Absorption Measurements of Periodically Poled Potassium Titanyl Phosphate (PPKTP) at 775 nm and 1550 nm
Abstract
:1. Introduction
2. Experimental Setups
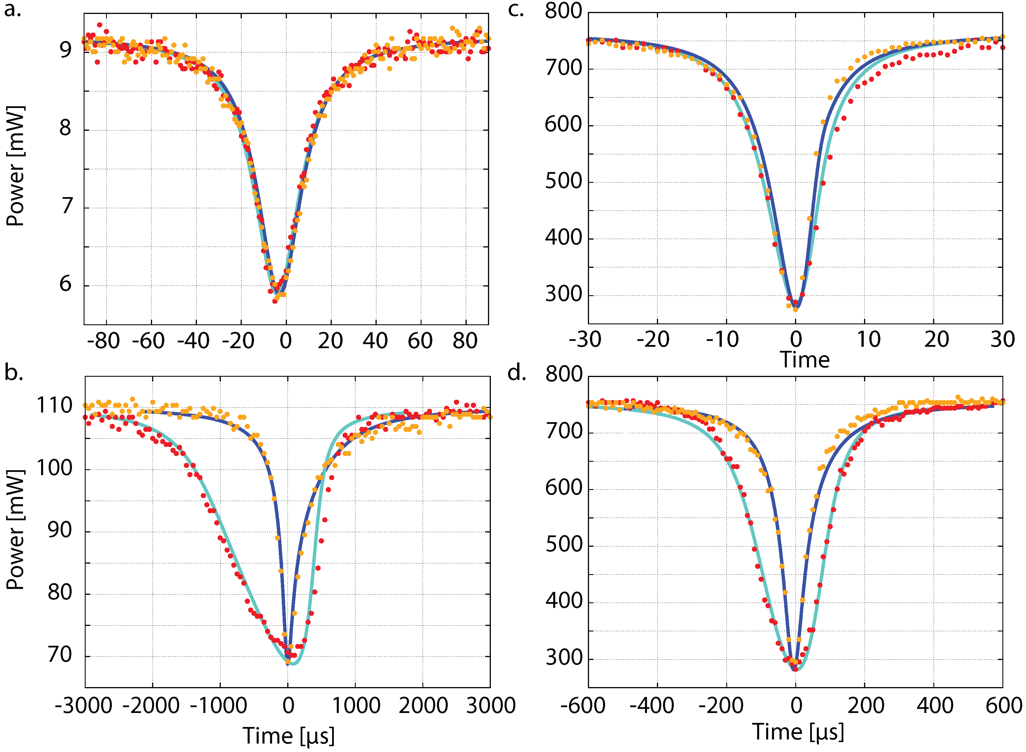
2.1. Experimental Setup and Results at 775 nm
2.2. Experimental Setup and Results at 1,550 nm
3. Conclusions
Acknowledgments
References
- Ou, Z.Y.; Pereira, S.F.; Kimble, H.J.; Peng, K.C. Realization of the einstein-podolsky-rosen paradoxon for continuous variables. Phys. Rev. Lett. 1992, 68, 3663–3666. [Google Scholar]
- Bowen, W.P.; Schnabel, R.; Lam, P.K. Experimental characterization of continuous-variable entanglement. Phys. Rev. A 2004, 69, 012304:1–012304:17. [Google Scholar]
- Händchen, V.; Eberle, T.; Steinlechner, S.; Samblowski, A.; Franz, T.; Werner, R.F.; Schnabel, R. Observation of one–way Einstein–Podolsky–Rosen steering. Nat. Photonics 2012, 6, 596–599. [Google Scholar]
- Furusawa, A.; Sørensen, J.L.; Braunstein, S.L.; Fuchs, C.A.; Kimble, H.J.; Polzik, E.S. Unconditional quantum teleportation. Science 1998, 282, 706–709. [Google Scholar]
- Ralph, T.C. Continuous variable quantum cryptography. Phys. Rev. A 2000, 61, 010303(R). [Google Scholar]
- Schnabel, R.; Mavalvala, N.; McClelland, D.E.; Lam, P.K. Quantum metrology for gravitational wave astronomy. Nat. Commun. 2010, 121, 1–10. [Google Scholar]
- The LIGO Scientific Collaboration. A gravitational wave observatory operating beyond the quantum shot-noise limit. Nat. Phys. 2011, 7, 962–965. [Google Scholar]
- Hild, S.; Chelkowski, S.; Freise, A.; Franc, J.; Morgado, N.; Flamino, R.; DeSalvo, R. A xylophone configuration for a third-generation gravitational wave detector. Class. Quantum Grav. 2010, 27, 015003:1–015003:8. [Google Scholar]
- Boyd, R.W. Nonlinear Optics; Academic Press: Waltham, MA, USA, 2008. [Google Scholar]
- Vahlbruch, H.; Mehmet, M.; Chelkowski, S.; Hage, B.; Franzen, A.; Lastzka, N.; Goβler, S.; Danzmann, K.; Schnabel, R. Observation of squeezed light with 10-dB quantum-noise reduction. Phys. Rev. Lett. 2008, 100, 033602:1–033602:4. [Google Scholar]
- Eberle, T.; Steinlechner, S.; Bauchrowitz, J.; Händchen, V.; Vahlbruch, H.; Mehmet, M.; Müller-Ebhardt, H.; Schnabel, R. Quantum enhancement of the zero-area sagnac interferometer topology for gravitational wave detection. Phys. Rev. Lett. 2010, 104, 251102:1–251102:4. [Google Scholar]
- Takeno, Y.; Yukawa, M.; Yonezawa, H.; Furusawa, A. Observation of -9dB quadrature squeezing with improvement of phase stability in homodyne measurement. Opt. Exp. 2007, 15, 4321–4327. [Google Scholar]
- Ast, S.; Moghadas Nia, R.; Schönbeck, A.; Lastzka, N.; Steinlechner, J.; Eberle, T.; Mehmet, M.; Steinlechner, S.; Schnabel, R. High-efficiency frequency doubling of continuous-wave laser light. Opt. Lett. 2011, 36, 3467–3469. [Google Scholar]
- Lastzka, N.; Steinlechner, J.; Steinlechner, S.; Schnabel, R. Measuring small absorptions by exploiting photothermal self-phase modulation. Appl. Opt. 2010, 49, 5391–5398. [Google Scholar]
- Steinlechner, J.; Jensen, L.; Krüger, C.; Lastzka, N.; Steinlechner, S.; Schnabel, R. Photothermal self-phase modulation technique for absorption measurements on high-reflective coatings. Appl. Opt. 2012, 51, 1156–1161. [Google Scholar]
