Butterfly Diversity Under Three Types of Land Use in the Valley Part of Dulongjiang, Yunnan, China
Abstract
1. Introduction
2. Materials and Methods
2.1. Study Area
2.2. Observatory Site Selection
2.3. Field Observation and Species Identification
2.4. Data Analysis
2.4.1. Sampling Completeness Assessment
2.4.2. Diversity Indices
3. Results
3.1. Sampling Effort
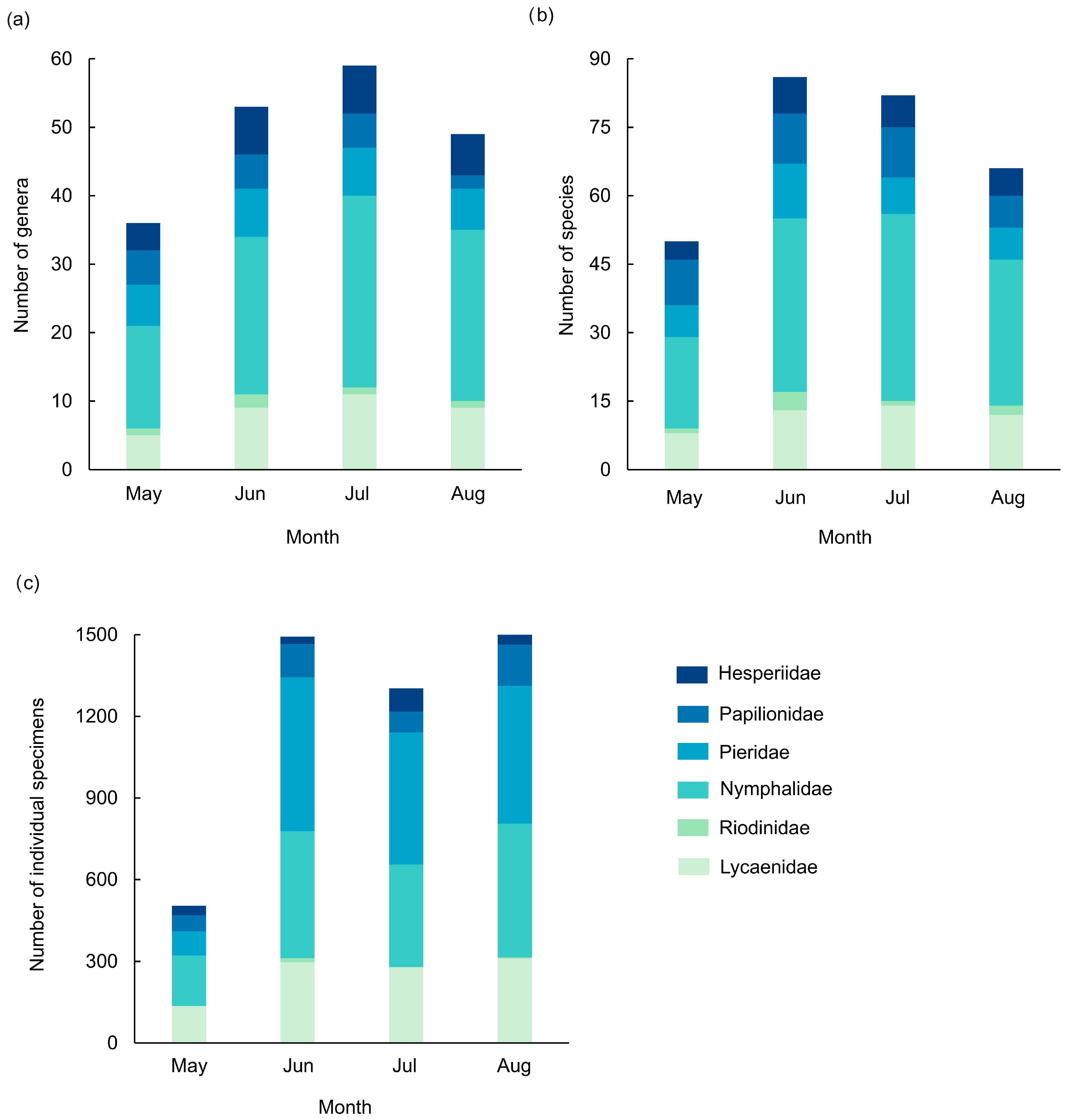
3.2. Species Assemblage and Diversity
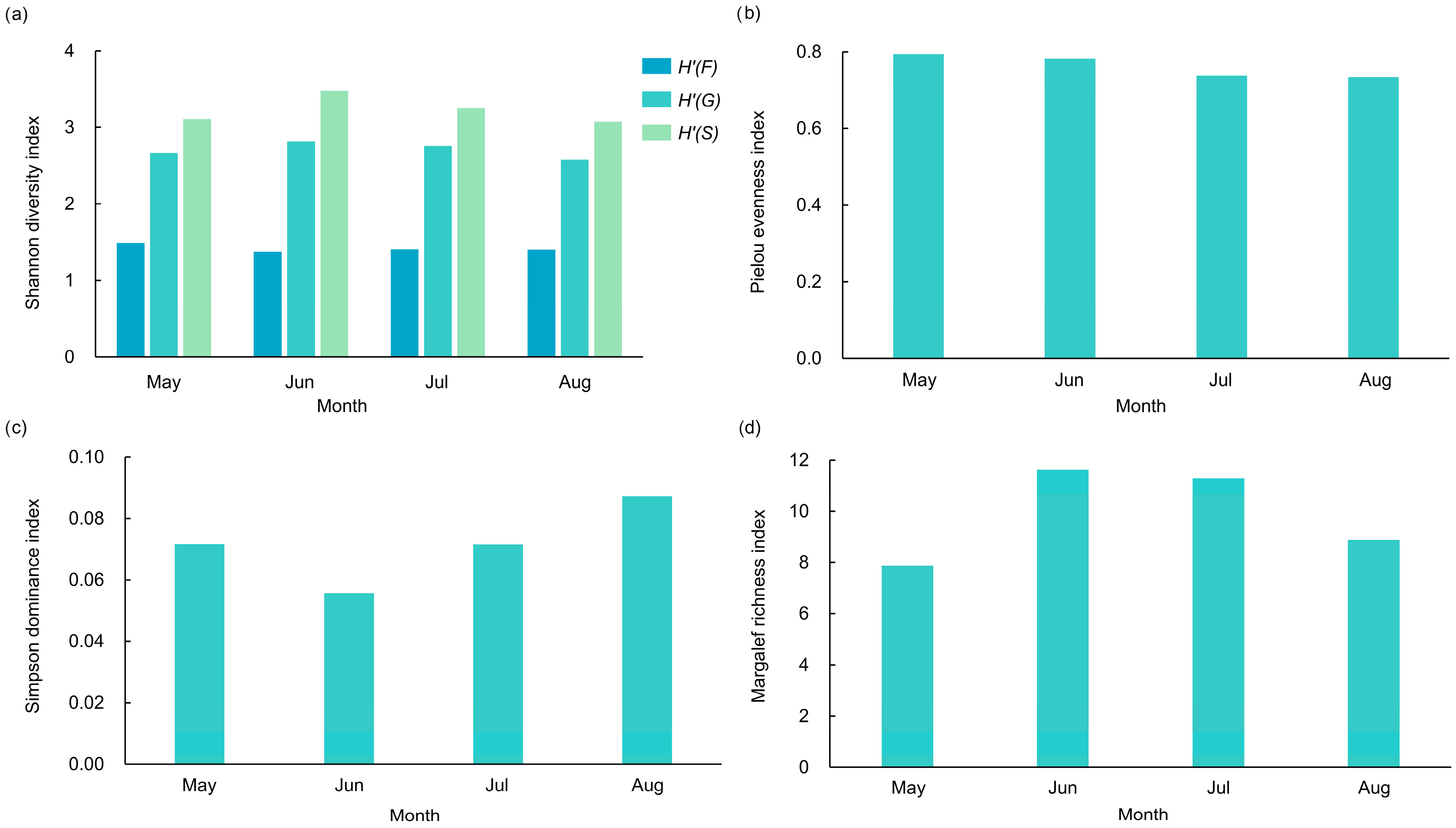
3.3. Variation with Months
3.4. Variation with Land Use
4. Discussion
4.1. Species Assemblage and Diversity
4.2. Diversity Variation with Months and Land Use
5. Conclusions
Supplementary Materials
Author Contributions
Funding
Institutional Review Board Statement
Data Availability Statement
Acknowledgments
Conflicts of Interest
References
- Kremen, C. Assessing the indicator properties of species assemblages for natural areas monitoring. Ecol. Appl. 1992, 2, 203–217. [Google Scholar] [CrossRef]
 - Wang, W.L.; Suman, D.O.; Zhang, H.H.; Xu, Z.B.; Ma, F.Z.; Hu, S.J. Butterfly conservation in China: From science to action. Insects 2020, 11, 661. [Google Scholar] [CrossRef]
 - Fang, L.J.; Guan, J.L. Progress in the studies of butterflies in responding to global climate change. J. Environ. Entomol. 2010, 32, 399–406. [Google Scholar] [CrossRef]
 - Pollard, E.; Yates, T.J. Monitoring Butterflies for Ecology and Conservation: The British Butterfly Monitoring Scheme; Chapman & Hall: London, UK, 1993; p. 248. [Google Scholar]
 - Singer, M.C.; Thomas, C. Evolutionary responses of a butterfly metapopulation to human- and climate-caused environmental variation. Am. Nat. 1996, 148, S9–S39. [Google Scholar] [CrossRef]
 - Parmesan, C.; Ryrholm, N.; Stefanescu, C.; Hill, J.K.; Thomas, C.D.; Descimon, H.; Huntley, B.; Kaila, L.; Jaakko, K.; Tammaru, T.; et al. Poleward shifts in geographical ranges of butterfly species associated with regional warming. Nature 1999, 399, 579–583. [Google Scholar] [CrossRef]
 - Kerr, J.T. Butterfly species richness patterns in Canada: Energy, heterogeneity, and the potential consequences of climate change. Conserv. Ecol. 2001, 5, 131–147. [Google Scholar] [CrossRef]
 - Parmesan, C. Ecological and evolutionary responses to recent climate change. Annu. Rev. Ecol. Evol. Syst. 2006, 37, 637–669. [Google Scholar] [CrossRef]
