Uniformity Study of Two-Functional Luminescent Dyes Adsorbed over an Anodized Aluminum Coating for Motion-Capturing Pressure- and Temperature-Sensitive Paint Imaging
Abstract
:1. Introduction
2. Materials and Methods
2.1. Preparation of Dipping Solutions
2.2. Preparation of the Test Model
2.3. Dipping Methods
2.4. Luminescence Imaging
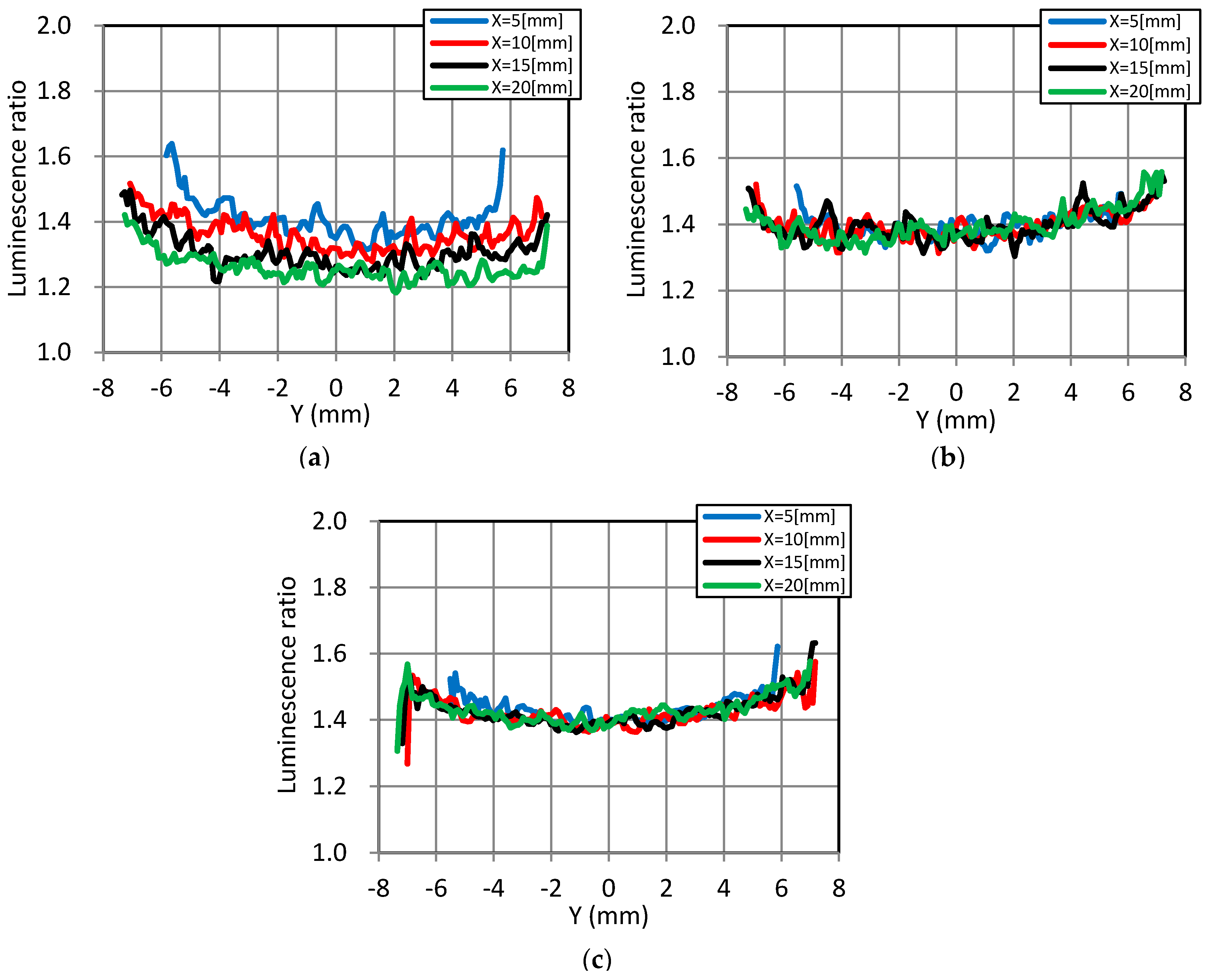
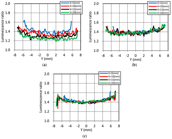
3. Results and Discussion
4. Conclusions
Acknowledgments
Author Contributions
Conflicts of Interests
References
- Bell, J.H.; Schairer, E.T.; Hand, L.A.; Mehta, R.D. Surface pressure measurements using luminescent coatings. Annu. Rev. Fluid Mech. 2001, 33, 155–206. [Google Scholar] [CrossRef]
- Gregory, J.W.; Sakaue, H.; Liu, T.; Sullivan, J.P. Fast pressure sensitive pant for flow and acoustics diagnostics. Annu. Rev. Fluid Mech. 2014, 46, 303–330. [Google Scholar] [CrossRef]
- Disotell, K.J.; Peng, D.; Juliano, T.J.; Gregory, J.W.; Crafton, J.W.; Komerath, N.M. Single-shot temperature- and pressure-sensitive paint measurements on an unsteady helicopter blade. Exp. Fluids 2014, 55, 1671. [Google Scholar] [CrossRef]
- Gregory, J.W. Porous pressure-sensitive paint for measurement of unsteady pressure in turbomachinery. In Proceedings of the 42nd AIAA Aerospace Sciences Meeting and Exhibit, Aerospace Sciences Meetings, Reno, NV, USA, 5–8 January 2004. [Google Scholar] [CrossRef]
- Gregory, J.W.; Sullivan, J.P.; Wannis, S.S.; Komerath, N.M. Pressure-sensitive paint as a distributed optical microphone array. J. Acoust. Soc. Am. 2006, 119, 251–261. [Google Scholar] [CrossRef] [PubMed]
- Nakakita, K. Unsteady pressure distribution measurement around 2D-cylinders using pressure-sensitive paint. In Proceedings of the 25th AIAA Applied Aerodynamics Conference, Fluid Dynamics and Co-Located Conferences, Miami, FL, USA, 25–28 June 2007. [Google Scholar] [CrossRef]
- Nakakita, K. Unsteady pressure measurement on NACA0012 model using global low-speed unsteady PSP technique. In Proceedings of the 41st AIAA Fluid Dynamics Conference and Exhibit, Fluid Dynamics and Co-Located Conferences, Honolulu, HI, USA, 27–30 June 2011. [Google Scholar] [CrossRef]