- Fan, T.Y.; Huang, C.E.; Hu, B.Q.; Eckardt, R.C.; Fan, Y.X.; Byer, R.L.; Feigelson, R.S. Second harmonic generation and accurate index of refraction measurements in flux-grown KTiOP04. Appl. Opt. 1987, 26, 2390–2394. [Google Scholar]
- Wiechmann, W.; Kubota, S. Refractive-index temperature derivatives of potassium titanyl phosphate. Opt. Lett. 1998, 18, 1208–1210. [Google Scholar]
- Bierlein, J.D.; Vanherzeele, H. Pontassium titanyl phosphate: Properties and new applications. J. Opt. Soc. Am. B 1989, 6, 622–633. [Google Scholar]
- KTP Crystals for SHG. Available online: http://www.quantumtech.com/ (accessed on 28 February 2011).
- Friedrich, D.; Kaufer, H.; Westphal, T.; Yamamoto, K.; Sawadsky, A.; Khalili, F.Y.; Danilishin, S.L.; Goβler, S.; Danzmann, K.; Schnabel, R. Laser interferometry with translucent and absorbing mechanical oscillators. New J. Phys. 2011, 13, 093017. [Google Scholar]
- Raicol, Israel. Available online: http://www.raicol.com/ (accessed on 15 October 2012).
- Black, E.D. An introduction to Pound-Drever-Hall laser frequency stabilization. Am. J. Phys. 2001, 69, 79–87. [Google Scholar]
- Mehmet, M.; Ast, S.; Eberle, T.; Steinlechner, S.; Vahlbruch, H.; Schnabel, R. Squeezed light at 1,550 nm with a quantum noise reduction of 12.3 dB. Opt. Exp. 2011, 19, 25763–25772. [Google Scholar]



| Geometric parameters | 775nm | 1,550 nm | References |
|---|---|---|---|
| Beam waist ω0 | 27.6 μm | 30.2 μm | |
| Crystal length L | 9.3mm | 10mm | |
| Crystal radius R | 1.5mm | 1.5mm | |
| Air gap | 24mm | 832mm | |
| Material parameters | |||
| Index of refraction n | 1.85 | 1.82 | [16] |
| Thermal refr. coeff dn/dT | 16.9 × 10−6/K | 10.9 × 10−6/K | [17] |
| Specific heat c | 726 J/(kgK) | [18] | |
| Density ρKTP | 2, 945 kg/m3 | [19] | |
| Thermal expansion ath | 0.6 × 10−6/K | [18] | |
| Thermal conductivity kth | 2.23 W/(mK) | [18] | |
| Material emissivity ϵ | 1.0a | ||
© 2013 by the authors; licensee MDPI, Basel, Switzerland. This article is an open access article distributed under the terms and conditions of the Creative Commons Attribution license (http://creativecommons.org/licenses/by/3.0/).
Share and Cite
Steinlechner, J.; Ast, S.; Krüger, C.; Singh, A.P.; Eberle, T.; Händchen, V.; Schnabel, R. Absorption Measurements of Periodically Poled Potassium Titanyl Phosphate (PPKTP) at 775 nm and 1550 nm. Sensors 2013, 13, 565-573. https://doi.org/10.3390/s130100565
Steinlechner J, Ast S, Krüger C, Singh AP, Eberle T, Händchen V, Schnabel R. Absorption Measurements of Periodically Poled Potassium Titanyl Phosphate (PPKTP) at 775 nm and 1550 nm. Sensors. 2013; 13(1):565-573. https://doi.org/10.3390/s130100565
Chicago/Turabian StyleSteinlechner, Jessica, Stefan Ast, Christoph Krüger, Amrit Pal Singh, Tobias Eberle, Vitus Händchen, and Roman Schnabel. 2013. "Absorption Measurements of Periodically Poled Potassium Titanyl Phosphate (PPKTP) at 775 nm and 1550 nm" Sensors 13, no. 1: 565-573. https://doi.org/10.3390/s130100565
APA StyleSteinlechner, J., Ast, S., Krüger, C., Singh, A. P., Eberle, T., Händchen, V., & Schnabel, R. (2013). Absorption Measurements of Periodically Poled Potassium Titanyl Phosphate (PPKTP) at 775 nm and 1550 nm. Sensors, 13(1), 565-573. https://doi.org/10.3390/s130100565