 - Settele, J.; Kudrna, O.; Harpke, A.; Kühn, I.; van Swaay, C.; Verovnik, R.; Warren, M.; Wiemers, M.; Hanspach, J.; Hickler, T.; et al. Climatic Risk Atlas of European Butterflies; Pensoft Publishers: Sofia, Bulgaria, 2008; p. 710. [Google Scholar]
 - He, C.T. Geographic distribution of the genus Anopheles in Dulongjiang. Chin. J. Zool. 1999, 33, 8–9. [Google Scholar] [CrossRef]
 - Huang, H. A list of butterflies collected from Nujiang (Lou Tse Kiang) and Dulongjiang, China with descriptions of new species, new subspecies and revisional notes (Lepidoptera, Rhopalocera). Neue Entomol. Nachrichten 2003, 55, 3–114. [Google Scholar]
 - Wang, C.Y.; He, Z.R.; Peng, M.C. Vegetation and Plant Research in Dulongjiang River (Upper Irrawaddy River) Watershed and Adjacent Area; Science Press: Beijing, China, 2013; p. 360. [Google Scholar]
 - Myers, N.; Mittermeier, R.A.; Mittermeier, C.G.; da Fonseca, G.B.A.; Kent, J. Biodiversity hotspots for conservation priorities. Nature 2000, 403, 853–858. [Google Scholar] [CrossRef]
 - Mittermeier, R.A.; Turner, W.R.; Larsen, F.W.; Brooks, T.M.; Gascon, C. Global biodiversity conservation: The critical role of hotspots. In Biodiversity Hotspots; Zachos, F., Habel, J., Eds.; Springer: Berlin, Germany, 2011; pp. 3–22. [Google Scholar]
 - Chen, W.X. Impacts on Farmers’ Livelihoods by the Changes of Energy Consumption Structure in the Dulong Watershed; Yunnan University: Kunming, China, 2022. [Google Scholar]
 - Ding, N. Research on the Intergenerational Difference of Dulong’s Local Ecological Knowledge. Yunnan University: Kunming, China, 2024. [Google Scholar]
 - Dong, D.Z.; Kavanauph, D.; Li, H. Butterfly resource of Nujiang Canyon in Yunnan. J. Southwest Agric. Univ. 2002, 24, 289–292. [Google Scholar] [CrossRef]
 - Ou, X.H.; Yang, C.Q.; Song, J.X.; Xiong, J. Survey and analysis of butterfly diversity in Gaoligongshan National Nature Reserve. In Proceedings of the 6th National Symposium on Biodiversity Conservation and Sustainable Utilisation, Lijiang, China, 11–18 May 2004; pp. 178–187. [Google Scholar]
 - Liu, L.; Gao, H.P. Preliminary investigation of butterfly species in Gaoligong Shan Nature Reserve. J. Baoshan Coll. 2014, 33, 10–13+17. [Google Scholar]
 - Liu, L. Investigation of species of Pieridae insects and population dynamics of dominant species in Baihualing area of Gaoligong mountain. J. Baoshan Coll. 2016, 35, 11–13. [Google Scholar]
