Multiscale Trend Analysis for Pampa Grasslands Using Ground Data and Vegetation Sensor Imagery
Abstract
:1. Introduction

2. Materials and Methods
2.1. Study Area, Scales and Data

2.1.1. Description of the Long-Term Experiment
2.1.2. Selection and Identification of Monitored Areas at the Regional Scale
2.1.3. Meteorological Data
2.2. Data Analysis
2.2.1. Climate Characterization and Trends
2.2.2. Spectral Reflectance Patterns for the Pampa Grasslands and Its Trends
2.2.3. Aboveground Seasonal Patterns of Net Primary Productivity
2.2.4. Scale Analysis
3. Results and Discussion
3.1. Climate Characterization and Analysis

3.1.1. Trend Analysis of Rainfall and Actual Evapotranspiration

3.1.2. Analysis of Air Temperature Trends


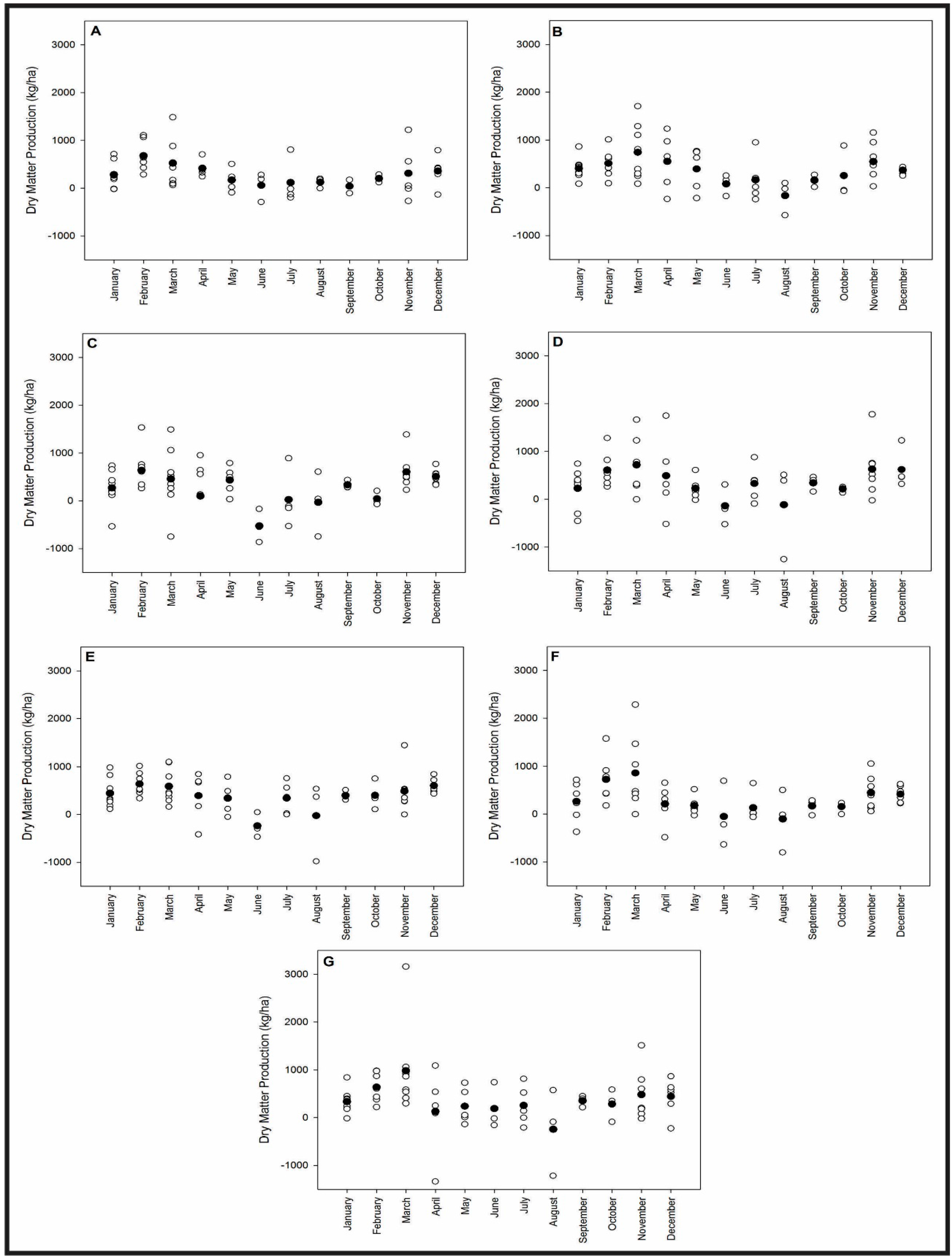
3.2. Monthly Evaluation of ANPP Data at the Local Scale

3.3. Variations of the Spectral Reflectance of Grasslands at the Regional Scale and Their Relationships with Meteorological and ANPP Datasets


3.4. Evaluation of NDVI Seasonal Patterns at the Regional Scale

3.5. Comparison of Data at the Regional Scale

| Forage Allowance | NDVI |
|---|---|
| 4% | 0.90 ** |
| 8% | 0.86 ** |
| 12% | 0.58 * |
| 16% | 0.67 * |
| 8%–12% | 0.68 * |
| 12%–8% | 0.77 ** |
| 16%–12% | 0.87 ** |
4. Conclusions
Supplementary Materials
Acknowledgments
Author Contributions
Conflicts of Interest
References
- Soriano, A.; Río, de la. Plata grasslands. In Ecosystems of the World; Coupland, R.T., Ed.; Elsevier: Amsterdam, The Netherlands, 1991; pp. 367–407. [Google Scholar]
