson, C.; Turner, D. Development of a UAV-LiDAR system with application to forest inventory. Remote Sens. 2012, 4, 1519–1543. [Google Scholar] [CrossRef]
- Wilkinson, B.E.; Mohamed, A.H.; Dewitt, B.A.; Seedahmed, G.H. A novel approach to terrestrial LiDAR georeferencing. Photogramm. Eng. Remote Sens. 2010, 76, 683–690. [Google Scholar] [CrossRef]
- Zhang, Y.; Shen, X. Direct georeferencing of airborne LiDAR data in national coordinates. ISPRS J. Photogramm. Remote Sens. 2013, 84, 43–51. [Google Scholar] [CrossRef]
- Jozkow, G.; Totha, C.; Grejner-Brzezinska, D. UAS topographic mapping with velodyne LiDAR sensor. ISPRS Ann. Photogramm. Remote Sens. Spat. Inf. Sci. 2016, 3, 201–208. [Google Scholar] [CrossRef]
- Li, Y.; Efatmaneshnik, M.; Dempster, A.G. Attitude determination by integration of MEMS inertial sensors and GPS for autonomous agriculture applications. GPS Solut. 2012, 16, 41–52. [Google Scholar] [CrossRef]
- Geoscience Australia. Available online: http://www.ga.gov.au/ (accessed on 16 January 2018).
- Gautam, D.; Lucieer, A.; Malenovský, Z.; Watson, C. Comparison of MEMS-Based and FOG-Based IMUs to Determine Sensor Pose on an Unmanned Aircraft System. J. Surv. Eng. 2017, 143, 4017009. [Google Scholar] [CrossRef]
- Jiang, C.; Xue, L.; Chang, H.; Yuan, G.; Yuan, W. Signal processing of MEMS gyroscope arrays to improve accuracy using a 1st order markov for rate signal modeling. Sensors 2012, 12, 1720–1737. [Google Scholar] [CrossRef] [PubMed]
- Bhatt, D.; Aggarwal, P.; Bhattacharya, P.; Devabhaktuni, V. An enhanced mems error modeling approach based on nu-support vector regression. Sensors 2012, 12, 9448–9466. [Google Scholar] [CrossRef] [PubMed]
- Zhao, Y.; Horemuz, M.; Sjöberg, L.E. Stochastic modelling and analysis of IMU sensor errors. Photogram. Cartogr. Remote Sens. 2011, 22, 437–449. [Google Scholar]
- Uysal, M.; Toprak, A.; Polat, N. DEM generation with UAV Photogrammetry and accuracy analysis in Sahitler hill. Measurement 2015, 73, 539–543. [Google Scholar] [CrossRef]
- Harwin, S.; Lucieer, A.; Osborn, J. The impact of the calibration method on the accuracy of point clouds derived using unmanned aerial vehicle multi-view stereopsis. Remote Sens. 2015, 7, 11933–11953. [Google Scholar] [CrossRef]
- McCoull, C. Calibration and Accuracy Assessments of an Unmanned Aerial Vehicle Laser Scanning System. PhD Thesis, University of Tasmania, Hobart, Australia, 2016. [Google Scholar]
- Autodesk AutoCAD. Available online: https://www.autodesk.com/products/autocad/overview (accessed on 16 January 2018).
- Turner, D.; Lucieer, A.; Wallace, L. Direct georeferencing of ultrahigh-resolution UAV imagery. IEEE Trans. Geosci. Remote Sens. 2014, 52, 2738–2745. [Google Scholar] [CrossRef]
- Gabrlik, P.; Jelinek, A.; Janata, P. Precise Multi-Sensor Georeferencing System for Micro UAVs. IFAC-PapersOnLine 2016, 49, 170–175. [Google Scholar] [CrossRef]
- Chiang, K.W.; Tsai, M.L.; Chu, C.H. The Development of an UAV Borne Direct Georeferenced Photogrammetric Platform for Ground Control Point Free Applications. Sensors 2012, 12, 9161–9180. [Google Scholar] [CrossRef] [PubMed]
- NovAtel SPAN-CPT. Available online: https://www.novatel.com/products/span-gnss-inertial-systems/span-combined-systems/span-cpt/ (accessed on 16 January 2018).
- Advanced Navigation Spatial Dual. Available online: http://www.advancednavigation.com.au/product/spatial-dual/ (accessed on 16 January 2018).
- Lord Sensing MicroStrain. Available online: http://www.microstrain.com/inertial/3dm-gx3-35/ (accessed on 16 January 2018).