 - Yi, L.; Dong, Y.K.; Miao, B.G.; Peng, Y.Q. Diversity of butterfly communities in Gaoligong region of Yunnan. Biodivers. Sci. 2021, 29, 950–959. [Google Scholar] [CrossRef]
 - Ma, F.Z.; Xu, H.G.; Chen, M.M.; Tong, W.J.; Wang, C.B.; Cai, L. Progress in construction of China Butterfly Diversity Observation Network (China BON-Butterflies). J. Ecol. Rural Environ. 2018, 34, 27–36. [Google Scholar] [CrossRef]
 - Li, X.Z. Landforms in Drung River basin. Yunnan Geogr. Environ. Res. 1996, 59–72. [Google Scholar]
 - Tian, H. The soil type and distribution regular of Drung River basin. Yunnan Geogr. Environ. Res. 1994, 17–26. [Google Scholar]
 - He, J.H. Study on current situation of water environmental protection countermeasures of the Dulong River basin in Yunnan. Environ. Sci. Surv. 2019, 38, 14–18. [Google Scholar] [CrossRef]
 - Ao, S.C.; Hu, J.C.; Li, X.F.; Tan, L.; Ye, L.; Cai, Q.H. River ecosystem health assessment of the Dulong River. Chin. J. Ecol. 2020, 39, 1281–1287. [Google Scholar] [CrossRef]
 - Cun, J.P. The Countermeasures of Dulong River Gorge Eco-Tourism Development. Hebei Normal University: Shijiazhuang, China, 2009. [Google Scholar]
 - Sun, J.; Dai, L.J.; Wang, H.H.; Xiong, Y.; Huang, Z.P.; Xiao, W.; Li, Y.P. Evaluation of planting under forest via sustainable development: A case study on Amomum tsao-ko planting along Dulong River. J. Dali Univ. 2021, 6, 55–59. [Google Scholar] [CrossRef]
 - GB/T 21010—2017; Ministry of Natural Resources of the PRC. Current Land Use Classification (GB/T 21010—2017). General Administration of Quality Supervision, Inspection and Quarantine of the PRC, Standardization Administration of the PRC: Beijing, China, 2017. [Google Scholar]
 - Lu, Q.B.; You, W.Y.; Zhao, C.J.; Wang, X.W.; Meng, X.X. Effects of tourism disturbance on plant diversity in Qingshan Lake scenic area of Zhejiang Province. Chin. J. Appl. Ecol. 2011, 22, 295–302. [Google Scholar] [CrossRef]
 - Kadlec, T.; Tropek, R.; Konvicka, M. Timed surveys and transect walks as comparable methods for monitoring butterflies in small plots. J. Insect Conserv. 2012, 16, 275–280. [Google Scholar] [CrossRef]
 - Barkmann, F.; Huemer, P.; Tappeiner, U.; Tasser, E.; Rüdisser, J. Standardized butterfly surveys: Comparing transect counts and area-time counts in insect monitoring. Biodivers. Conserv. 2023, 32, 987–1004. [Google Scholar] [CrossRef]