- Paruelo, J.M.; Jobbágy, E.G.; Oesterheld, M.; Golluscio, R.A.; Aguiar, M.R. The grasslands and steppes of Patagonia and the Rio de la Plata plains. In The Physical Geography of South America; Veblen, T., Young, K., Orme, A., Eds.; Oxford University Press: Oxford, England, 2007; pp. 232–248. [Google Scholar]
- Overbeck, G.E.; Müller, S.C.; Fidelis, A.T.; Pfadenhauer, J.; Pillar, V.D.; Blanco, C.C.; Boldrini, I.I.; Both, R.; Forneck, E.D. Brazil’s neglected biome: The south brazilian campos. Perspect. Plant. Ecol. Evolut. Syst. 2007, 9, 101–116. [Google Scholar] [CrossRef]
- Boldrini, I.I. A flora dos campos do Rio Grande do Sul. In Campos Sulinos: Conservação e Uso Sustentável da Biodiversidade; Pillar, V.P., Müller, S.C., Castilhos, Z.M.S., Jacques, A.V.A., Eds.; Ministério do Meio Ambiente: Brasília, Brasil, 2009; pp. 63–77. (In Portuguese) [Google Scholar]
- Bencke, G.A. Diversidade e conservação da fauna dos Campos do Sul do Brasil. In Campos Sulinos: Conservação e uso Sustentável da Biodiversidade; Pillar, V.P., Müller, S.C., Castilhos, Z.M.S., Jacques, A.V.A., Eds.; Ministério do Meio Ambiente: Brasília, Brasil, 2009; pp. 101–121. (In Portuguese) [Google Scholar]
- Chesser, R.T. Migration in South America: An overview of the austral system. Bird Conserv. Int. 1994, 4, 91–107. [Google Scholar] [CrossRef]
- Di Giacomo, A.S.; Krapovickas, S. Conserving the grassland important bird areas (IBAs) of southern South America: Argentina, Uruguay, Paraguay, and Brazil. In Proceedings of Bird Conservation Implementation and Integration in the Americas: proceedings of the Third International Partners in Flight Conference, Albany, CA, USA, 20–24 March 2002.
