Effects of Dilution Systems in Olfactometry on the Recovery of Typical Livestock Odorants Determined by PTR-MS
Abstract
:1. Introduction
2. Materials and Methods
2.1. Odorants
2.2. Measuring Method
2.3. Olfactometers and Material Tubes
2.3.1. Glass Olfactometer
2.3.2. Olfacton Dilution System
2.3.3. TO8 Olfactometer
2.4. Material Testing
2.5. PTR-MS
2.6. Data Analysis
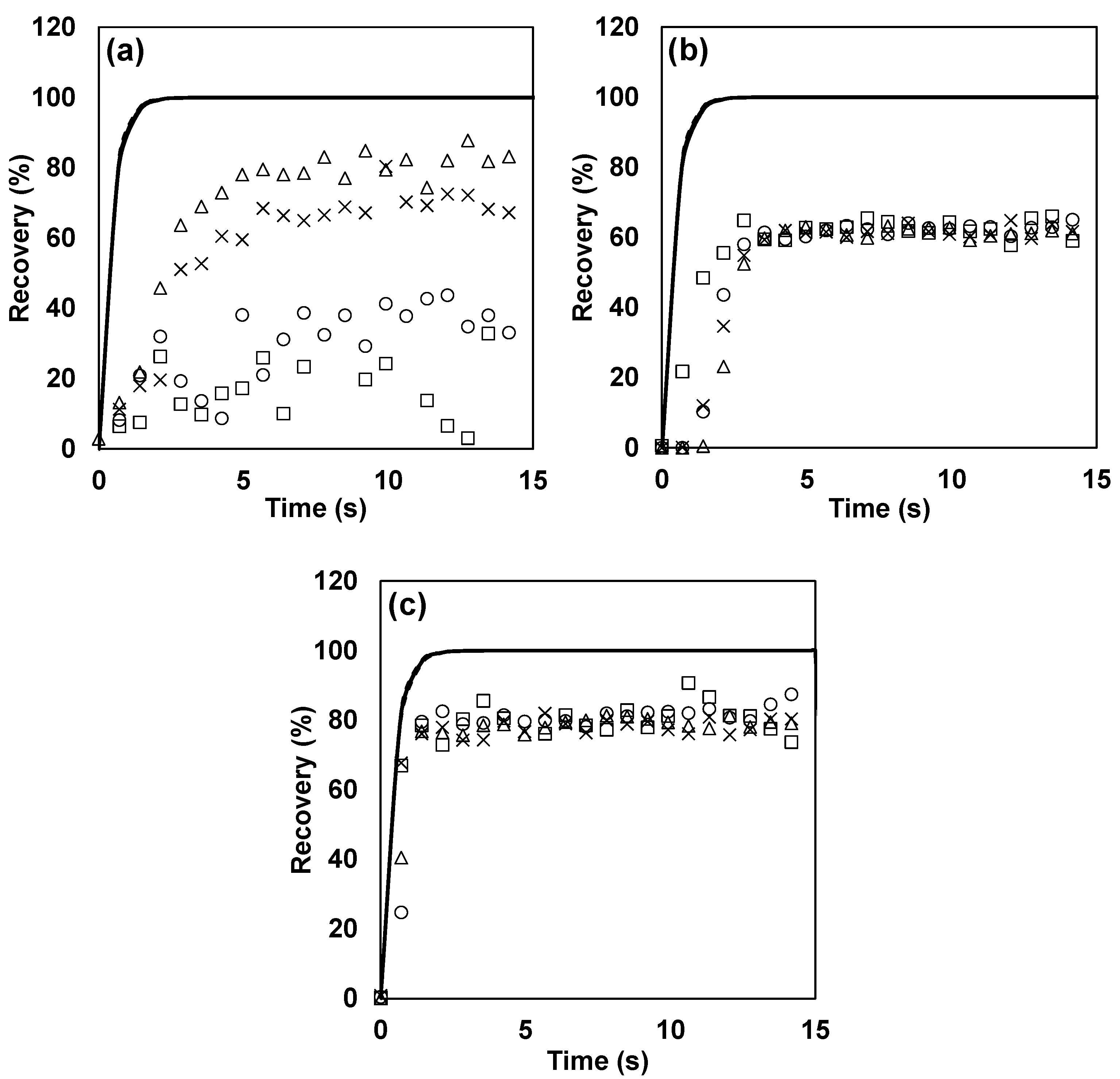
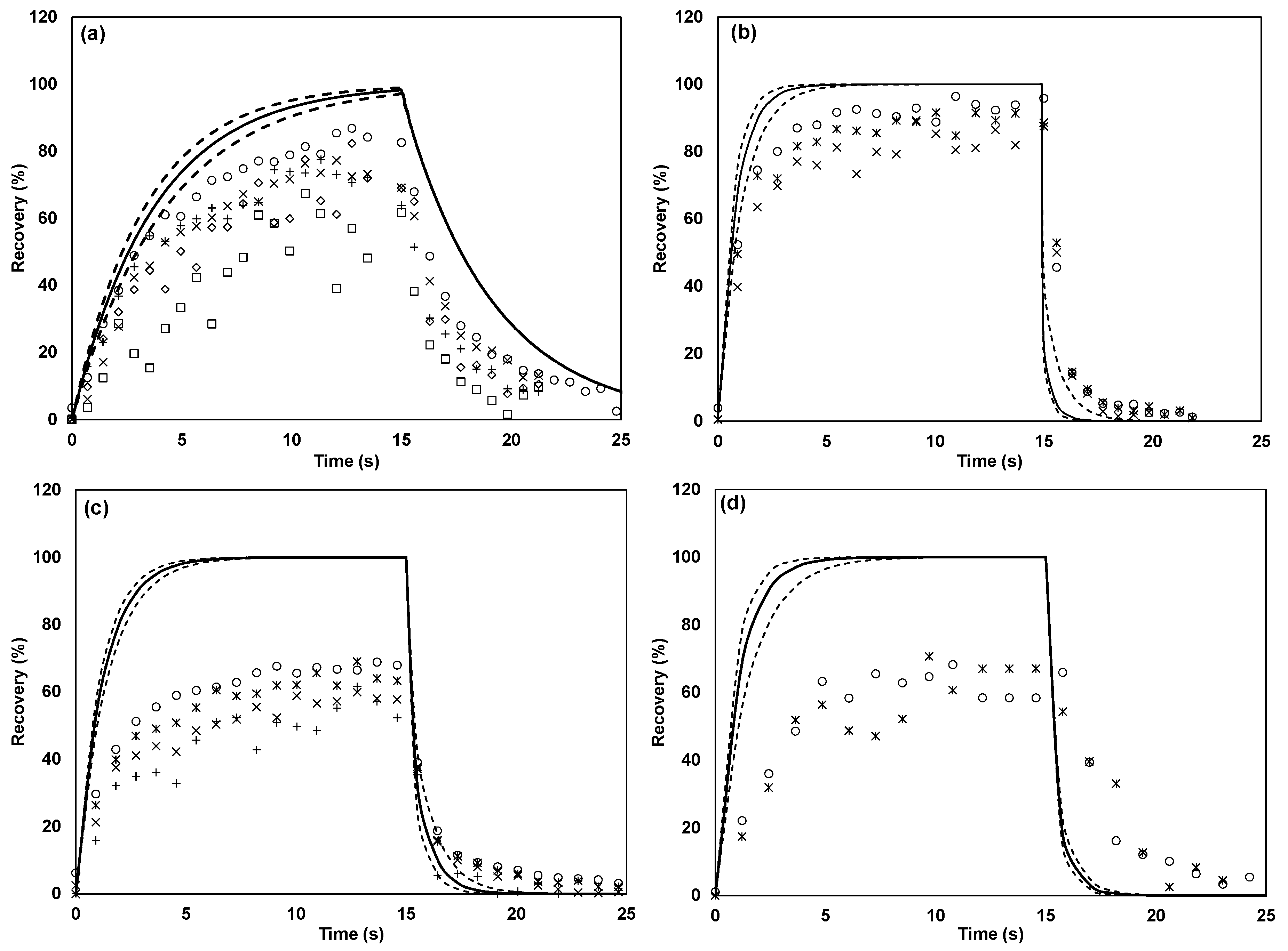
3. Results and Discussion
3.1. n-Butanol
3.2. Sulfur Compounds
3.3. Carboxylic Acids and 4-Methylphenol
3.4. Trimethylamine
3.5. Factors Influencing Adsorption and Recovery
3.6. Saturation Effects
3.7. Effect of Materials and Composition
4. Conclusions
Supplementary Materials
Acknowledgments
Author Contributions
Conflicts of Interest
References
- European Committee for Standardization. CEN Air Quality—Determination of Odour Concentration by Dynamic Olfactometry (EN13725); European Committee for Standardization: Brussels, Belgium, 2003. [Google Scholar]
- Koziel, J.A.; Spinhirne, J.P.; Lloyd, J.D.; Parker, D.B.; Wright, D.W.; Kuhrt, F.W. Evaluation of sample recovery of malodorous livestock gases from air sampling bags, solid−phase microextraction fibers, Tenax TA sorbent tubes, and sampling canisters. J. Air Waste Manage. Assoc. 2005, 55, 1147–1157. [Google Scholar] [CrossRef]
- Parker, D.B.; Perschbacher-Buser, Z.L.; Cole, N.A.; Koziel, J.A. Recovery of agricultural odors and odorous compounds from polyvinyl fluoride film bags. Sensors 2010, 10, 8536–8552. [Google Scholar] [CrossRef] [PubMed]
- Hansen, M.J.; Adamsen, A.P.S.; Feilberg, A.; Jonassen, K.E.N. Stability of odorants from pig production in sampling bags for olfactometry. J. Environ. Qual. 2011, 40, 1096–1102. [Google Scholar] [CrossRef] [PubMed]
- Trabue, S.L.; Anhalt, J.C.; Zahn, J.A. Bias of Tedlar bags in the measurement of agricultural odorants. J. Environ. Qual. 2006, 35, 1668–1677. [Google Scholar] [CrossRef] [PubMed]