 - HJ 710.9—2014; Ministry of Environment Protection of the PRC. Technical Guidelines for Biodiversity Monitoring—Butterflies (HJ 710.9—2014). Ministry of Environment Protection of the PRC: Beijing, China, 2014. [Google Scholar]
 - Kawahara, A.Y.; Plotkin, D.; Espeland, E.; Meusemann, K.; Toussaint, E.F.A.; Donath, A.; Gimnich, F.; Frandsen, P.B.; Zwick, A.; dos Reis, M.; et al. Phylogenomics reveals the evolutionary timing and pattern of butterflies and moths. Proc. Natl. Acad. Sci. USA 2019, 116, 22657–22663. [Google Scholar] [CrossRef]
 - Hu, S.J.; Cotton, A.M.; Duan, K.; Zhang, X. An Illustrated Checklist of Butterflies of Yunnan. Vol. 1. Papilionidae; Science Press: Beijing, China, 2024; p. 429. [Google Scholar]
 - Zhu, J.Q.; Gu, Y.; Chen, Z.B.; Chen, J.L. Life History of Chinese Butterflies; Chongqing University Press: Chongqing, China, 2018; p. 598. [Google Scholar]
 - Wu, C.S.; Hsu, Y.F. Butterflies of China; The Strait Publishing House: Fuzhou, China, 2017; p. 2036. [Google Scholar]
 - Moreno, C.; Halffter, G. On the measure of sampling effort used in species accumulation curves. J. Appl. Ecol. 2001, 38, 487–490. [Google Scholar] [CrossRef]
 - Ugland, K.I.; Gray, J.S.; Ellingsen, K.E. The species-accumulation curve and estimation of species richness. J. Anim. Ecol. 2003, 72, 888–897. [Google Scholar] [CrossRef]
 - Zeng, H.C. Astudy on the Differences and Influencing Factors of Butterfly Species and Functional Diversity in Urban Green Spaces. Anhui Agricultural University: Hefei, China, 2023. [Google Scholar]
 - Fang, S.Q.; Li, Y.P.; Pan, Y.; Wang, C.Y.; Peng, M.C.; Hu, S.J. Butterfly diversity in a rapidly developing urban area: A case study on a university campus. Diversity 2024, 16, 4. [Google Scholar] [CrossRef]
 - Christianus, I.; Ismail, M.N.; Amir, A.; Kedri, F.K.; Sukri, N.S. Species diversity and abundance of butterflies (Lepidoptera: Rhopalocera) in Lata Hokkaido, Jeli, Kelantan. BIO Web Conf. 2024, 131, 01011. [Google Scholar] [CrossRef]
 - Carreira, J.Y.O.; Brown, K.S., Jr.; Freitas, A.V.L. Species list and temporal trends of a butterfly community in an urban remnant in the Atlantic forest. Diversity 2025, 17, 604. [Google Scholar] [CrossRef]
 - Chao, A.; Kubota, Y.; Zelený, D.; Chiu, C.H.; Li, C.F.; Kusumoto, B.; Yasuhara, M.; Thorn, S.; Wei, C.L.; Costello, M.J.; et al. Quantifying sample completeness and comparing diversities among assemblages. Ecol. Res. 2020, 35, 292–314. [Google Scholar] [CrossRef]