- Carvalho, P.C.F.; Batello, C. Access to land, livestock production and ecosystem conservation in the Brazilian Campos biome: The natural grasslands dilemma. Livestock Sci. 2009, 120, 158–162. [Google Scholar] [CrossRef]
- Atlas Socioeconômico do Rio Grande do Sul. Características do território. Available online: http://www.scp.rs.gov.br/atlas (accessed on 12 December 2014). (In Portuguese)
- Ollinger, S.V.; Treuhaft, R.N.; Braswell, B.H.; Anderson, J.E.; Martin, M.E.; Marie-Louise, S. The role of remote sensing in the study of terrestrial net primary production. In Principles and Standards for Measuring Primary Production; Fahey, T.J., Knapp, A.K., Eds.; Oxford University Press: New York, NY, USA, 2007; pp. 204–237. [Google Scholar]
- Thornley, J.H.M. Grassland Dynamics: An Ecosystem Simulation Model; CAB Internacional: Cambridge, England, 1988. [Google Scholar]
- Bettolli, M.L.; Del Carmen, M.; Brasesco, G.; Rudorff, F.; Ortiz, A.M.; Arroyo, J.; Armoa, J. Pastura natural de salto (Uruguay): relación con la variabilidad climática y análisis de contextos futuros de cambio climático. Revista Brasileira de Meteorologia 2010, 25, 248–259. (In Spanish) [Google Scholar] [CrossRef]
- Roughgarden, J.; Running, S.W.; Matson, P.A. What does remote sensing do for ecology? Ecology 1991, 72, 1918–1922. [Google Scholar] [CrossRef]
- Zhao, M.; Running, S.T. Remote sensing of terrestrial primary production and carbon cycle. In Advances in Land Remote Sensing: System, Modelling, Inversion and Application; Liang, S., Ed.; Springer: College Park, FL, USA, 2008; pp. 423–444. [Google Scholar]
- Nobel, P.S. Physicochemical and Environmental Plant Physiology; Academic Press: London, UK, 1999. [Google Scholar]
- Jiang, Y.; Carrow, R.N. Assessment of narrow-band canopy spectral reflectance and turfgrass performance under drought stress. HortScience 2005, 40, 242–245. [Google Scholar]
- Salisbury, F.B.; Ross, C.W. Plant. Physiology; Wadsworth Publishing Company: Belmont, CA, USA, 1992. [Google Scholar]
- Hall, D.O.; Rao, K.K. Photosynthesis; Cambridge University Press: Cambridge, England, 1994. [Google Scholar]
- Kasperbauer, M.J. Light and plant development. In Plant Environment Interactions; Wilkinson, R., Ed.; Marcel Dekker: New York, NY, USA, 1994; pp. 83–123. [Google Scholar]
- Russel, G.; Jarvis, P.G.; Monteith, J.L. Absorption of radiation by canopies and stand growth. In Plant Canopies: Their Growth, Form and Function; Russel, G., Marshall, B., Jarvis, P.G., Eds.; Cambridge University Press: Cambridge, England, 1989; pp. 21–39. [Google Scholar]
- Nobel, P.S.; Forseth, I.; Long, S.P. Canopy structure and light interception. In Photosynthesis and Production in a Changing Environment; Hall, D.O., Scurlock, J.M.O., Bolhàr-Nordenkampf, H.R., Leegood, R.C., Long, S.P., Eds.; Chapman & Hall: London, England, 1993; pp. 79–90. [Google Scholar]
- Goel, N.S. Models of vegetation canopy reflectance and their use in estimation of biophysical parameters from reflectance data. Remote Sens. Rev. 1998, 4, 1–212. [Google Scholar] [CrossRef]
- Fisher, J.I.; Mustard, J.F.; Vadeboncoeur, M.A. Green leaf phenology at Landsat resolution: Scaling from the field to the satellite. Remote Sens. Environ. 2006, 100, 265–279. [Google Scholar] [CrossRef]
- Curran, P.J.; Milton, E.J. The relationships between the chlorophyll concentration, LAI and reflectance of a simple vegetation canopy. Int. J. Remote Sens. 1983, 4, 247–255. [Google Scholar] [CrossRef]
- Knipling, E.B. Physical and physiological basis for the reflectance visible and near infrared radiation from vegetation. Remote Sens. Environ. 1970, 1, 155–159. [Google Scholar] [CrossRef]
- Tucker, C.J. The Remote Estimation of a Grassland Canopy/its Biomass, Chlorophyll, Leaf Water, and Underlying Soil Spectra. Master’s Thesis, Colorado State University, Fort Collins, CO, USA, 1973. [Google Scholar]
- Woolley, J.T. Reflectance and transmitance of light by leaves. Plant. Physiol. 1971, 47, 656–662. [Google Scholar] [CrossRef] [PubMed]
- Thomas, J.R.; Gausman, H.W. Leaf reflectance vs. leaf chlorophyll and carotenoid concentrations for eight crops. Agron. J. 1977, 69, 799–802. [Google Scholar] [CrossRef]
- Tucker, C.J. Remote sensing of leaf water content in the near infrared. Remote Sens. Environ. 1980, 10, 23–32. [Google Scholar] [CrossRef]
