Frequency Domain Analysis of Sensor Data for Event Classification in Real-Time Robot Assisted Deburring
Abstract
:1. Introduction
2. Process Monitoring in Machining
2.1. Sensors and Signal Processing
2.2. Frequency Domain Analysis
2.3. Event Classification
3. Experiment Setup
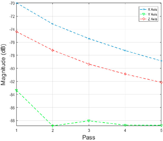
3.1. Data Analysis and Results
3.2. Sensor Placement Effect on Vibration Signal
3.3. Fuzzy Inference System (FIS)-Based Event Classification
4. Conclusions
Acknowledgments
Author Contributions
Conflicts of Interest
References
- Pappachan, B.K.; Tjahjowidodo, T.; Wijaya, T. Event Classification from Sensor Data using Spectral Analysis in Robotic Finishing Processes. In Proceedings of the 6th International Conference on Sensor Networks, Porto, Portugal, 19–21 February 2017; Volume 1, pp. 80–86. [Google Scholar]
- Bisu, C.; Olteanu, L.; Laheurte, R.; Darnis, P.; Cahuc, O. Experimental Approach on Torsor Dynamic Analysis for Milling Process Monitoring and Diagnosis. Proc. CIRP 2013, 12, 73–78. [Google Scholar] [CrossRef]
- Dornfeld, D.; Wright, P.; Helu, M.; Vijayaraghavan, A. Enabling Manufacturing Research through Interoperability; University of California: Berkeley, CA, USA, 2009. [Google Scholar]
- Rotor Manufacuring Team and Aviation Industries Association. Guidelines to Minimize Manufacturing Induced Anomalies in Critical Rotating Parts. 2006. Available online: http://lessonslearned.faa.gov/ (accessed on 30 May 2017).
- Stavropoulos, P.; Chantzis, D.; Doukas, C.; Papacharalampopoulos, A.; Chryssolouris, G. Monitoring and Control of Manufacturing Processes: A Review. Proc. CIRP 2013, 8, 421–425. [Google Scholar] [CrossRef]
- Caesarendra, W.; Kosasih, B.; Tieu, A.K.; Moodie, C.A.S. Circular domain features based condition monitoring for low speed slewing bearing. Mech. Syst. Signal Process. 2014, 45, 114–138. [Google Scholar] [CrossRef]
- Lei, Y.; Jia, F.; Lin, J.; Xing, S.; Ding, S.X. An Intelligent Fault Diagnosis Method Using Unsupervised Feature Learning Towards Mechanical Big Data. IEEE Trans. Ind. Electron. 2016, 63, 3137–3147. [Google Scholar] [CrossRef]
- Son, J.-D.; Ahn, B.-H.; Ha, J.-M.; Choi, B.-K. An availability of MEMS-based accelerometers and current sensors in machinery fault diagnosis. Measurement 2016, 94, 680–691. [Google Scholar] [CrossRef]
- Zhang, W.; Peng, G.; Li, C.; Chen, Y.; Zhang, Z. A New Deep Learning Model for Fault Diagnosis with Good Anti-Noise and Domain Adaptation Ability on Raw Vibration Signals. Sensors 2017, 17, 425. [Google Scholar] [CrossRef] [PubMed]
- Chen, Y.; Sun, R.; Gao, Y.; Leopold, J. A nested-ANN prediction model for surface roughness considering the effects of cutting forces and tool vibrations. Measurement 2017, 98, 25–34. [Google Scholar] [CrossRef]
- Pandiyan, V.; Caesarendra, W.; Tjahjowidodo, T.; Praveen, G. Predictive Modelling and Analysis of Process Parameters on Material Removal Characteristics in Abrasive Belt Grinding Process. Appl. Sci. 2017, 7, 363. [Google Scholar] [CrossRef]
- Zain, A.M.; Haron, H.; Sharif, S. Prediction of surface roughness in the end milling machining using Artificial Neural Network. Expert Syst. Appl. 2010, 37, 1755–1768. [Google Scholar] [CrossRef]
- Teti, R.; Jemielniak, K.; O’Donnell, G.; Dornfeld, D. Advanced monitoring of machining operations. CIRP Ann. Manuf. Technol. 2010, 59, 717–739. [Google Scholar] [CrossRef]
- Barai, R.K.; Tjahjowidodo, T.; Pappachan, B.K. Fuzzy inference system based intelligent sensor fusion for estimation of surface roughness in machining process. In Proceedings of the 2015 9th International Conference on Sensing Technology (ICST), Auckland, New Zealand, 8–10 December 2015; pp. 799–802. [Google Scholar]
- Byrne, G.; Dornfeld, D.; Inasaki, I.; Ketteler, G.; König, W.; Teti, R. Tool Condition Monitoring (TCM)—The Status of Research and Industrial Application. CIRP Ann. Manuf. Technol. 1995, 44, 541–567. [Google Scholar] [CrossRef]