 - Hsieh, T.C.; Ma, K.H.; Chao, A. iNEXT: An R package for rarefaction and extrapolation of species diversity (Hill numbers). Methods Ecol. Evol. 2016, 7, 1451–1456. [Google Scholar] [CrossRef]
 - Jin, C.X.; Wu, Y. A study on the measurement of community diversity and their application. Acta Entomol. Sin. 1981, 24, 28–33. [Google Scholar] [CrossRef]
 - Ma, K.P. On the measurement of community diversity (I): The α diversity (Part 1). Chin. Biodivers. 1994, 2, 162–168. [Google Scholar]
 - Ma, K.P.; Liu, Y.M. On the measurement of community diversity (I): The α diversity (Part 2). Chin. Biodivers. 1994, 2, 231–239. [Google Scholar]
 - Shannon, C.E. A mathematical theory of communication. Bell Syst. Tech. J. 1948, 27, 379–423. [Google Scholar] [CrossRef]
 - Pielou, E.C. The measurement of diversity in different types of biological collection. J. Theor. Biol. 1966, 13, 131–144. [Google Scholar] [CrossRef]
 - Simpson, E.H. Measurement of diversity. Nature 1949, 163, 688. [Google Scholar] [CrossRef]
 - Margalef, R. Information theory in ecology. Gen. Syst. 1958, 3, 36–71. [Google Scholar]
 - Hammer, Ø.; Harper, D.A.T.; Ryan, P.D. Past: Paleontological statistics software package for education and data analysis. Palaeontol. Electron. 2001, 4, art4. [Google Scholar]
 - Chen, S.L.; Jia, M.R.; Wang, Y.; Xue, G.; Dai, Y. Study on the community of Fritillaria cirrhosa by the percentage of similarity. Res. Pract. Chin. Med. 2003, 17, 9–12. [Google Scholar] [CrossRef]
 - Jaccard, P. Étude comparative de la distribution florale dans une portion des Alpes et des Jura. Bull. Société Vaudoise Des. Sci. Nat. 1901, 37, 547–579. [Google Scholar]
 - Jaccard, P. The distribution of the flora in the Alpine zone. New Phytol. 1912, 11, 37–50. [Google Scholar] [CrossRef]
 - Tanimoto, T.T. An Elementary Mathematical theory of Classification and Prediction; International Business Machines Corporation: New York, NY, USA, 1958; pp. 1–10. [Google Scholar]
 - Chen, Z.N.; Zeng, Y. The butterfly diversity of different habitat types in Qilian, Qinghai Province. Biodivers. Sci. 2001, 9, 109–114. [Google Scholar] [CrossRef]
 - Zuo, Z.T.; Yuan, X.Z.; Liu, H.; Li, X. Butterfly diversity in different types of habitat in Chongqing urban area. Chin. J. Ecol. 2008, 27, 946–950. [Google Scholar] [CrossRef]
 - Kolde, R. Package Pheatmap, 1.0.12. Available online: https://cran.r-project.org/web/packages/pheatmap/index.html (accessed on 1 May 2025).