- Bowman, W. The relationship between leaf water status gas exchange, and spectral reflectance in cotton leaves. Remote Sens. Environ. 1989, 30, 249–255. [Google Scholar] [CrossRef]
- Fensholt, R.; Sandholt, I. Derivation of a shortwave infrared water stress index from MODIS near-and shortwave infrared data in a semiarid environment. Remote Sens. Environ. 2003, 87, 111–121. [Google Scholar] [CrossRef]
- Carter, G.A. Responses of leaf spectral reflectance to plant stress. Am. J. Botany 1993, 90, 239–243. [Google Scholar] [CrossRef]
- Tucker, C.J. Red and photographic infrared linear combinations for monitoring vegetation. Remote Sens. Environ. 1979, 8, 127–150. [Google Scholar] [CrossRef]
- Ceccato, P.; Gobrona, N.; Flasseb, S.; Pintya, B.; Tarantola, S. Designing a spectral index to estimate vegetation water content from remote sensing data: Part 1 Theoretical approach. Remote Sens. Environ. 2002, 82, 188–197. [Google Scholar] [CrossRef]
- Villa, P.; Mousivand, A.; Bresciani, M. Aquatic vegetation indices assessment through radiative transfer modeling and linear mixture simulation. Int. J. Appl. Earth Obs. Geoinf 2014, 30, 113–127. [Google Scholar] [CrossRef]
- Wu, W. The Generalized Difference Vegetation Index (GDVI) for Dryland Characterization. Remote Sens. 2014, 6, 1211–1233. [Google Scholar] [CrossRef]
- Van Dijk, A.; Callis, S.L.; Decker, W.L. Comparison of vegetation indices derived from NOAA/AVHRR data for sahelian crop assessments. Agric. For. Meteorol. 1989, 46, 3–49. [Google Scholar] [CrossRef]
- Steinmetz, S.; Guerif, M.; Delecolle, R.; Baret, F. Spectral estimates of the absorbed photosynthetically active radiation and light-use efficiency of a winter wheat crop subjected to nitrogen and water deficiencies. Int. J. Remote Sens. 1990, 11, 1797–1808. [Google Scholar] [CrossRef]
- Baret, F.; Guyot, G. Potentials and limits of vegetation indices for LAI and APAR assessment. Remote Sens. Environ. 1991, 35, 161–173. [Google Scholar] [CrossRef]
- Rouse, J.W.; Haas, R.H.; Schell, J.A.; Deering, D.W. Monitoring vegetation systems in the Great Plains with ERTS. NASA Spec. Publ. 1974, 351, 309. [Google Scholar]
- Jiang, Z.; Huete, A.; Chen, J.; Chen, Y.; Li, J.; Yan, G.; Zhang, X. Analysis of NDVI and scaled difference vegetation index retrievals of vegetation fraction. Remote Sens. Environ. 2006, 101, 366–378. [Google Scholar] [CrossRef]
- Forkel, M.; Carvalhais, N.; Verbesselt, J.; Mahecha, M.D.; Neigh, C.S.R.; Reichstein, M. Trend change detection in NDVI time series: effects of inter-annual variability and methodology. Remote Sens. 2013, 5, 2113–2144. [Google Scholar] [CrossRef]
- Piñeiro, G.; Oesterheld, M.; Paruelo, J.M. Seasonal variation in aboveground production and radiation-use efficiency of temperate rangelands estimated through remote sensing. Ecosystems 2003, 9, 357–373. [Google Scholar] [CrossRef]
- Paruelo, J.M.; Garbulski, M.F.; Guerschman, J.P.; Oesterheld, M. Caracterizacion regional de los recursos forrajeros de las zonas templadas de Argentina mediante imagenes satelitarias. Revista Argentina de Producción Animal 1999, 19, 125–131. (In Spanish) [Google Scholar]
- Fabricante, I.; Oesterheld, M.; Paruelo, J.M. Annual and seasonal variation of NDVI explained by current and previous precipitation across Northern Patagonia. J. Arid Environ. 2009, 73, 745–753. [Google Scholar] [CrossRef]
- Fonseca, E.L.; Formaggio, A.R.; Ponzoni, F.J. Estimativa da disponibilidade de forragem do bioma Campos Sulinos a partir de dados radiométricos orbitais: parametrização do submodelo espectral. Ciência Rural 2007, 37, 1668–1674. (In Portuguese) [Google Scholar] [CrossRef]
- Wagner, A.P.L.; Fontana, D.C.; Fraise, C.; Weber, E.; Hasenack, H. Tendências temporais de índices de vegetação nos campos do Pampa do Brasil e do Uruguai. Pesquisa Agropecuária Brasileira 2013, 48, 1192–1200. (In Portuguese) [Google Scholar] [CrossRef]
- Jacóbsen, L.O.; Fontana, D.C.; Shimabukuro, Y.E. Alterações na vegetação em macrozonas do Rio Grande do Sul associados a eventos El Niño e La Niña, usando imagens NOAA. Revista Brasileira de Agrometeorologia 2003, 11, 361–374. (In Portuguese) [Google Scholar]
- Vegetation User’s Guide. Available online: http://www.vgt.vito.be/userguide/userguide.htm (accessed on 7 June 2015).
