Investigation of Temperature Sensitivity of a Polymer-Overlaid Microfiber Mach-Zehnder Interferometer
Abstract
:1. Introduction
2. Fabrication of the Polymer-Overlaid Microfiber MZI
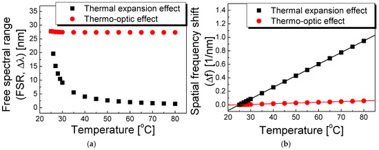
3. Theoretical Analysis of the Temperature Sensitivity of the FSR in the Polymer-Overlaid Microfiber MZI
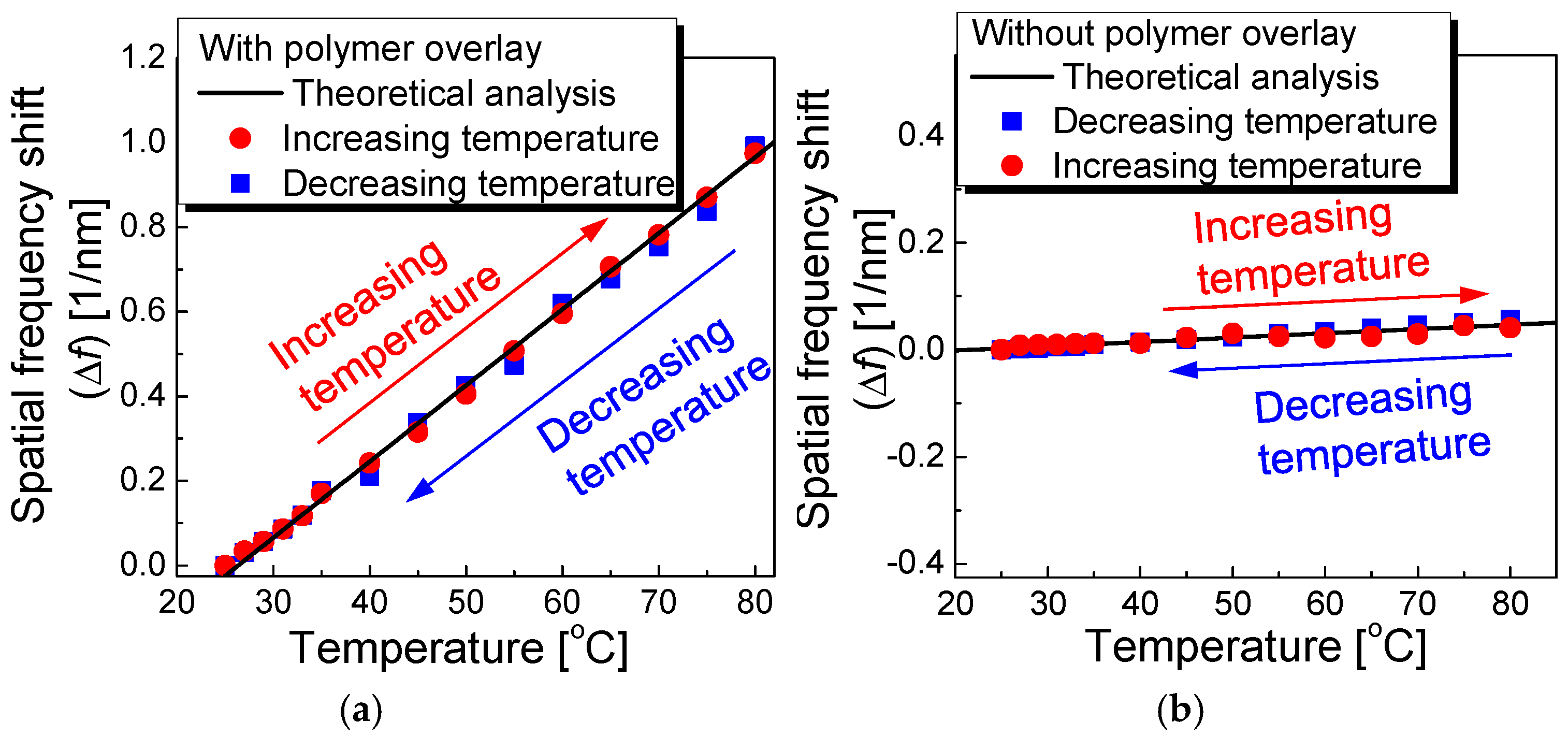
4. Experimental Results and Discussion
5. Conclusions
Acknowledgments
Conflicts of Interest
References
- Zhang, Y.N.; Peng, H.; Qian, X.; Zhang, Y.; An, G.; Zhao, Y. Recent advancements in optical fiber hydrogen sensors. Sens. Actuators. B Chem. 2017, 244, 393–416. [Google Scholar] [CrossRef]
 - Zhang, H.; Wu, Z.; Shum, P.P.; Dinh, X.Q.; Low, C.W.; Xu, Z.; Wang, R.; Shao, X.; Fu, S.; Tong, W.; et al. Highly sensitive strain sensor based on helical structure combined with Mach-Zehnder interferometer in multicore fiber. Sci. Rep. 2017, 7, 46633–46642. [Google Scholar] [CrossRef] [PubMed]
 - Liu, Y.; Wu, G.; Gao, R.; Qu, S. High-quality Mach–Zehnder interferometer based on a microcavity in single-multi-single mode fiber structure for refractive index sensing. Appl. Opt. 2017, 56, 847–853. [Google Scholar] [CrossRef] [PubMed]
 - Huang, X.; Li, X.; Yang, J.; Tao, C.; Guo, X.; Bao, H.; Yin, Y.; Chen, H.; Zhu, Y. An in-line Mach-Zehnder interferometer using thin-core fiber for ammonia gas sensing with high sensitivity. Sci. Rep. 2017, 7, 44994–45001. [Google Scholar] [CrossRef] [PubMed]
 - Xie, N.; Zhang, H.; Liu, B.; Song, B.; Wu, J. Characterization of temperature-dependent refractive indices for nematic liquid crystal employing a microfiber-assisted Mach–Zehnder interferometer. IEEE Light. Technol. 2017, 35, 2966–2972. [Google Scholar] [CrossRef]
 - Li, Y.; Tong, L. Mach–Zehnder interferometers assembled with optical microfibers or nanofibers. Opt. Lett. 2011, 33, 303–305. [Google Scholar] [CrossRef]
 - Li, X.; Ding, H. Temperature insensitive magnetic field sensor based on Ferrofluid clad microfiber resonator. IEEE Photonics Technol. Lett. 2014, 26, 2426–2429. [Google Scholar]
 - Lee, Y.; Moon, J.S.; Kim, K.; Oh, J.W. Polarity Index Dependence of M13 Bacteriophage-Based Nanostructure for Structural Color-Based Sensing. Curr. Opt. Photonics 2017, 1, 12–16. [Google Scholar] [CrossRef]
 - Wang, Y.; Yang, M.; Wang, D.N.; Liu, S.; Lu, P. Fiber in-line Mach–Zehnder interferometer fabricated by femtosecond laser micromachining for refractive index measurement with high sensitivity. Opt. Soc. Am. B 2010, 27, 370–374. [Google Scholar] [CrossRef]
 - Jiang, L.; Yang, J.; Wang, S.; Li, B.; Wang, M. Fiber Mach–Zehnder interferometer based on microcavities for high-temperature sensing with high sensitivity. Opt. Lett. 2011, 36, 3753–3755. [Google Scholar] [CrossRef] [PubMed]