 - Zhang, P.Y. Ecological Atlas of Insects in the Gaoligong Mountains; Northeast Forestry University Press: Harbin, China, 2011; p. 530. [Google Scholar]
 - Zhang, H.H.; Wang, W.L.; Yu, Q.; Xing, D.H.; Xu, Z.B.; Duan, K.; Zhu, J.Q.; Zhang, X.; Li, Y.P.; Hu, S.J. Spatial distribution of pollinating butterflies in Yunnan Province, Southwest China with resource conservation implications. Insects 2020, 11, 525. [Google Scholar] [CrossRef]
 - Nylin, S.; Slove, J.; Janz, N. Hostplant utilization, host range oscillations and diversification in Nymphalid butterflies: A phylogenetic investigation. Evolution 2014, 68, 105–124. [Google Scholar] [CrossRef]
 - Peña, C.; Espeland, M. Diversity dynamics in Nymphalidae butterflies: Effect of phylogenetic uncertainty on diversification rate shift estimates. PLoS ONE 2015, 10, e0120928. [Google Scholar] [CrossRef] [PubMed]
 - Chazot, N.; Condamine, F.L.; Dudas, G.; Peña, C.; Kodandaramaiah, U.; Matos-Maraví, P.; Aduse-Poku, K.; Elias, M.; Warren, A.D.; Lohman, D.J.; et al. Conserved ancestral tropical niche but different continental histories explain the latitudinal diversity gradient in brush-footed butterflies. Nat. Commun. 2021, 12, 5717. [Google Scholar] [CrossRef] [PubMed]
 - Espeland, M.; Hall, J.P.W.; DeVries, P.J.; Lees, D.C.; Cornwall, M.; Hsu, Y.F.; Wu, L.W.; Campbell, D.L.; Talavera, G.; Vila, R.; et al. Ancient Neotropical origin and recent recolonisation: Phylogeny, biogeography and diversification of the Riodinidae (Lepidoptera: Papilionoidea). Mol. Phylogenetics Evol. 2015, 93, 296–306. [Google Scholar] [CrossRef] [PubMed]
 - Seraphim, N.; Kaminski, L.A.; Devries, P.J.; Penz, C.; Callaghan, C.; Wahlberg, N.; Silva-Brandão, K.L.; Freitas, A.V.L. Molecular phylogeny and higher systematics of the metalmark butterflies (Lepidoptera: Riodinidae). Syst. Entomol. 2018, 43, 407–425. [Google Scholar] [CrossRef]
 - Onyenweaku, L.N.; Nwankwo, E.C.; Ezealor, A.U. Inter-habitat community variation of butterflies in an Afrotropical region. Afr. J. Ecol. 2024, 62, e13193. [Google Scholar] [CrossRef]
 - Alvarez, Y.; Corso, A.J. Diversity of Butterfly Assemblages Within Disturbed Habitats of Jardines de Hershey, Mayabeque, Cuba. Caribb. J. Sci. 2020, 50, 139–158. [Google Scholar] [CrossRef]
 - Dickens, J.K.; McMahon, L.; Binnie, S.E. The butterflies of a Cerrado-Atlantic Forest ecotone at Laguna Blanca reveal underestimation of Paraguayan butterfly diversity and need for conservation. J. Insect Conserv. 2019, 23, 707–728. [Google Scholar] [CrossRef]
 - Graça, M.B.; Pequeno, P.A.C.L.; Franklin, E.; Souza, J.L.P.; Morais, J.W. Taxonomic, functional, and phylogenetic perspectives on butterfly spatial assembly in northern Amazonia. Ecol. Entomol. 2017, 42, 816–826. [Google Scholar] [CrossRef]
 - Vu, L.V. Diversity and similarity of butterfly communities in five different habitat types at Tam Dao National Park, Vietnam. J. Zool. 2008, 277, 15–22. [Google Scholar] [CrossRef]
 - Ruchin, A.B. Seasonal dynamics and spatial distribution of lepidopterans in selected locations in Mordovia, Russia. Biodiversitas 2021, 22, 2569–2575. [Google Scholar] [CrossRef]