- Rahman, H.; Dedieu, G. SMAC: A simplified method for the atmospheric correction of satellite measurements in the solar spectrum. Int. J. Remote Sens. 1994, 15, 123–143. [Google Scholar] [CrossRef]
- Xiao, X.; Boles, S.; Liu, J.; Zhuang, D.; Liu, M. Characterization of forest types in Northeastern China, using multi-temporal SPOT-4 VEGETATION sensor data. Remote Sens. Environ. 2002, 82, 335–348. [Google Scholar] [CrossRef]
- Boles, S.; Xiao, X.; Liu, J.; Zhang, Q.; Munkhtuya, S.; Chen, S.; Ojima, D. Land cover characterization of Temperate East Asia using multi-temporal VEGETATION sensor data. Remote Sens. Environ. 2004, 90, 477–489. [Google Scholar] [CrossRef]
- Lasaponara, R. On the use of principal component analysis (PCA) for evaluating interannual vegetation anomalies from SPOT/VEGETATION NDVI temporal series. Ecol. Model. 2006, 194, 429–434. [Google Scholar] [CrossRef]
- Tchuenté, A.; de Jong, S.M.; Roujean, J.; Favier, C.; Mering, C. Ecosystem mapping at the African continent scale using a hybrid clustering approach based on 1-km resolution multi-annual data from SPOT/VEGETATION. Remote Sens. Environ. 2011, 115, 452–464. [Google Scholar] [CrossRef]
- Jarlan, L.; Mangiarotti, S.; Mougin, E.; Mazzega, P.; Hiernaux, P.; Le Dantec, V. Assimilation of SPOT/VEGETATION NDVI data into a sahelian vegetation dynamics model. Remote Sens. Environ. 2008, 112, 1381–1394. [Google Scholar] [CrossRef]
- Do, T.; Bigot, S.; Galle, S. Vegetation activity in the Upper Oueme Basin (Benin, Africa) studied from SPOT-VGT (2002–2012) according to land cover. Int. J. Remote Sens. Appl. 2014, 4, 121–133. [Google Scholar] [CrossRef]
- Ross, J. Geografia do Brasil; Editora da Universidade de São Paulo: São Paulo, Brazil, 2008. (In Portuguese) [Google Scholar]
- Bergamaschi, H.; Guadagnin, M.R.; Cardoso, L.S.; Silva, M.I.G. Clima da Estação Experimental da UFRGS (e Região de Abrangência); Universidade Federal do Rio Grande do Sul: Porto Alegre, Brazil, 2003. (In Portuguese) [Google Scholar]
- Boldrini, I.; Ferreira, P.; Andrade, B.; Schneider, A.; Setubal, R.; Trevisan, R.; Freitas, E. Bioma Pampa: Diversidade Florística e Fisionômica; Pallotti: Porto Alegre, Brazil, 2010. (In Portuguese) [Google Scholar]
- Trindade, J.K.; Pinto, C.E.; Neves, F.P.; Mezzalira, J.C.; Bremm, C.; Genro, T.C.M.; Tischler, M.R.; Nabinger, C.; Gonda, H.L.; Carvalho, P.C.F. Forage allowance as a target of grazing management: implications on grazing time and forage searching. Rangel. Ecol. Manag. 2012, 65, 382–393. [Google Scholar] [CrossRef]
- Allen, V.G.; Batello, C.; Berretta, E.J.; Hodgson, J.; Kothmann, M.; Li, X.; McIvor, J.; Milne, J.; Morris, C.; Peeters, A.; et al. An international terminology for grazing lands and grazing animals. Grass Forage Sci. 2011, 66, 2–28. [Google Scholar] [CrossRef]
- Wilm, H.G.; Costello, D.F.; Klipple, G.E. Estimating forage yield by the double sampling methods. J. Am. Soc. Agron. 1994, 36, 194–203. [Google Scholar] [CrossRef]
- Neves, F.P.; Carvalho, P.C.F.; Nabinger, C.; Carassai, I.J.; Santos, D.T.; Veiga, G.V. Caracterização da estrutura da vegetação numa pastagem natural do bioma Pampa submetida a diferentes estratégias de manejo da oferta de forragem. Revista Brasileira de Zootecnia 2009, 38, 1685–1694. (In Portuguese) [Google Scholar] [CrossRef]
- Google. Google Earth (Version 6.0.2.2074). Available online: http://www.google.com/earth/ (accessed on 6 June 2015).