- Hansen, M.J.; Feilberg, A.; Adamsen, A.P.S. Stability of volatile reduced sulphur compounds in the dilution system of an olfactometer. In Proceedings of the International Conference on Environmental Odour Monitoring and Control, Florence, Italy, 22–24 September 2010. [Google Scholar]
- Hansen, M.J.; Adamsen, A.P.S.; Feilberg, A. Recovery of odorants from an olfactometer measured by proton−transfer−reaction mass spectrometry. Sensors 2013, 13, 7860–7871. [Google Scholar] [CrossRef] [PubMed]
- Beauchamp, J.; Frasnelli, J.; Buettner, A.; Scheibe, M.; Hansel, A.; Hummel, T. Characterization of an olfactometer by proton-transfer-reaction mass spectrometry. Meas. Sci. Technol. 2010, 21, 1–9. [Google Scholar] [CrossRef]
- Jonassen, K.E.N.; Pedersen, P.; Riis, A.L.; Sorensen, K. Does the choice of olfactometric laboratory affect the efficiency of odour abatement technologies? In Proceedings of the Nose 2012: 3rd International Conference on Environmental Odour Monitoring and Control, Palermo, Italy, 23–26 September 2012. [Google Scholar]
- Bokowa, A.; Beukes, J.A. How reliable are odour assessments? Water Sci. Technol. 2012, 66, 2049–2055. [Google Scholar] [CrossRef] [PubMed]
- Walgraeve, C.; Van Huffel, K.; Bruneel, J.; Van Langenhove, H. Evaluation of the performance of field olfactometers by selected ion flow tube mass spectrometry. Biosystems Eng. 2015, 137, 84–94. [Google Scholar] [CrossRef]
- Henry, C.G.; Schulte, D.D.; Hoff, S.J.; Jacobson, L.D.; Parkhurst, A.M. Comparison of ambient odor assessment techniques in a controlled environment. Trans. ASABE 2011, 54, 1865–1872. [Google Scholar] [CrossRef]
- Devos, M.; Patte, F.; Rounault, J.; Laffert, P.; Van Gemert, L.J. Standardized Human Olfactory Thresholds; IRL Press: Oxford, UK, 1990. [Google Scholar]
- Van Gemert, L.J. Compilations of Odour Threshold Values in Air, Water and Other Media; Boelens Aroma Chemical Information Services: Huizen, The Netherlands, 2003. [Google Scholar]
- Clanton, C.J.; Schmidt, D.R.; Nicolai, R.E.; Goodrich, P.R.; Jacobson, L.D.; Janni, K.A.; Weisberg, S.; Buckel, J.A. Dynamic olfactometry variability in determining odor dilutions-to-threshold. Trans. ASABE 1999, 42, 1103–1112. [Google Scholar] [CrossRef]