- Klocke, F.; Wirtz, G.; Veselovac, D.E. Design Approach for Adaptive Axial Force Control in Gun Drilling. Proceedings of ASME 2008 International Mechanical Engineering Congress and Exposition, Boston, MA, USA, 31 October–6 November 2008; pp. 583–588. [Google Scholar]
- Pritschow, G.; Kramer, C. Open system architecture for drives. CIRP Ann. Manuf. Technol. 2005, 54, 375–378. [Google Scholar] [CrossRef]
- Lee, Y.X.; Dornfeld, D.A. Application of open architecture control system in precision machining. In Proceedings of the 31st CIRP International Seminar on Manufacturing Systems, Berkeley, CA, USA, 26–28 May 1998; pp. 436–441. [Google Scholar]
- El-Wardany, T.I.; Gao, D.; Elbestawi, M.A. Tool condition monitoring in drilling using vibration signature analysis. Int. J. Mach. Tools Manuf. 1996, 36, 687–711. [Google Scholar] [CrossRef]























| Monitoring Aspect | Sensor System Used | Signal Processing | Process |
|---|---|---|---|
| Process: Faults and Conditions, Chatter | AE, Vibrations, Cutting Force | Frequency domain analysis, Wavelet transform, Statistical | Milling, Turning, Other |
| Tool: Wear, Breakage | AE, Vibrations, Cutting force, Camera | Frequency domain analysis, Wavelet transform, Image analysis | Milling, Band sawing, Broaching, Turning, Tapping |
| Surface Quality: Surface finish and roughness, Surface geometry | AE, Vibrations, Cutting force | Frequency domain analysis, Statistical | Milling, Turning, Hand Machining |
| Other: Spindle, Surface integrity | Vibrations | Frequency domain analysis | Turning |
| Pass | Skewness | Kurtosis | RMS | ||||||
|---|---|---|---|---|---|---|---|---|---|
| X | Y | Z | X | Y | Z | X | Y | Z | |
| 1 | −0.16 | −0.06 | −0.20 | 11.91 | 11.47 | 8.40 | 0.0294 | 0.0343 | 0.0333 |
| 2 | −0.18 | −0.09 | −0.14 | 9.93 | 10.73 | 9.20 | 0.0284 | 0.0326 | 0.0315 |
| 3 | −0.15 | −0.06 | −0.10 | 11.21 | 15.43 | 14.38 | 0.0287 | 0.0329 | 0.0315 |
| 4 | −0.20 | −0.07 | −0.13 | 9.15 | 12.30 | 13.40 | 0.0288 | 0.0328 | 0.0314 |
| 5 | −0.28 | −0.10 | −0.29 | 7.70 | 8.36 | 6.29 | 0.0289 | 0.0330 | 0.0315 |
| Pass | Chamfer Size (mm) |
|---|---|
| (Initial: 0.84 mm) | |
| 1 | 0.956 |
| 2 | 1.028 |
| 3 | 1.083 |
| 4 | 1.098 |
| 5 | 1.118 |
| Data Number | Magnitude (dB) | ||||
|---|---|---|---|---|---|
| Pass 1 | Pass 2 | Pass 3 | Pass 4 | Pass 5 | |
| Dataset 2 | −80.7 | −82.55 | −82.75 | −83.2 | −84.7 |
| Dataset 3 | −79.6 | −79.75 | −81.5 | −81.15 | −81.65 |
| Dataset 4 | −80.25 | −80.7 | −83.2 | −83.85 | −84.6 |
| Dataset 6 | −70.25 | −71.8 | −74.2 | −74.7 | −75.25 |
| Dataset 8 | 73.3 | −74.35 | −76.7 | −77.9 | −79.1 |
| Dataset 10 | 74.1 | −76.05 | −76.95 | −77.2 | −78.55 |
| Min | −70.25 | −71.8 | −74.2 | −74.7 | −75.25 |
| Median | −76.85 | −77.9 | −79.23 | −79.53 | −80.38 |
| Max | −80.7 | −82.55 | −83.2 | −83.85 | −84.7 |
© 2017 by the authors. Licensee MDPI, Basel, Switzerland. This article is an open access article distributed under the terms and conditions of the Creative Commons Attribution (CC BY) license (http://creativecommons.org/licenses/by/4.0/).
Share and Cite
Pappachan, B.K.; Caesarendra, W.; Tjahjowidodo, T.; Wijaya, T. Frequency Domain Analysis of Sensor Data for Event Classification in Real-Time Robot Assisted Deburring. Sensors 2017, 17, 1247. https://doi.org/10.3390/s17061247
Pappachan BK, Caesarendra W, Tjahjowidodo T, Wijaya T. Frequency Domain Analysis of Sensor Data for Event Classification in Real-Time Robot Assisted Deburring. Sensors. 2017; 17(6):1247. https://doi.org/10.3390/s17061247
Chicago/Turabian StylePappachan, Bobby K, Wahyu Caesarendra, Tegoeh Tjahjowidodo, and Tomi Wijaya. 2017. "Frequency Domain Analysis of Sensor Data for Event Classification in Real-Time Robot Assisted Deburring" Sensors 17, no. 6: 1247. https://doi.org/10.3390/s17061247
APA StylePappachan, B. K., Caesarendra, W., Tjahjowidodo, T., & Wijaya, T. (2017). Frequency Domain Analysis of Sensor Data for Event Classification in Real-Time Robot Assisted Deburring. Sensors, 17(6), 1247. https://doi.org/10.3390/s17061247