- Jong, R.; Bruin, S.; Wit, A.; Schaepman, M.; Dent, D. Analysis of monotonic greening and browning trends from global NDVI time-series. Remote Sens. Environ. 2011, 115, 692–702. [Google Scholar] [CrossRef]
- Traore, S.; Landmann, T.; Forkuo, E.; Traore, C. Assessing Long-Term Trends In Vegetation Productivity Change over the Bani River Basin in Mali (West Africa). J. Geogr. Earth Sci. 2014, 2, 21–34. [Google Scholar]
- Marengo, J.A.; Camargo, C.C. Surface air temperature trends in Southern Brazil for 1960–2002. Int. J. Clim. 2008, 28, 893–904. [Google Scholar] [CrossRef]
- Sansigolo, C.A.; Kayano, M.T. Trends of seasonal maximum and minimum temperatures and precipitation in Southern Brazil for the 1913–2006 period. Theor. Appl. Climatol. 2010, 101, 209–216. [Google Scholar] [CrossRef]
- Fonseca, E.L.; Silveira, V.C.E.; Salomoni, E. Eficiência de conversão da radiação fotossinteticamente ativa incidente em biomassa aérea da vegetação campestre natural no bioma Campos Sulinos do Brasil. Ciência Rural 2006, 36, 656–659. (In Portuguese) [Google Scholar] [CrossRef]
- Soares, A.B.; Carvalho, P.C.F.; Nabinger, C.; Semmelmann, C.; Trindade, J.K.; Guerra, E.; Freitas, T.; Pinto, C.E.; Júnior, J.A.; Frizzo, A. Produção animal e de forragem em pastagem nativa submetida a distintas ofertas de forragem. Ciência Rural 2005, 35, 1148–1154. (In Portuguese) [Google Scholar] [CrossRef]
- Paruelo, J.M.; Aguiar, M.R.; Golluscio, R.A.; León, R.; Pujol, G. Environmental controls of NDVI dynamics in Patagonia based on NOAA-AVHRR satellite data. J. Veg. Sci. 1993, 4, 425–428. [Google Scholar] [CrossRef]
- Fensholt, R.; Rasmussen, K.; Nielsen, T.T.; Mbow, C. Evaluation of earth observation based long term vegetation trends—Intercomparing NDVI time series trend analysis consistency of Sahel from AVHRR GIMMS, Terra MODIS and SPOT VGT data. Remote Sens. Environ. 2009, 113, 1886–1898. [Google Scholar] [CrossRef]
- Cavalcanti, I.; Ferreira, N.J.; Silva, M.G.; Dias, M.A. Tempo e Clima no Brasil; Oficina de Textos: São Paulo, Brazil, 2009. (In Portuguese) [Google Scholar]
- Nimer, E. Climatologia do Brasil; Instituto Brasileiro de Geografia e Estatística: Rio de Janeiro, Brazil, 1979. (In Portuguese) [Google Scholar]
- Viana, D.; Ferreira, N.J.; Conforte, J.C. Aspectos climatológicos da precipitação na região Sul do Brasil: III. Simpósio Internacional de Climatologia: Canela, Brazil, 2009. (In Portuguese) [Google Scholar]
- Barros, V.A.; Doyle, M.E.; Camilloni, I.A. Precipitation trends in southeastern South America: relationship with ENSO phases and with low-level circulation. Theor. Appl. Climatol. 2008, 93, 19–33. [Google Scholar] [CrossRef]
- Orth, R.; Seneviratne, S.I. Propagation of soil moisture memory to streamflow and evapotranspiration in Europe. Hydrol. Earth Syst. Sci. 2013, 17, 3895–3911. [Google Scholar] [CrossRef]
- Berlato, M.A.; Althaus, D. Tendência observada da temperatura mínima e do número de dias de geada do Estado do Rio Grande do Sul. Pesquisa Agropecuária Gaúcha 2010, 16, 7–16. (In Portuguese) [Google Scholar]
- Ashcroft, M.B.; Gollan, J.R. Moisture, thermal inertia, and the spatial distributions of near-surface soil and air temperatures: Understanding factors that promote microrefugia. Agric. For. Meteorol. 2013, 176, 77–89. [Google Scholar] [CrossRef]