- Feilberg, A.; Liu, D.; Adamsen, A.P.S.; Hansen, M.J.; Jonassen, K.E.N. Odorant emissions from intensive pig production measured by online proton-transfer-reaction mass spectrometry. Environ. Sci. Technol. 2010, 44, 5894–5900. [Google Scholar] [CrossRef] [PubMed]
- Schiffman, S.S.; Bennett, J.L.; Raymer, J.H. Quantification of odors and odorants from swine operations in North Carolina. Agric. For. Meteorol. 2001, 108, 213–240. [Google Scholar] [CrossRef]
- Wright, D.W.; Eaton, D.K.; Nielsen, L.T.; Kuhrt, F.W.; Koziel, J.A.; Spinhirne, J.P.; Parker, D.B. Multidimensional gas chromatography-olfactometry for the identification and prioritization of malodors from confined animal feeding operations. J. Agric. Food. Chem. 2005, 53, 8663–8672. [Google Scholar] [CrossRef] [PubMed]
- Mikoviny, T.; Kaser, L.; Wisthaler, A. Development and characterization of a high-temperature proton-transfer-reaction mass spectrometer (HT-PTR-MS). Atmos. Meas. Tech. 2010, 3, 537–544. [Google Scholar] [CrossRef]
- Karl, T.G.; Spirig, C.; Rinne, J.; Stroud, C.; Prevost, P.; Greenberg, J.; Fall, R.; Guenther, A. Virtual disjunct eddy covariance measurements of organic compound fluxes from a subalpine forest using proton transfer reaction mass spectrometry. Atmos. Chem. Phys. 2002, 2, 279–291. [Google Scholar] [CrossRef]
- Warneke, C.; De Gouw, J.A.; Kuster, W.C.; Goldan, P.D.; Fall, R. Validation of atmospheric VOC measurements by proton-transfer-reaction mass spectrometry using a gas-chromatographic preseparation method environmental. Sci. Technol. 2003, 37, 2494–2501. [Google Scholar] [CrossRef]
- Schuhfried, E.; Aprea, E.; Cappellin, L.; Soukoulis, C.; Viola, R.; Märk, T.D.; Gasperi, F.; Biasioli, F. Desorption kinetics with PTR-MS: Isothermal differential desorption kinetics from a heterogeneous inlet surface at ambient pressure and a new concept for compound identification. Int. J. Mass Spectrom. 2012, 314, 33–41. [Google Scholar] [CrossRef]