- Okabe, T.; Miyazaki, T.; Sakaue, H.; Saitoh, K. Motion-Capturing PSP system for flutter application. In Proceedings of the 41st AIAA Fluid Dynamics Conference and Exhibit, Fluid Dynamics and Co-Located Conferences, Honolulu, HI, USA, 27–30 June 2011. [Google Scholar] [CrossRef]
- Okabe, T.; Miyazaki, T.; Saitoh, K.; Sakaue, H. Unsteady pressure distribution on a fluttering airfoil using Motion-Capturing PSP system. In Proceedings of the 44th AIAA Thermophysics Conference, Fluid Dynamics and Co-Located Conferences, San Diego, CA, USA, 24–27 June 2013. [Google Scholar] [CrossRef]
- Sakaue, H.; Iijima, Y.; Yamada, Y.; Miyazaki, T.; Ishii, M. Global pressure and temperature measurements of ballistic-range testing by PSP and TSP technique. In Proceedings of the 52nd Aerospace Sciences Meeting, AIAA SciTech Forum, National Harbor, MD, USA, 13–17 January 2014. [Google Scholar] [CrossRef]
- Hird, K.; Juliano, T.J.; Gregory, J.W. Study of unsteady surface pressure on a turret via pressure-sensitive paint. In Proceedings of the 44th AIAA Thermophysics Conference, Fluid Dynamics and Co-Located Conferences, San Diego, CA, USA, 24–27 June 2013. [Google Scholar] [CrossRef]
- Sakaue, H.; Miyamoto, K.; Miyazaki, T. A motion-capturing pressure-sensitive paint method. J. Appl. Phys. 2013, 113, 084901. [Google Scholar] [CrossRef]
- Yamada, Y.; Ishii, M.; Miyazaki, T.; Sakaue, H. Global pressure measurement of a moving bullet. In Proceedings of the 44th AIAA Thermophysics Conference, Fluid Dynamics and Co-Located Conferences, San Diego, CA, USA, 24–27 June 2013. [Google Scholar] [CrossRef]
- Ishii, M.; Isokawa, H.; Miyazaki, T.; Sakaue, H. Surface state measurement of a free-flight object by motion-capturing method. In Proceedings of the 55th AIAA Aerospace Sciences Meeting, AIAA SciTech Forum, Grapevine, TX, USA, 9–13 January 2017. [Google Scholar] [CrossRef]
- Iijima, Y.; Sakaue, H. Platinum porphyrin and luminescent polymer for two-color pressure- and temperature-sensing probe. Sens. Actuators A Phys. 2012, 184, 128–133. [Google Scholar] [CrossRef]