- Sala, O.; Deregibus, V.A.; Schlichter, T.; Alippe, H. Productivity dynamics of a native temperate grassland in Argentina. J. Range Manag. 1981, 34, 48–51. [Google Scholar] [CrossRef]
- Jacobo, E.J.; Rodriguez, A.M.; Rossi, J.L.; Salgado, L.P.; Deregibus, V.A. Rotational stocking and production of Italian ryegrass on Argentinean rangelands. J. Range Manag. 2000, 53, 483–488. [Google Scholar] [CrossRef]
- Maraschin, G.E. Manejo do campo nativo, produtividade animal, dinâmica da vegetação e adubação de pastagens nativas do sul do Brasil. In Campos Sulinos: Conservação e uso Sustentável da Biodiversidade; Pillar, V.P., Müller, S.C., Castilhos, Z.M.S., Jacques, A.V.A., Eds.; Ministério do Meio Ambiente: Brasília, Brasil, 2009; pp. 248–259. (In Portuguese) [Google Scholar]
- Nabinger, C.; Ferreira, E.D.; Freitas, A.K.; Carvalho, P.C.F.; Sant’anna, D.M. Produção animal com base no campo nativo: aplicações de resultados de pesquisa. In Campos Sulinos: conservação e uso sustentável da biodiversidade; Pillar, V.P., Müller, S.C., Castilhos, Z.M.S., Jacques, A.V.A., Eds.; Ministério do Meio Ambiente: Brasília, Brasil, 2009; pp. 175–198. (In Portuguese) [Google Scholar]
- Collatz, G.J.; Berry, J.A.; Clark, S. Effects of climate and atmospheric CO2 partial pressure on the global distribution of C4 grasses: Present, past, and future. Oecologia 1998, 114, 441–454. [Google Scholar] [CrossRef]
- Winslow, J.C.; Hunt Junior, E.R.; Piper, S.C. The influence of seasonal water availability on global C3 versus C4 grassland biomass and its implications for climate change research. Ecol. Model. 2003, 163, 153–173. [Google Scholar] [CrossRef]
- Fernández, R.J.; Sala, O.E.; Golluscio, R.A. Woody and herbaceous aboveground production of a Patagonian steppe. J. Range Manag. 1991, 44, 434–437. [Google Scholar] [CrossRef]
- Defossé, G.E.; Bertiller, M.B.; Ares, J.O. Above-ground phytomass dynamics in a grassland steppe of Patagonia, Argentina. J. Range Manag. 1990, 43, 157–160. [Google Scholar] [CrossRef]
- Gastellu-Etchegorry, J.P.; Guillevic, P.; Zagolski, F.; Demarez, V.; Trichon, V.; Deering, D.; Leroy, M. Modeling BRF and radiation regime of boreal and tropical forests: I. BRF. Remote Sens. Environ. 1999, 68, 281–316. [Google Scholar] [CrossRef]
- Cohen, W.B.; Maiersperger, T.K.; Yang, Z.; Gower, S.T.; Turner, D.P.; Ritts, W.D.; Berterretche, M.; Running, S.W. Comparisons of land cover and LAI estimates derived from ETM+ and MODIS for four sites in North America: A quality assessment of 2000/2001 provisional MODIS products. Remote Sens. Environ. 2003, 88, 233–255. [Google Scholar] [CrossRef]
- Rautiainen, M. Retrieval of leaf area index for a coniferous forest by inverting a forest reflectance model. Remote Sens. Environ. 2005, 99, 295–303. [Google Scholar] [CrossRef]
- Zhao, D.; Reddy, K.R.; Kakani, V.G.; Read, J.J.; Koti, S.S. Canopy reflectance in cotton for growth assessment and lint yield prediction. Eur. J. Agron. 2007, 26, 335–344. [Google Scholar] [CrossRef]
- Darvishzadeh, R.; Skidmore, A.; Atzberger, C.; Wieren, S. Estimation of vegetation LAI from hyperspectral reflectance data: Effects of soil type and plant architecture. Remote Sens. Environ. 2008, 10, 358–373. [Google Scholar] [CrossRef]