- Kim, K.H.; Choi, G.H.; Choi, Y.J.; Song, H.N.; Yang, H.S.; Oh, J.M. The effects of sampling materials selection in the collection of reduced sulfur compounds in air. Talanta 2006, 68, 1713–1719. [Google Scholar] [CrossRef] [PubMed]
- Devai, I.; De Laune, R.D. Changes in reduced gaseous sulfur compounds collected in glass gas sampling bulbs. Anal. Lett. 1994, 27, 2403–2411. [Google Scholar] [CrossRef]
- Trabue, S.; Scoggin, K.; Mitloehner, F.; Li, H.; Burns, R.; Xin, H.W. Field sampling method for quantifying volatile sulfur compounds from animal feeding operations. Atmos. Environ. 2008, 42, 3332–3341. [Google Scholar] [CrossRef]









| Compound | m/z Value | Detection Limit (ppb) | Inlet Concentration (ppmv) | Fitted B-Value ± 95% Confidence Interval | Average Model Fit (R2) |
|---|---|---|---|---|---|
| Trimethylamine | 60 | 0.55 | 2.7 0.1 | 0.11 0.018 | 0.94 |
| 4-Methylphenol | 109 | 0.50 | 3.6 0.2 | 0.27 0.16 | 0.82 |
| Butanoic acid | 89 + 71 | 0.41 | 3.2 0.2 | 0.82 0.14 | 0.81 |
| 3-Methylbutanoic acid | 103 + 85 | 0.29 | 5.3 0.7 | 0.96 0.29 | 0.70 |
| Propanoic acid | 75 + 57 | 0.20 | 3.2 0.4 | 1.25 0.31 | 0.90 |
| Acetic acid | 61 + 43 | 1.0 | 4.4 0.1 | 1.59 0.36 | 0.98 |
| Hydrogen sulfide | 35 | 2.6 | 5.55 0.55 | 2.60 1.4 | 0.96 |
| Methanethiol | 49 | 0.06 | 5.15 0.51 | 2.15 1.1 | 0.98 |
| Dimethyl sulfide | 63 | 0.19 | 6.03 0.30 | 1.91 0.68 | 0.84 |
| n-Butanol | 57 | 0.37 | 20 1.0 | 2.41 0.13 | 0.99 |
| TO8 Olfactometer | Glass Olfactometer | Olfacton | |||||||
|---|---|---|---|---|---|---|---|---|---|
| 2.2 s | 15 s | 60 s | 2.2 s | 15 s | 60 s | 2.2 s | 15 s | 60 s | |
| n-Butanol | 68.1 (12.7) | 76.7 (2.1) | 98.8 (3.1) | 33.9 (63.2) | 62.2 (3.5) | 61.7 (1.7) | 29.5 (63.1) | 70.0 (3.9) | 77.6 (3.8) |
| 4-Methylphenol | 68.1 (12.7) | 76.7 (2.1) | 98.8 (3.1) | 80.3 (13.4) | 84.7 (3.1) | 82.1 (4.7) | 48.0 (5.8) | 63.5 (2.4) | 82.0 (1.8) |
| Dimethyl sulfide | 97.3 (2.2) | 97.6 (1.1) | 97.0 (0.7) | 63.0 (44.3) | 100.5 (5.0) | 104.1 (4.5) | 97.3 (7.5) | 99.2 (4.1) | 100.9 (5.2) |
| Methanethiol | 98.3 (1.0) | 99.2 (3.8) | 95.5 (9.8) | 77.5 (8.3) | 82.8 (3.4) | 84.7 (3.3) | 74.8 (22.3) | 102.0 (5.8) | 101.3 (3.4) |