 - Ruchin, A.B. Spatial distribution of Lepidoptera in forest ecosystems of Central European Russia: Studies using beer traps. Forests 2023, 14, 680. [Google Scholar] [CrossRef]
 - Walla, T.R.; Engen, S.; DeVries, P.J.; Lande, R. Modeling vertical beta-diversity in tropical butterfly communities. Oikos 2004, 107, 610–618. [Google Scholar] [CrossRef]
 - Peng, Z.Q.; Yin, M.M.; Shen, M.M.; Sun, C.H.; Wang, B.X. A Comparison of butterfly species and functional diversity among three land use types of forest, tea garden and vegetable garden. Environ. Monit. Forewarning 2022, 14, 11–18+30. [Google Scholar] [CrossRef]
 - Iserhard, C.A.; Duarte, L.; Seraphim, N.; Freitas, A.V.L. How urbanization affects multiple dimensions of biodiversity in tropical butterfly assemblages. Biodivers. Conserv. 2019, 28, 621–638. [Google Scholar] [CrossRef]
 - Yang, H.Y.; Liu, Y.M.; Sang, J.P. The impact of habitat fragmentation on butterfly species diversity in the Gansu Xiaolongshan Forest Area. For. Sci. Technol. 2016, 5, 3–7. [Google Scholar] [CrossRef]
 - Cai, Y.H.; Long, Z.B.; Lin, D.; Chen, J.X.; Chen, M.H.; Bi, Q.Q.; Li, X.K.; Qing, N. Influence of habitat fragmentation on butterfly diversity in Dinghu Mountain Nature Reserve. J. South China Norm. Univ. (Nat. Sci.) 2015, 47, 88–93. [Google Scholar] [CrossRef]
 - Cheng, W.D.; Luk, C.-L.; Benedick, Z.; Nakamura, A.; Basset, Y.; Bonebrake, T.C.; Scheffers, B.R.; Ashton, L.A.; Xing, S. Butterflies respond to habitat disturbance in tropical forests through activity shifts. J. Anim. Ecol. 2025, 94, 1361–1371. [Google Scholar] [CrossRef] [PubMed]
 













| Site | Locality | Coordination | Elev./m | Land Use | Habitat Feature | 
|---|---|---|---|---|---|
| F1 | Hapang Waterfall  | 27.67° N, 98.27° E | 1141 | forest | Open terrain, with mid-elevation, moist, evergreen, broad-leaved forest. Roadside covered with trees, shrubs, and epiphytic vegetation. Average canopy closure of 0.3. | 
| F2 | Longyuan | 28.04° N, 98.32° E | 1700 | forest | Evergreen, broad-leaved forest, with dense understory of shrubs. Average canopy closure of 0.7. | 
| F3 | Xiongdang | 28.12° N, 98.32° E | 1924 | forest | Evergreen, broad-leaved forest, with understory rich in ferns and bryophytes. Average canopy closure of 0.9. | 
| C1 | Bapo | 27.74° N, 98.35° E | 1323 | cropland | Terraced cropland, mainly with maize, potato, and Paris sp. Average canopy closure of 0.1. | 
| C2 | Longyuan | 28.03° N, 98.31° E | 1680 | cropland | Small roadside cropland, mainly with maize. Average canopy closure of 0.1. | 
| C3 | Xiongdang | 28.11° N, 98.32° E | 1890 | cropland | Flat cropland cut by artificial cannel, with maize and potato. Average canopy closure of 0.1. | 
| C4 | Kelaoluo | 28.14° N, 98.30° E | 2015 | cropland | Terraced cropland, mainly with maize and potato, rich in Fabaceae and Asteraceae weeds. Average canopy closure of 0.1. | 
| B1 | Maku | 27.69° N, 98.28° E | 1248 | construction land | Residential settlement near natural forest. Average canopy closure of 0.3. | 
| B2 | Bapo | 27.75° N, 98.35° E | 1320 | construction land | Residential settlement near natural forest. Average canopy closure of 0.5. | 
| B3 | Dizhengdang | 28.08° N, 98.33° E | 1837 | construction land | Residential settlement with artificial cannel and ornamental Asteraceae plants, trees, and shrubs along cliff-facing side. Average canopy closure of 0.5. | 