- Roesch, L.F.W.; Vieira, F.C.B.; Pereira, V.A.; Schünemann, A.L.; Teixeira, I.F.; Senna, A.J.T.; Stefenon, V.M. The Brazilian Pampa: A fragile biome. Diversity 2009, 1, 182–198. [Google Scholar] [CrossRef]
- Zhu, L.; Chen, Z.; Wang, J.; Ding, J.; Yu, Y.; Li, J.; Xiao, N.; Jiang, L.; Zheng, Y.; Rimmington, G.M. Monitoring plant response to phenanthrene using the red edge of canopy hyperspectral reflectance. Mar. Pollut. Bull. 2014, 86, 332–341. [Google Scholar] [CrossRef] [PubMed]
- Ding, Y.; Zhao, K.; Zhenga, X.; Jiang, T. Temporal dynamics of spatial heterogeneity over cropland quantified by time-series NDVI, near infrared and red reflectance of Landsat 8 OLI imagery. Int. J. Appl. Earth Obs. Geoinf. 2014, 30, 139–145. [Google Scholar] [CrossRef]
- Fensholt, R.; Proud, S.R. Evaluation of earth observation based global long term vegetation trends—Comparing GIMMS and MODIS global NDVI time series. Remote Sens. Environ. 2012, 119, 131–147. [Google Scholar] [CrossRef]
- Zhao, M.; Running, S.T. Drought-induced reduction in global terrestrial net primary production from 2000 through 2009. Science 2010, 329, 940–943. [Google Scholar] [CrossRef] [PubMed]
- Nabinger, C.; Moraes, A.; Maraschin, G.E. Campos in Southern Brazil. In Grassland Ecophysiology and Grazing Ecology; Lemaire, G., Hodson, J., Moraes, A., Carvalho, P.C.F., Nabinger, C., Eds.; CABI Publishing: Cambridge, England, 2000; pp. 255–376. [Google Scholar]
- Fontana, D.C.; Almeida, T.S.; Jacóbsen, L.O. Caracterização da dinâmica temporal dos Campos do Rio Grande do Sul por meio de imagens AVHRR/NOAA. Revista Brasileira de Agrometeorologia 2007, 15, 69–83. (In Portuguese) [Google Scholar]
- Huete, A.R.; Liu, H.Q.; Batchily, K.; Leeuwen, W. A comparison of vegetation indices over a global set of TM images for EOS-MODIS. Remote Sens. Environ. 1997, 59, 440–451. [Google Scholar] [CrossRef]
- Fensholt, R.; Sandholt, I.; Stisen, S.; Tucker, C. Analysing NDVI for the African continent using the geostationary meteosat second generation SEVIRI sensor. Remote Sens. Environ. 2006, 101, 212–229. [Google Scholar] [CrossRef]
- Montandon, L.M.; Smith, E.E. The impact of soil reflectance on the quantification of the green vegetation fraction from NDVI. Remote Sens. Environ. 2008, 112, 1835–1845. [Google Scholar] [CrossRef]
© 2015 by the authors; licensee MDPI, Basel, Switzerland. This article is an open access article distributed under the terms and conditions of the Creative Commons Attribution license (http://creativecommons.org/licenses/by/4.0/).
Share and Cite
Scottá, F.C.; Da Fonseca, E.L. Multiscale Trend Analysis for Pampa Grasslands Using Ground Data and Vegetation Sensor Imagery. Sensors 2015, 15, 17666-17692. https://doi.org/10.3390/s150717666
Scottá FC, Da Fonseca EL. Multiscale Trend Analysis for Pampa Grasslands Using Ground Data and Vegetation Sensor Imagery. Sensors. 2015; 15(7):17666-17692. https://doi.org/10.3390/s150717666
Chicago/Turabian StyleScottá, Fernando C., and Eliana L. Da Fonseca. 2015. "Multiscale Trend Analysis for Pampa Grasslands Using Ground Data and Vegetation Sensor Imagery" Sensors 15, no. 7: 17666-17692. https://doi.org/10.3390/s150717666
APA StyleScottá, F. C., & Da Fonseca, E. L. (2015). Multiscale Trend Analysis for Pampa Grasslands Using Ground Data and Vegetation Sensor Imagery. Sensors, 15(7), 17666-17692. https://doi.org/10.3390/s150717666