- Von Bueren, S.K.; Burkart, A.; Hueni, A.; Rascher, U.; Tuohy, M.P.; Yule, I.J. Deploying four optical UAV-based sensors over grassland: Challenges and limitations. Biogeosciences 2015, 12, 163–175. [Google Scholar] [CrossRef]
- Malenovský, Z.; Lucieer, A.; King, D.H.; Turnbull, J.D.; Robinson, S.A. Unmanned aircraft system advances health mapping of fragile polar vegetation. Methods Ecol. Evol. 2017, 8, 1842–1857. [Google Scholar] [CrossRef]





| Sensor/Metric | Description | Symbolic Representation |
|---|---|---|
| GNSS antenna | 3 uncertainties in the position | (, , ) |
| IMU_boom | 3 WGN uncertainties in orientation | (, , ) |
| 3 boresight uncertainties | (, , ) | |
| 3 drift uncertainties in orientation | (, , ) | |
| 3 turn-on to turn-on bias uncertainties | (, , ) | |
| IMU_gimbal | 3 WGN uncertainties in orientation | (, , ) |
| 3 boresight uncertainties | (, , ) | |
| 3 drift uncertainties in orientation | (, , ) | |
| 3 turn-on to turn-on bias uncertainties | (, , ) | |
| Lever-arm | 3 offset uncertainties from A1 to GC | (, , ) |
| 3 offset uncertainties from GC to SRP | (, , ) | |
| AGL | 3 offset uncertainties from SRP to nadir | (, , ) |
| Sensor/Metric | Uncertainties | Nominal Value () [cm or deg] | Method of Determination |
|---|---|---|---|
| GNSS antenna | (, , ) | (3.0, 3.0, 4.0) | Ground based experiments |
| (, , ) | (0.4, 0.4, 0.9) | User manual and static data | |
| (, , ) | (0.2, 0.2, 0.2) | Assumed (value is not critical) | |
| (, , ) | (0.45, 0.45, 0.9) | Projected for flight condition. | |
| IMU_boom | (, , ) | (0.10, 0.12, 0.58) | Power cycle experiments |
| (, , ) | (0.2, 0.2, 0.1) | User manual, dynamic and static data | |
| (, , ) | (0.2, 0.2 0.2) | Approximated from calibration Experiments | |
| (, , ) | (0.25, 0.25, 0.55) | 90% exceedance of reconstructed temporal drift | |
| (, , ) | (0.08, 0.08, 0.45) | Power cycle experiments | |
| IMU_gimbal | (, , ) | (0.5, 0.5, 0.5) | Measured from 3D point cloud |
| Lever-arm | (, , ) | (0.5, 0.5, 0.5) | Measured from 3D point cloud |
| AGL | (, , ) | (5.0, 5.0, 7.0) | Approximated from |
| FOV | Footprint Diameter (cm) | Ratio of Footprint Uncertainty () to Size | ||
|---|---|---|---|---|
| L-G IMU | M-G IMU | H-G IMU | ||
| 1 | 17.5 (8.7) | 1.04 (1.17) | 0.62 (0.81) | 0.30 (0.59) |
| 2 | 34.9 (17.5) | 0.52 (0.58) | 0.31 (0.40) | 0.15 (0.29) |
| 3 | 52.4 (26.2) | 0.35 (0.39) | 0.21 (0.27) | 0.10 (0.20) |
| 6 | 104.8 (52.4) | 0.17 (0.19) | 0.10 (0.13) | 0.05(0.10) |
| 8 | 139.9 (70.0) | 0.13 (0.15) | 0.08(0.10) | 0.04 (0.07) |
| 10 | 175.0 (87.5) | 0.10 (0.12) | 0.06 (0.08) | 0.03 (0.06) |
| 14 | 245.6 (122.8) | 0.07 (0.08) | 0.04 (0.06) | 0.02 (0.04) |
| 16 | 281.1 (140.5) | 0.06 (0.07) | 0.04 (0.05) | 0.02 (0.04) |
| 20 | 352.7 (176.3) | 0.05 (0.06) | 0.03 (0.04) | 0.01 (0.03) |
| 28 | 498.7 (249.3) | 0.04 (0.04) | 0.02 (0.02) | 0.01 (0.02) |
© 2018 by the authors. Licensee MDPI, Basel, Switzerland. This article is an open access article distributed under the terms and conditions of the Creative Commons Attribution (CC BY) license (http://creativecommons.org/licenses/by/4.0/).
Share and Cite
Gautam, D.; Watson, C.; Lucieer, A.; Malenovský, Z. Error Budget for Geolocation of Spectroradiometer Point Observations from an Unmanned Aircraft System. Sensors 2018, 18, 3465. https://doi.org/10.3390/s18103465
Gautam D, Watson C, Lucieer A, Malenovský Z. Error Budget for Geolocation of Spectroradiometer Point Observations from an Unmanned Aircraft System. Sensors. 2018; 18(10):3465. https://doi.org/10.3390/s18103465
Chicago/Turabian StyleGautam, Deepak, Christopher Watson, Arko Lucieer, and Zbyněk Malenovský. 2018. "Error Budget for Geolocation of Spectroradiometer Point Observations from an Unmanned Aircraft System" Sensors 18, no. 10: 3465. https://doi.org/10.3390/s18103465
APA StyleGautam, D., Watson, C., Lucieer, A., & Malenovský, Z. (2018). Error Budget for Geolocation of Spectroradiometer Point Observations from an Unmanned Aircraft System. Sensors, 18(10), 3465. https://doi.org/10.3390/s18103465