- Khalil, G.E.; Costin, C.; Crafton, J.; Jones, G.; Grenoble, S.; Gouterman, M.; Callis, J.B.; Dalton, L.R. Dual luminophor pressure sensitive paint I. Ratio of reference to sensor giving a small temperature dependency. Sens. Actuators B Chem. 2004, 97, 13–21. [Google Scholar] [CrossRef]
- Zelelow, B.; Khalil, G.E.; Phelen, G.; Carlson, B.; Gouterman, M.; Callis, J.B.; Dalton, L.R. Dual luminophor pressure sensitive paint II. Lifetime based measurement of pressure and temperature. Sens. Actuators B Chem. 2003, 96, 304–314. [Google Scholar] [CrossRef]
- Mitsuo, K.; Asai, K.; Hayasaka, M.; Kameda, M. Temperature correction of PSP measurement using dual-luminophor coating. J. Vis. 2003, 6, 213–223. [Google Scholar] [CrossRef]
- Sakaue, H. Luminophore application method of anodized aluminum pressure sensitive paint as a fast responding global pressure sensor. Rev. Sci. Instrum. 2005, 76, 084101. [Google Scholar] [CrossRef]











© 2017 by the authors. Licensee MDPI, Basel, Switzerland. This article is an open access article distributed under the terms and conditions of the Creative Commons Attribution (CC BY) license (http://creativecommons.org/licenses/by/4.0/).
Share and Cite
Ishii, M.; Miyazaki, T.; Sakaue, H. Uniformity Study of Two-Functional Luminescent Dyes Adsorbed over an Anodized Aluminum Coating for Motion-Capturing Pressure- and Temperature-Sensitive Paint Imaging. Sensors 2018, 18, 26. https://doi.org/10.3390/s18010026
Ishii M, Miyazaki T, Sakaue H. Uniformity Study of Two-Functional Luminescent Dyes Adsorbed over an Anodized Aluminum Coating for Motion-Capturing Pressure- and Temperature-Sensitive Paint Imaging. Sensors. 2018; 18(1):26. https://doi.org/10.3390/s18010026
Chicago/Turabian StyleIshii, Masato, Takeshi Miyazaki, and Hirotaka Sakaue. 2018. "Uniformity Study of Two-Functional Luminescent Dyes Adsorbed over an Anodized Aluminum Coating for Motion-Capturing Pressure- and Temperature-Sensitive Paint Imaging" Sensors 18, no. 1: 26. https://doi.org/10.3390/s18010026
APA StyleIshii, M., Miyazaki, T., & Sakaue, H. (2018). Uniformity Study of Two-Functional Luminescent Dyes Adsorbed over an Anodized Aluminum Coating for Motion-Capturing Pressure- and Temperature-Sensitive Paint Imaging. Sensors, 18(1), 26. https://doi.org/10.3390/s18010026