| B4 | Xiongdang | 28.10° N, 98.32° E | 1900 | construction land | Residential settlement with Berberidaceae shrubs. Ornamental bushes around buildings. Average canopy closure of 0.3. | 
| B5 | Kelaoluo | 28.13° N, 98.30° E | 2010 | construction land | Residential settlement with significant topographic shifts. Ornamental bushes around buildings. Average canopy closure of 0.1. | 
| Source | d.f. | Mean Square | F | P | 
|---|---|---|---|---|
| Between four months | 3 | 1575.727 | 1.161 | 0.325 | 
| Within one month | 280 | 1357.364 | — | — | 
| Total | 283 | — | — | — | 
| ANOSIM | PERMANOVA | ||
|---|---|---|---|
| Permutation N | 9999 | Permutation N | 9999 | 
| Mean rank between land-use types | 612.0 | Total sum of squares | 14.13 | 
| Mean rank within a land-use type | 409.1 | Within-group sum of squares | 10.90 | 
| R | 0.360 | F | 4.342 | 
| P | <0.001 | P | <0.001 | 
| Source | d.f. | Mean Square | F | P | 
|---|---|---|---|---|
| Between land-use types | 2 | 152.887 | 0.109 | 0.897 | 
| Within a land-use type | 298 | 1401.499 | — | — | 
| Total | 300 | — | — | — | 
| ANOSIM | PERMANOVA | ||
|---|---|---|---|
| Permutation N | 9999 | Permutation N | 9999 | 
| Mean rank between land-use types | 32.4 | Total sum of squares | 1.98 | 
| Mean rank within a land-use type | 36.3 | Within-group sum of squares | 1.71 | 
| R | −0.119 | F | 0.699 | 
| P | 0.818 | P | 0.715 | 
Disclaimer/Publisher’s Note: The statements, opinions and data contained in all publications are solely those of the individual author(s) and contributor(s) and not of MDPI and/or the editor(s). MDPI and/or the editor(s) disclaim responsibility for any injury to people or property resulting from any ideas, methods, instructions or products referred to in the content.  | 
© 2025 by the authors. Licensee MDPI, Basel, Switzerland. This article is an open access article distributed under the terms and conditions of the Creative Commons Attribution (CC BY) license (https://creativecommons.org/licenses/by/4.0/).
Share and Cite
Lin, Y.-T.; Pan, Y.; Wang, Y.-F.; Song, Y.-W.; Xie, B.-B.; Tang, H.-L.; Wang, W.-L.; Hu, S.-J. Butterfly Diversity Under Three Types of Land Use in the Valley Part of Dulongjiang, Yunnan, China. Diversity 2025, 17, 771. https://doi.org/10.3390/d17110771
Lin Y-T, Pan Y, Wang Y-F, Song Y-W, Xie B-B, Tang H-L, Wang W-L, Hu S-J. Butterfly Diversity Under Three Types of Land Use in the Valley Part of Dulongjiang, Yunnan, China. Diversity. 2025; 17(11):771. https://doi.org/10.3390/d17110771
Chicago/Turabian StyleLin, Yi-Ting, Yue Pan, Ya-Fei Wang, Yun-Wu Song, Bing-Bing Xie, Hui-Ling Tang, Wen-Ling Wang, and Shao-Ji Hu. 2025. "Butterfly Diversity Under Three Types of Land Use in the Valley Part of Dulongjiang, Yunnan, China" Diversity 17, no. 11: 771. https://doi.org/10.3390/d17110771
APA StyleLin, Y.-T., Pan, Y., Wang, Y.-F., Song, Y.-W., Xie, B.-B., Tang, H.-L., Wang, W.-L., & Hu, S.-J. (2025). Butterfly Diversity Under Three Types of Land Use in the Valley Part of Dulongjiang, Yunnan, China. Diversity, 17(11), 771. https://doi.org/10.3390/d17110771
        