| Hydrogen sulfide | 87.0 (2.7) | 80.6 (8.9) | 95.5 (17.8) | 44.8 (3.3) | 43.2 (5.2) | 47.5 (4.9) | 58.7 (25.9) | 95.7 (11.1) | 89.0 (5.0) |
| Butanoic acid | 45.1 (1.4) | 57.8 (1.2) | 79.4 (9.3) | 49.5 (14.0) | 69.3 (5.5) | 73.2 (3.1) | 33.9 (18.6) | 70.0 (2.7) | 77.6 (2.9) |
| Acetic acid | 62.9 (13.6) | 86.5 (2.6) | 95.3 (1.8) | 38.0 (26.6) | 85.1 (6.8) | 86.6 (4.8) | 63.6 (9.6) | 87.9 (4.3) | 90.6 (2.9) |
| Propanoic acid | 73.8 (6.8) | 82.6 (2.7) | 94.0 (8.8) | 51.5 (17.3) | 80.0 (2.0) | 88.1 (2.2) | 62.2 (18.5) | 92.3 (2.0) | 98.0 (3.4) |
| 3-Methylbutanoic acid | 25.0 (7.2) | 43.2 (18.5) | 72.0 (22.7) | 20.6 (8.3) | 42.8 (6.1) | 55.6 (9.1) | <DL <DL | 40.7 (11.2) | 81.8 (15.0) |
| Average Recovery | 69.5 | 77.8 | 91.8 | 51.0 | 72.3 | 76.0 | 52.0 | 80.1 | 88.8 |
© 2017 by the authors. Licensee MDPI, Basel, Switzerland. This article is an open access article distributed under the terms and conditions of the Creative Commons Attribution (CC BY) license (http://creativecommons.org/licenses/by/4.0/).
Share and Cite
Kasper, P.L.; Mannebeck, D.; Oxbøl, A.; Nygaard, J.V.; Hansen, M.J.; Feilberg, A. Effects of Dilution Systems in Olfactometry on the Recovery of Typical Livestock Odorants Determined by PTR-MS. Sensors 2017, 17, 1859. https://doi.org/10.3390/s17081859
Kasper PL, Mannebeck D, Oxbøl A, Nygaard JV, Hansen MJ, Feilberg A. Effects of Dilution Systems in Olfactometry on the Recovery of Typical Livestock Odorants Determined by PTR-MS. Sensors. 2017; 17(8):1859. https://doi.org/10.3390/s17081859
Chicago/Turabian StyleKasper, Pernille Lund, Dietmar Mannebeck, Arne Oxbøl, Jens Vinge Nygaard, Michael Jørgen Hansen, and Anders Feilberg. 2017. "Effects of Dilution Systems in Olfactometry on the Recovery of Typical Livestock Odorants Determined by PTR-MS" Sensors 17, no. 8: 1859. https://doi.org/10.3390/s17081859
APA StyleKasper, P. L., Mannebeck, D., Oxbøl, A., Nygaard, J. V., Hansen, M. J., & Feilberg, A. (2017). Effects of Dilution Systems in Olfactometry on the Recovery of Typical Livestock Odorants Determined by PTR-MS. Sensors, 17(8), 1859. https://doi.org/10.3390/s17081859