 - Wang, X.; Chen, D.; Li, H.; Feng, G.; Yang, J. In-line Mach–Zehnder interferometric sensor based on a seven-core optical fiber. IEEE Sens. J. 2017, 17, 100–104. [Google Scholar] [CrossRef]
 - Duan, V.; Rao, Y.; Xu, V.; Zhu, T.; Wu, D.; Yao, J. In-fiber Mach–Zehnder interferometer formed by large lateral offset fusion splicing for gases refractive index measurement with high sensitivity. Sens. Actuators B Chem. 2011, 160, 1198–1202. [Google Scholar] [CrossRef]
 - Gallego, D.; Lamela, H. High-sensitivity ultrasound interferometric single-mode polymer optical fiber sensors for biomedical applications. Opt. Lett. 2009, 34, 1807–1809. [Google Scholar] [CrossRef]
 - Lim, K.S.; Harun, S.W.; Damanhuri, S.S.A.; Jasim, A.A.; Tio, C.K.; Ahmad, H. Current sensor based on microfiber knot resonator. Sens. Actuators A Phys. 2011, 167, 60–62. [Google Scholar] [CrossRef]
 - Fang, X.; Liao, C.R.; Wang, D.N. Femtosecond laser fabricated fiber Bragg grating in microfiber for refractive index sensing. Opt. Lett. 2010, 35, 1007–1009. [Google Scholar] [CrossRef] [PubMed]
 - Bai, Z.; Gao, S.; Deng, M.; Zhang, Z.; Li, M.; Zhang, F.; Liao, C.; Wang, Y.; Wang, Y. Bidirectional bend sensor employing a microfiber-assisted U-shaped Fabry-Perot cavity. IEEE Photonics J. 2017, 9, 7103408. [Google Scholar] [CrossRef]
 - Yoon, M.S.; Kim, H.J.; Brambilla, G.; Han, Y.G. Development of a small-size embedded optical microfiber coil resonator with high Q. J. Korean Phys. Soc. 2012, 61, 1381–1385. [Google Scholar] [CrossRef]
 - Wei, F.; Mallik, A.K.; Liu, D.; Wu, Q.; Peng, G.D.; Farrell, G.; Semenova, Y. Magnetic field sensor based on a combination of a microfiber coupler covered with magnetic fluid and a Sagnac loop. Sci. Rep. 2017, 7, 4725. [Google Scholar] [CrossRef] [PubMed]
 - Ding, J.; Zhang, A.P.; Shao, L.; Yan, J.; He, S. Fiber-taper seeded long-period grating pair as a highly sensitive refractive-index sensor. IEEE Photonics Technol. Lett. 2005, 17, 1247–1249. [Google Scholar] [CrossRef]
 - Jasim, A.A.; Harun, S.W.; Arof, H.; Ahmad, H. In line microfiber Mach–Zehnder interferometer for high temperature sensing. IEEE Sens. 2013, 13, 626–628. [Google Scholar] [CrossRef]
 - Liao, C.R.; Wang, D.N.; Wang, Y. Microfiber in-line Mach–Zehnder interferometer for strain sensing. Opt. Lett. 2013, 38, 757–759. [Google Scholar] [CrossRef] [PubMed]
 - Tan, Y.; Sun, L.; Jin, L.; Li, J.; Guan, B. Microfiber Mach-Zehnder interferometer based on long period grating for sensing applications. Opt. Express 2013, 21, 154–164. [Google Scholar] [CrossRef] [PubMed]
 - Zhu, S.; Pang, F.; Wang, T. Single-mode tapered optical fiber for temperature sensor based on multimode interference. In Proceedings of the 2011 Asia Communications and Photonics Conference and Exhibition (ACP), Shanghai, China, 13–16 November 2011. [Google Scholar]
 - Ahmed, F.; Ahsani, V.; Saad, A.; Jun, M.B.G. Bragg Grating Embedded in Mach-Zehnder Interferometer for Refractive Index and Temperature Sensing. IEEE Photonics Technol. Lett. 2016, 28, 1968–1971. [Google Scholar] [CrossRef]
 - Yoon, M.S.; Park, S.; Han, Y.G. Simultaneous measurement of strain and temperature by using a micro-tapered fiber grating. IEEE J. Light. Technol. 2012, 30, 1156–1160. [Google Scholar] [CrossRef]
 - Birks, T.A.; Li, Y.W. The shape of fiber tapers. J. Light. Technol. 1992, 10, 432–438. [Google Scholar] [CrossRef]
 - Xu, Y.; Lu, P.; Chen, L.; Bao, X. Recent developments in micro-structured fiber optic sensors. Fibers 2017, 5, 3. [Google Scholar] [CrossRef]
 - Long, W.; Zou, W.; Hong, Z.; Su, Y.; Tong, L.; Yang, L.; Zhou, L.; Li, X.; Chen, J. Characterization of DNA optical microfiber devices fabricated by drawing. In Proceedings of the 2011 Conference on Lasers and Electro-Optics (CLEO), Baltimore, MD, USA, 1–6 May 2011. [Google Scholar]
 - Lim, T.Y.; Kim, Y.S.; Park, S.C. Achromatic and athermal design of an optical system with corrected Petzval curvature on a three-dimensional glass chart. Curr. Opt. Photonics 2017, 1, 378–388. [Google Scholar]
 - Wo, J.; Wang, G.; Cui, Y.; Sun, Q.; Liang, R.; Shum, P.P.; Liu, D. Refractive index sensor using microfiber-based Mach–Zehnder interferometer. Opt. Lett. 2012, 37, 67–69. [Google Scholar] [CrossRef] [PubMed]
 - Chae, Y.G.; Park, E.K.; Jeon, M.Y.; Jeon, B.H.; Ahn, Y.C. Stiffness comparison of tissue phantoms using optical coherence elastography without a load cell. Curr. Opt. Photonics 2017, 1, 17–22. [Google Scholar] [CrossRef]
 






© 2017 by the author. Licensee MDPI, Basel, Switzerland. This article is an open access article distributed under the terms and conditions of the Creative Commons Attribution (CC BY) license (http://creativecommons.org/licenses/by/4.0/).
Share and Cite
Han, Y.-G. Investigation of Temperature Sensitivity of a Polymer-Overlaid Microfiber Mach-Zehnder Interferometer. Sensors 2017, 17, 2403. https://doi.org/10.3390/s17102403
Han Y-G. Investigation of Temperature Sensitivity of a Polymer-Overlaid Microfiber Mach-Zehnder Interferometer. Sensors. 2017; 17(10):2403. https://doi.org/10.3390/s17102403
Chicago/Turabian StyleHan, Young-Geun. 2017. "Investigation of Temperature Sensitivity of a Polymer-Overlaid Microfiber Mach-Zehnder Interferometer" Sensors 17, no. 10: 2403. https://doi.org/10.3390/s17102403
APA StyleHan, Y.-G. (2017). Investigation of Temperature Sensitivity of a Polymer-Overlaid Microfiber Mach-Zehnder Interferometer. Sensors, 17(10), 2403. https://doi.org/10.3390/s17102403
        